7月21日,广东公布了普通本科批次历史类和物理类的投档情况,新高考的第一年,投档线呈现两极分化,录取更向专业靠近,学校名气让位于专业和就业方向。
普通类(历史)投出77307人,过448分录取线人数95585人,占比80.8%,有18278人未投档;普通类(物理)投出189102人,过432分录取线人数222304人,占比85.1%,有33202人未投档。
由于扩招和院校专业组录取,各大高校最低录取分均有所上升,但是最低排位均有所下降,而且因为院校专业组录取,同一个学校的不同专业组最低排位呈两极分化,新高考的第一年投档结果有人欢喜有人愁。
985的四所高校最低排位均低于去年,这对于报考这些高校的考生来说是皆大欢喜,211的暨南大学最低分592分,排位4555名,211的华南师范大学最低分547分,排位20290名,双非的深圳大学最低分553分,排位17089位,但是深圳大学最高的专业组最低分605分,排位2534名,仅次于985华南理工大学。
录取排位明显上升的是深圳技术大学,2021年是深技大历史类招生第二年,投档线548分,最低排位19820位,较去年22385位上升2562位。
第一次招生的广东工业大学(揭阳校区)受到热捧,最低分531分,分数甚至高于本部的专业组,而双一流学科高校广州中医药大学也受到追捧,最高专业组最低分597分。其他广外,华农,广大,广工,广财等公办本科院校录取排名位次和往年差别不大。
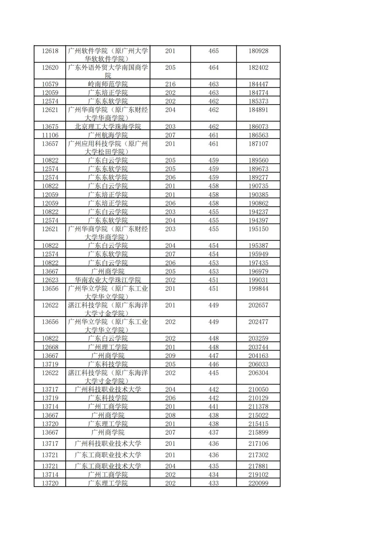
公办本科最低分数是岭南师范学院207组,最低480分,排位66245名,远低于去年文科45628名的最后公办本科排名,这意味着如果志愿填报合理,可以成功上岸公办本科。
广州南方学院,北京理工大学珠海学院、珠海科技学院、广州新华学院等民办本科超过公办本科分数线,说明经过多年办学积累,民办院校和独立学院的办学水平和教学质量不断提升,毕业生就业率高,社会认可度持续提高,吸引了越来越多的考生填报。
而很多压线生关注的本科院校,广州商学院,广州工商学院,广州科技职业技术大学,广东理工学院,广东工商职业技术大学,五所民办本科压线招生,而且还有缺额,征集志愿也会出现这些学校,关注后续报考,同时恭喜填报的压线生成功上岸本科院校。
