杨维冉,南昌大学资源环境与化工学院学科带头人、教授,南昌大学研究生院副院长。2004年毕业于中国科学技术大学化学系。2010年博士毕业于美国宾夕法尼亚州立大学化学系。2010-2013年先后在美国宾夕法尼亚州立大学和美国康奈尔大学从事博士后研究工作,2013-2016年在美国陶氏化学公司碳水化合物部作为资深化学家从事研究工作。2016年4月加入南昌大学,于2017年获得国家级“海外高层次人才”青年项目和江西省“新世纪百千万人才工程”;2019年获得江西省巾帼建功标兵、2021年获得江西省三八红旗手等荣誉称号。
杨维冉教授的主要研究领域包括生物质基化学品的绿色制备、土壤重金属污染治理、金属催化剂的合成与应用等。在Green Chemistry、ChemSusChem、Bioresource Technology 等高影响因子期刊发表论文三十余篇,申请专利十余项。在研项目包括国家青年科学基金项目、国家“重大人才”青年项目以及国家重点研发计划等。担任《当代化工研究》《南昌大学学报》编委。

在课题组碘催化生物质增值化工作(Green Chem., 2019, 21, 4169-4177; Green Chem., 2019, 21, 6326-6334; Green Chem., 2020, 22, 7468-7475)的基础上,本文着重概述了杨维冉教授课题组最近在碘介导醇歧化反应和碘离子介导氢转移催化制备5-甲基糠醛的相关工作情况。
1. 碘介导的醇歧化反应研究
醛的歧化反应(Cannizzaro反应)是有机化学中为人熟知的反应之一,然而醇歧化制备相应碳氢化合物和醛酮的报道非常有限。目前文献报道基本通过金属催化实现醇的歧化反应,且方法中存在底物适用范围窄的问题。因此,开发一种简单的、绿色的、底物适用广的醇歧化反应体系具有十分重要的实际意义。近期南昌大学资源环境与化工学院杨维冉团队利用氢碘酸的还原性和碘的氧化性特点,开发了一种醇歧化同时生成烷烃和醛/酮的方法(图1)。该方法不添加任何还原剂或氧化剂,反应原子经济性达100%,且此方法具有较高的官能团耐受性,包括具有吸电子和供电子基团的芳醇衍生物、呋喃环醇衍生物、烯丙醇衍生物以及二元醇。

图1. 醇歧化示意图
文章通过自由基捕获实验、EPR测试等反应机理研究确定了该反应为自由基机理(图2),即醇首先与HI反应,形成碘化物;碘化物在加热作用下均裂成碘自由基和F自由基;F自由基与HI反应生成碳氢化合物F和碘自由基;同时,醇被碘自由基攻击形成HI和D自由基,D自由基再与另一个碘自由基结合形成羟基碘代物G;G物质释放一分子HI,生成醛基化合物,而整个过程中催化剂通过与醇间不同反应途径,实现碘离子-碘的相互转化从而完成催化循环(Green Chem., 2021, DOI: 10.1039/D1GC01850G)。

图2. 自由基诱导的醇歧化反应机理
2. 碘离子介导氢转移催化制备5-甲基糠醛
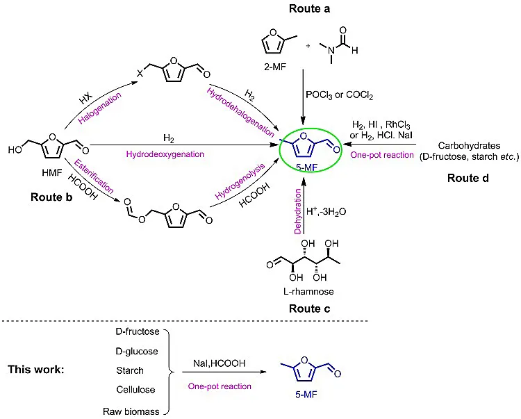
5-甲基糠醛(5-MF)是一种高附加值的精细化学品(约20万/吨),可直接用作食用香精(现已列入《国家食品安全标准》)。它也是一种多功能的C6平台分子用于合成各种呋喃衍生物,如2,5-呋喃二甲酸、2,5-二甲基呋喃等产品。目前5-MF的合成路径主要有四种(图3),其中工业上采用的是2-甲基呋喃法,三氯氧磷或光气的使用使得该法面临着严重的环境污染问题。而5-羟甲基糠醛和鼠李糖途径虽然技术上相对简单,但原料成本问题仍然无法解决。相对地以生物质基碳水化合物为原料制备5-MF具有明显的经济优势。杨维冉教授在前期工作的基础上(ChemSusChem, 2011, 4, 349-352; ChemSusChem, 2012, 5, 1218-1222; Green Chem., 2019, 21, 4169-4177),进一步开发出一种新颖的碘离子介导的氢转移催化体系用于5-甲基糠醛的直接绿色合成。该体系具有良好的循环能力,以及底物普适性。其突出的5-甲基糠醛生产效率(103 mmol g cat.-1 h-1)及联产糠醛的特点使得该方法比其他路径更具有优势。

图3. 5-甲基糠醛合成途径
文章创新性的以甲酸作为酸催化剂以及还原剂,首先论证了甲酸还原碘单质的可行性。在此基础上作者优化了果糖制备5-MF的反应工艺以及催化剂的循环性(六次无明显失活)。通过中间体捕获实验,以及甲酸和碘离子在催化体系中的作用研究,作者提出了果糖制备5-MF的可能途径。首先在甲酸催化作用下果糖脱水生成5-羟甲基糠醛,然后其羟基被碘代生成5-碘甲基糠醛,随后经相转移进入有机相进而被HI还原为5-MF,而过程中生成的碘会被甲酸原位还原成HI。其中反应可能经过的次要途径为5-羟甲基糠醛与甲酸酯化产物。最后文章对底物的普适性做了研究,发现糖类化合物、淀粉甚至原生生物质均可高效转化为5-MF,同时原生生物质中的半纤维素可高效转化为糠醛。对比文献中关于5-MF合成的报导表明本方法无论在底物、催化体系以及5-MF生产效率方面均具有明显优势。这项工作开发了一种新颖的、绿色的5-甲基糠醛合成方法,同时为生物质增值化提供了一种新的思路(ChemSusChem, 2021, DOI: 10.1002/cssc.202102021)。

图4. 推测反应机理图
版权声明:我们致力于保护作者版权,注重分享,被刊用文章【南昌大学化学学院(南昌大学杨维冉教授课题组碘催化最新研究工作概览)】因无法核实真实出处,未能及时与作者取得联系,或有版权异议的,请联系管理员,我们会立即处理! 部分文章是来自自研大数据AI进行生成,内容摘自(百度百科,百度知道,头条百科,中国民法典,刑法,牛津词典,新华词典,汉语词典,国家院校,科普平台)等数据,内容仅供学习参考,不准确地方联系删除处理!;
工作时间:8:00-18:00
客服电话
电子邮件
beimuxi@protonmail.com
扫码二维码
获取最新动态
