关注中学日语发展 解决日语学习困惑
1月24日,重庆、福建、广东、河北、湖北、湖南、江苏、辽宁八省联考已经结束,其中语文、数学、外语三个科目,试卷有教育部考试中心命题,即八省同一张试卷。对于2021年高考使用全国卷的考生复习备考具有很强的指导意义。
24号下午考完之后,同学们也在网上发表了对于试卷的看法。
根据网友们的反馈来看,八省联考的试卷难度相对于往年高考来说,偏高。试卷一开始也没有先安抚大家情绪的“送分题”,而是一上来就呈现出需要技巧的题目,学生的心态有一点受到影响。
但塞翁失马,焉知非福。八省联考不是正式的高考,不会和升学进行挂钩,难度较大可以更好地呈现出学生哪里需要查漏补缺,为高考铺上坚实的知识储备。
互强高考日语的小编也在第一时间为大家整理了日语试卷,目前答案已经出炉,一起来看一看吧!
八省联考对于考生来说,一方面是在测试大家的水平,但是更重要的,是以下三点。
新高考模式为“必考+选考”,“3+1+2”模式,即语数外三门必考,物理和历史两门科目中任选一门考试,化学、生物、政治、地理四门科目中任选2门进行考试。目前一共有24种组合方式,因为是新型高考模式,到底哪种才更适合学生本身,哪种更适合学校教学,还不够清晰。
而这次八省联考,就是要考生们适应新高考模式,熟悉考试流程、试卷结构以及题型难度。
这不仅对于高三的考生至关重要,对于高一、高二的学生来说,也有借鉴意义,可以提前了解高考的出题模式以及命题方向。
新高考总分=必选科目卷面分+选考科目等级赋分
化学、生物、政治、地理这4门科目以等级赋分成绩计入总成绩。先按照考生原始分数从高到低划定A、B、C、D、E共5个等级,每个等级人数所占比例如图所示:
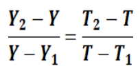
赋分公式为:
Y2:区间原始分上限;Y1:区间原始分下限;Y:考生卷面分(原始分);
T2:赋分区间上限;T1:赋分区间下限;T:考生所得赋分;
举个例子,某考生政治科目卷面分为75分,假设该科目B等级卷面分区间为82-61分,那么根据公式,该考生的等级赋分为80分。
所以,考生之间若是要拉开距离,重点仍在语文、数学、外语、物理、历史这几门按照原始分计入高考成绩的科目上。
语、数、外中,语文是大家公认的较难提升;数学从“文理不同卷”变成了“全员同一张试卷”,对于曾经的“文科生”会有一定的挑战难度,“理科生”看上去更占优势;而外语似乎也没有多大变化,但很多人还不清楚。外语除了可以选择英语之外,还有日语、德语、俄语、法语、西班牙语可以选择。
日语提分可以有多夸张呢?
从近年来和互强高考日语部合作的学校来看,高考日语成绩稳定在均分120分左右,125分以上人数占学习人数的1/3,其中2/3的同学高考日语在110分以上。
同学们可以比较湖南省历年高考英语平均分:
2020年互强教育高考班级的日语平均分:
要是跟对好老师,按照正常的教学计划,不旷课、不早退,积极配合老师,完成老师布置的家庭作业,大多数学生的日语成绩会比英语成绩高出30分左右。
新高考省份在安排招生计划时,大学方面将会按照物理/历史两个类别分开编制。投档方式也将按照这两种组合分别划定录取分数线。
而高考选日语的考生对于专业的选择也不用有太多的顾虑。
教育部文件明确规定:高校不得对报考非外国语文学类专业的考生作统考外语语种限制。
极个别外国语文学类专业不招日语考生。这些极个别专业在招生指南上都会注明(如本专业只招收英语类考生),没有特别注明的都接受日语考生。
八省联考已经结束,考试成绩只是第一轮复习的体现,不管考得好不好,分数都已经出来,无法修改。拿到试卷后,大家可以好好分析卷子,找出错误的原因,做好寒假学习计划。互强高考日语部的老师也会持续分享相关知识,大家一起进步!
版权声明:我们致力于保护作者版权,注重分享,被刊用文章【高考日语卷(八省联考日语真题及答案出炉)】因无法核实真实出处,未能及时与作者取得联系,或有版权异议的,请联系管理员,我们会立即处理! 部分文章是来自自研大数据AI进行生成,内容摘自(百度百科,百度知道,头条百科,中国民法典,刑法,牛津词典,新华词典,汉语词典,国家院校,科普平台)等数据,内容仅供学习参考,不准确地方联系删除处理!;
工作时间:8:00-18:00
客服电话
电子邮件
beimuxi@protonmail.com
扫码二维码
获取最新动态