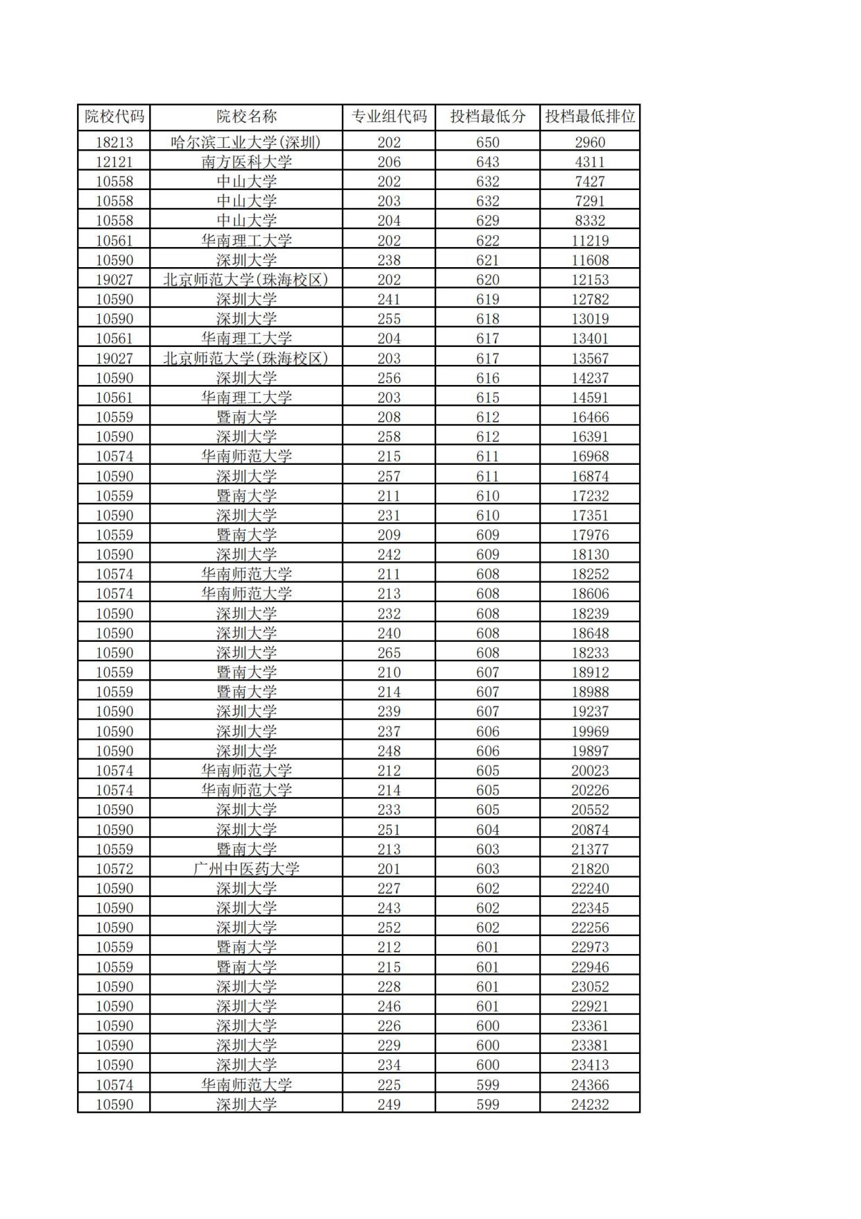
哈尔滨工业大学(深圳)拔得头筹,最低分650分,这个分数简直是一骑绝尘,碾压省内各大高校。中山大学最低分629分,北京师范大学(珠海校区)最低分617分,华南理工大学最低分615分。和历史类不一样的是,哈工深超过中大,华工依然排最后,新晋的两所985校区超过了老牌985,是不是代表着新势力突破传统重围,还是考生喜新厌旧?
南方医科大学最低643分是8年本硕博连读的临床医学,而年轻的深圳大学有4个专业组可以和985院校专业组PK,它们分别是计算机,金融科技,数学和物理的理工创新实验班,四个专业组,这些就业具备优势的专业组受到追捧,而不在乎学校的名气和层次了。
211高校的暨南大学最低分573分,排位44951名,华南师范大学最低分571分,排位47107名,首次招生的华南师范大学(汕尾校区)受到追捧,最低分586分,排位33593名,这令很多准备捡漏的考生十分失望,这个分数和排位并不比本部低。
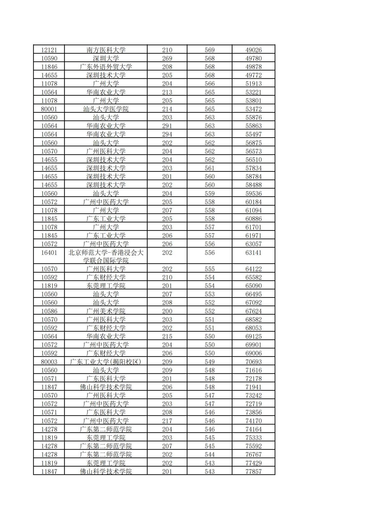
双一流的广州中医药大学,南方医科大学,广州医科大学,汕头医学院四所医学类院校排名靠前,广东工业大学(揭阳校区)首次招生并没有出现低分,甚至高于本部一些专业组。广外,华农,广大,广工,广财等院校座次变化不大。
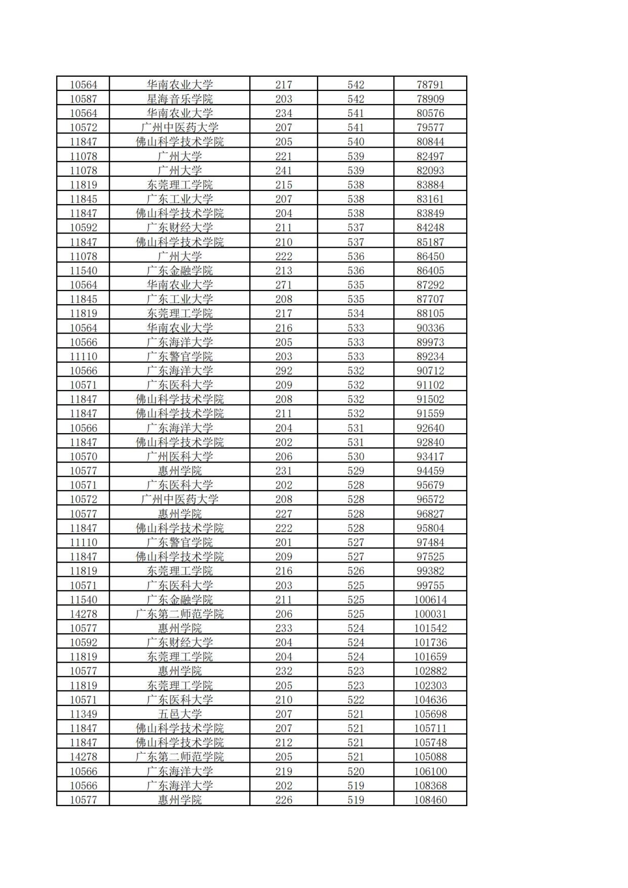
公办本科最低分数和排位出现在韶关学院,广州航海学院(要求地理选科),仲恺农业工程学院(与其他学校合办),五邑大学(江门市内),佛山科学技术学院(中外合作)最低分475分,排位168368名,比本科线432分高出43分,但是排位比去年150000名才能上公办本科要低很多,而这都是扩招的功劳,恭喜那些公办本科压线的考生成功上岸。
北京理工大学珠海学院、珠海科技学院、广州城市理工学院,广州新华学院等民办本科高校佼佼者,它们的投档线已经超过公办本科,说明有考生选择民办本科的优势专业,放弃公办本科的冷门专业,受到考生青睐。
出现本科压线招生的是广东东软学院和广州商学院,最低按照本科线432分投档,意味着报考这些高校的压线生成功上岸本科院校,十分幸运,需要说明的是,广州工商学院,广州科技职业技术大学,广东理工学院,广东工商职业技术大学等压线招生的学校,今年都高于压线招生,意味着压线报考这几所学校的考生痛失机会,只能参与征集志愿。
