考研各院校的报录比一直都是同学和家长们非常关心的一项数据,一直被大家看做是择校和选专业的风向标。
从报录比中,能看出你想考的院校整体录取情况,包括:
报考的人数;
推免的人数;
录取的人数等重要信息。
如果学校的报录比过高,就代表录取几率小。
下面我就把20考研已经公布的热门院校的报录比整理给大家,免得大家再到处找了。(点击图片可以查看清晰大图)
1、 同济大学20考研报录比
2、 东南大学20考研报录比
3、华东师范大学20考研报录比
4、东华大学20考研报录比
5、上海财经大学20考研报录比
6、西南大学20考研报录比
7、西北师范大学20考研报录比
8、华南师范大学20考研报录比
1、 浙江师范大学20考研报录比
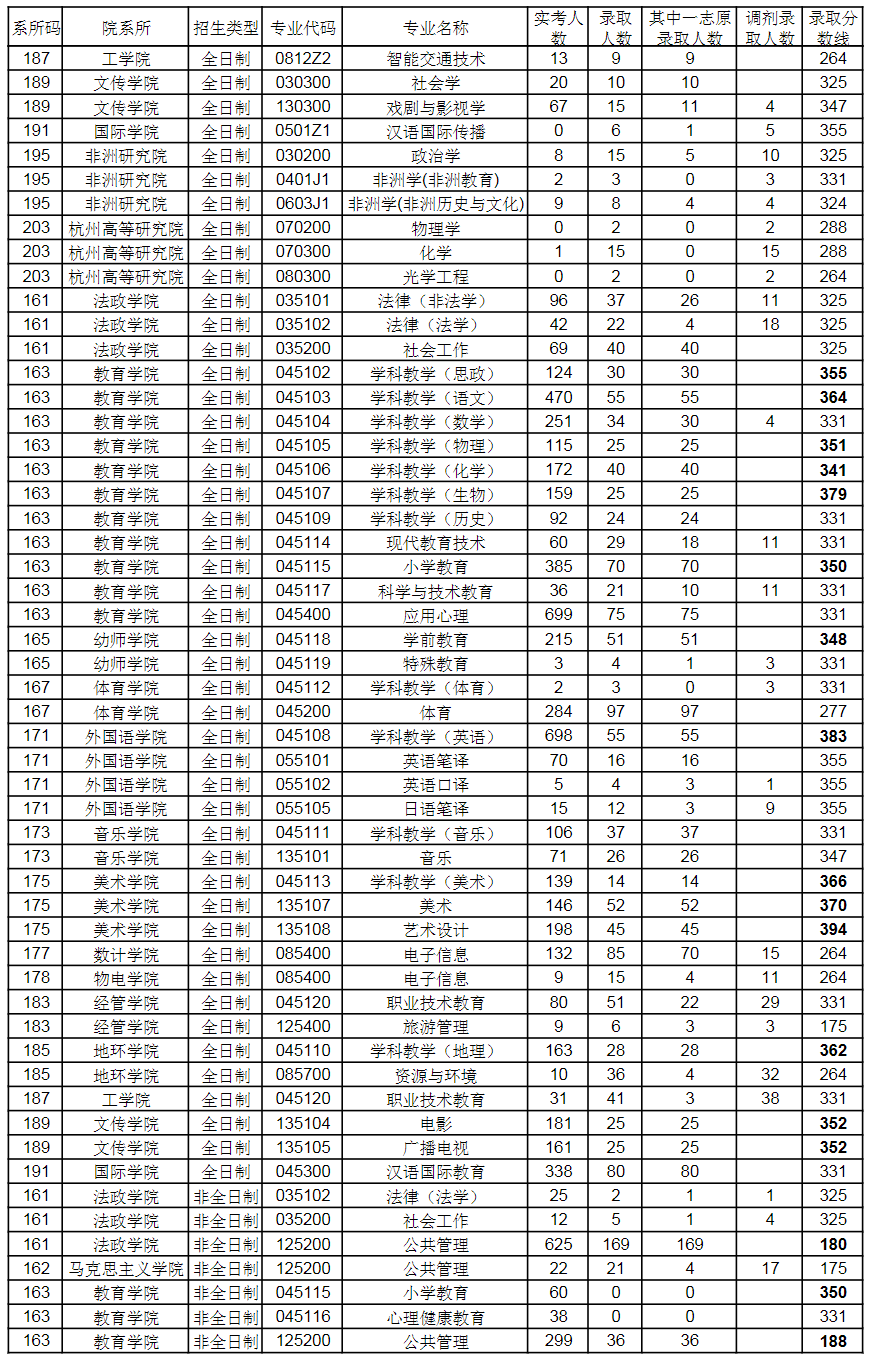
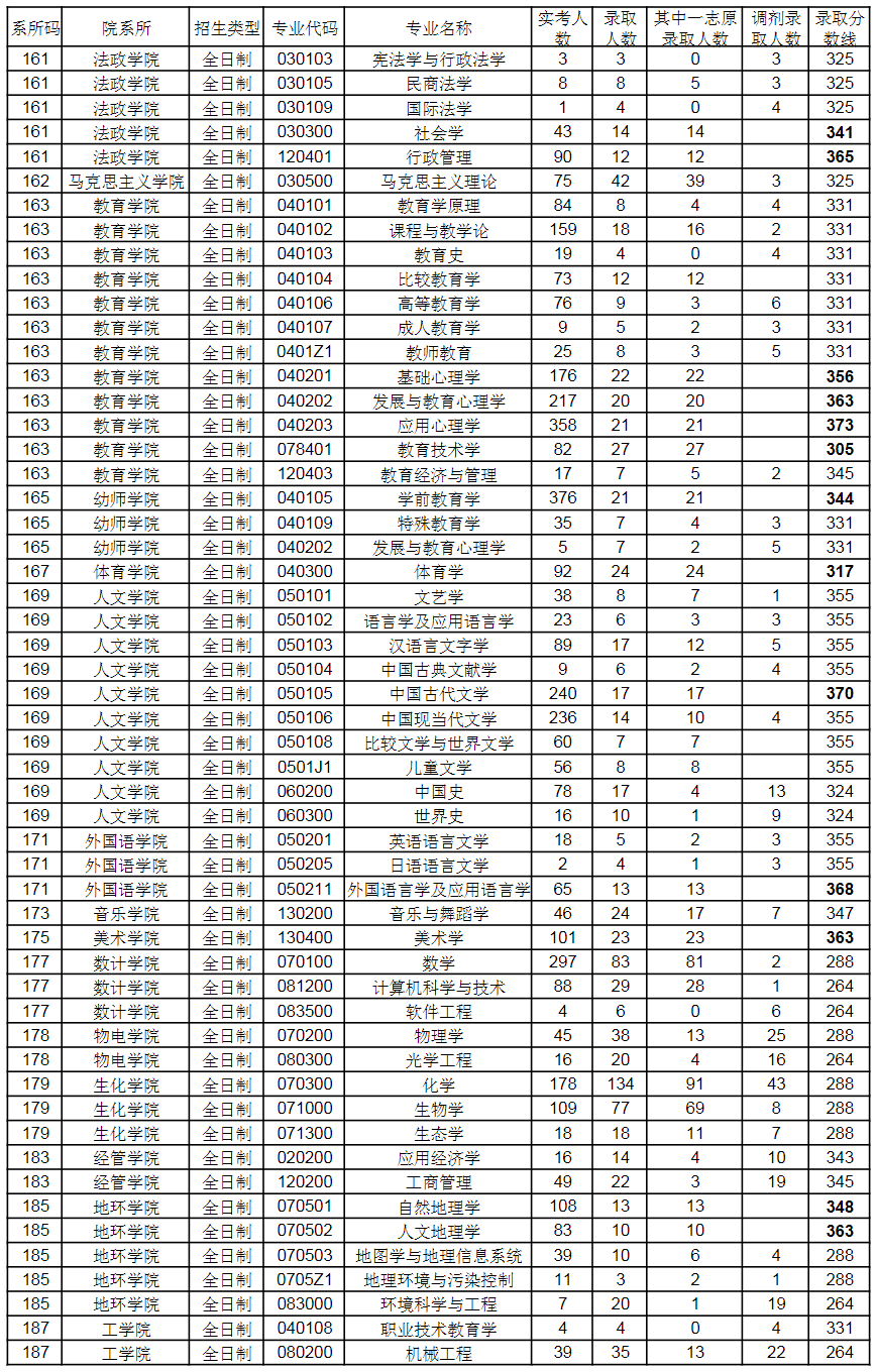
2、 杭州师范大学20考研报录比
3、深圳大学20考研报录比
4、江苏大学20考研报录比
5、首都经济贸易大学20考研报录比
以上,就是近期我整理的比较热门的一些院校20考研的报录比,大家点击图片就可以查看大图,但如果还是看不清的话可以单独找我,我可以把我手里的原图发给大家。
另外,如果大家还想查哪个学校的考研报录比也可以找我,有些图片太大我就没有发上来,比如:
浙江工商大学、宁波大学、福建师范大学、天津师范大学、江西师范大学、上海师范大学、沈阳药科大学等。
版权声明:我们致力于保护作者版权,注重分享,被刊用文章【华东师范大学研究生报录比(20考研各大热门院校报录比汇总)】因无法核实真实出处,未能及时与作者取得联系,或有版权异议的,请联系管理员,我们会立即处理! 部分文章是来自自研大数据AI进行生成,内容摘自(百度百科,百度知道,头条百科,中国民法典,刑法,牛津词典,新华词典,汉语词典,国家院校,科普平台)等数据,内容仅供学习参考,不准确地方联系删除处理!;
工作时间:8:00-18:00
客服电话
电子邮件
beimuxi@protonmail.com
扫码二维码
获取最新动态