有一个需要吐槽的是广东以色列理工学院,这所中外合作办学的高校以往在提前批次招生,今年换到普通批次招生,居然以433分,高出本科线1分的最低投档线投档,考生是不熟悉这所学校,还是不待见这所学校。同样换到本科批次招生的北京师范大学-香港浸会大学联合国际学院,最低分556分,相当于一本院校录取分数。
1、新高考遇到扩招,通过投档人数,公办本科最低排位,民办本科最低排位,压线生最低排位,今年录取整体排位都低于去年,所以录取率和录取难度都低于去年,恭喜今年新高考的考生。
2、院校专业组的录取方式,录取呈现两极分化,高分很高,低分很低,比如物理类深圳大学,最高分621分,最低分568分,排位从11608名到49780名,差距很大,这都是45个平行志愿冲一冲,稳一稳,保一保填报,冲可以尽量填高,保可以为好专业牺牲学校。
3、未来更看重专业和就业,院校专业组的录取,各个学校专业的录取最低分也出现分化,考生更看重专业,而将学校名气放在第二位,而一些就业严峻的专业会更加被抛弃,除非像中山大学大类招生冷热搭售。
4、高校新势力改变省内高校排位格局,哈尔滨工业大学深圳校区,北京师范大学珠海校区,香港中文大学(深圳)出道就是巅峰,年轻的深圳大学,深圳技术大学追赶的步伐加快,就连最新招生的华南师范大学汕尾校区,广东工业大学揭阳校区都呈现出新气象,让一些准备捡漏的考生大跌眼镜。老牌的985中大华工,211暨大华师还是百尺竿头更进一步。
5、最后恭喜成功上岸的考生,还有一些可能退档和未投档的考生,关注24号的征集志愿,抓住本科最后上岸的机会。
版权声明:我们致力于保护作者版权,注重分享,被刊用文章【韶关大学2017录取分数线(广东普通本科投档信息新鲜出炉)】因无法核实真实出处,未能及时与作者取得联系,或有版权异议的,请联系管理员,我们会立即处理! 部分文章是来自自研大数据AI进行生成,内容摘自(百度百科,百度知道,头条百科,中国民法典,刑法,牛津词典,新华词典,汉语词典,国家院校,科普平台)等数据,内容仅供学习参考,不准确地方联系删除处理!;
工作时间:8:00-18:00
客服电话
电子邮件
beimuxi@protonmail.com
扫码二维码
获取最新动态
