首先,为什么要“赋分”?
赋分制是新高考改革的核心变化之一,也是保证高考公平的重要措施。新高考模式下,自由选科代替了文理分科,在这样的情况下,考生之间的原始分(实考成绩)由于选考科目不同,不再具有可比性。比如化学试卷难,政治试卷简单,考政治的考生肯定分数普遍比考化学的考生高,这对考化学的考生就不公平了。
比如,有的考生选了物理,卷面成绩考了87分,排名第一,但另一位同学选了历史,考了88分,但排名是第1000名。如果简单地以实考成绩比较,明显的不公平了。所以新高考为了避免考生因为选了比较难的科目,出现分数较低的情况,采用了赋分制。赋分制正好解决了这样的一个弊端,保证选科上的公平。所以,在新高考模式下,必须采用赋分制!因为公平!
具体的赋分规则可以参考:
2022年1月选考会有多少个100分?
如果你还是对赋分制不理解,那早知道就以绍兴市最新的高一期末成绩等级赋分表,来给大家具体的分析下:
绍兴市2021学年第一学期高一期末成绩赋分等级表

从上表可知,浙江省在等级赋分的时候,先给予每个人合格分40分,就是我们说的起赋分40分。再将赋分分为20个区间,第1区间赋分100-97分,第2区间赋分96-94分,第3区间赋分93-91分,以此类推,第20区间为赋分42-40分。然后根据在区间内的具体分数,确定考生的具体赋分。每个区间的比例每门学科都是相同的。第19和20区间的比例最少,各只有1%。
举个例子,小明政治考了72分,在所有参加政治的考生中排名前6%,那么他最终的得分可参照上表,属于第二区间,经过公式换算,赋分为94分。94分是最终计入总分的成绩,而不是72分。
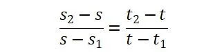
赋分具体步骤为:
第一步,将卷面得分按人数比例划分为20个赋分区间,得出每个区间卷面得分的上限、下限。
第二步,对每个区间的卷面得分进行等比例转换,公式为:

其中,s2、s1为卷面得分区间的上限和下限,s为待转换卷面得分;t2、t1为赋分区间的上限和下限,t为卷面得分等比例转换后的赋分。
第三步,将转换结果四舍五入后即为等级赋分。
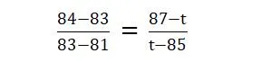
举例说明:赋分区间为87-85,如对应的卷面得分区间为84-81,某考生的卷面得分为83,通过等比例转换:

可以得出t=86.3,四舍五入取整后的等级赋分为86分。
现在,你对赋分制有更多了解吗?如果你对赋分表还有不理解的地方,欢迎留言告诉我们。
要注意:
1、实考分≠赋分,比如政治实考84分,实际赋分有100分。
2、切分线并不代表唯一的实考分数,比如物理100分的切分线虽为97分,但也可能有考98、99分的同学,他们和97分的同学一样,赋分都是100分。
3、这张成绩赋分表对每门科的成绩进行了赋分,而事实上,选考只需要三门科。所以实际赋分还是有不同的。
4、再强调一下,赋分制中,是不能只看实考分数的,即使是相同的分数,在不同科目上赋分也会有很大的区别,不能单从实考分数论好坏。比如,同样是70分,地理实考70分,赋分只有73分,而历史实考70分,实际赋分有97分。再比如,某同学政治实际考了69分,地理考了80分,如果单看实考分数,会误以为地理的成绩更好。但实际上,赋分之后,政治变成了90分,而地理只有88分,显然政治能得到更高的分数。
5、在赋分制中,还有个最低的分数设置。从上表可以清晰的看到,有的同学只考了1分,但是赋分后却有40分。有些人可能觉得40分会不会太高,毕竟对差生来说,赚到的分数实在太多。上面也说了,选考是在学考及格的情况下才能参加,所以这个设分也是合理的。如果上表是学考的分数情况,地理考48分以下的同学,为学考不及格,是没法参加地理选考的。
再接下去,我们谈谈这张绍兴期末成绩赋分表的作用:
1、可以清楚地看到自己在本市的排名
绍兴市普高的高一同学拿到的只是实考成绩,并不知道实际上能赋到多少分。根据上面赋分表,可以清楚的知道自己在整个绍兴市的排名情况,对自己有个更全面的了解。
2、对选科有重要参考
根据排名情况,可以知道自己的优劣科目,从而扬长避短,帮助自己确定下学期的选科。
3、上表也透露出,一些学霸已提前一步确定了自己的选科。
上表中,物化生的最高切分线非常高,远远高于政史地,还出现断层现象,特别是物理。物理最高切分线为97分,接着是92分,再接着直接掉出了90分,只有88分。这个分数在高分段里变化特别明显,接着再平稳下降。而其他科目,特别政史地,分数基本是均匀下降。
那么,从中也可以知道,对于一些优秀的同学来说,他们已经确定了自己的选考科目,并开始了针对性的学习,在确定的科目上已花下了更多的精力,导致了物理化学等科的实际卷面分特别高。学霸们总是懂得如何快人一步,让自己的起跑线不断往前挪动。
所以对于还没确定自己选科的同学,这个寒假一定要确定自己的选科,不然与别人的差距只会越来越大。同时,家长也要提早了解高考政策,紧跟最新步伐,才能与时俱进。如果只是走一步看一步,只会被别人远远甩在身后。当然,要了解高考最新的政策,最简单的方法,就是关注我们早知道。
另外,高一的同学还要有一个学考,我们把实考成绩也按学考对应等级进行了划分。
你可以对照一下,你的实考成绩换算成学考能得什么等级?
表格右边是根据学考的等级划分规则来划分的。学考的等级虽然不计入高考,但也有很多重要作用:
a.作为高中毕业的条件之一
b.影响选考
未通过学考的选考科目,不允许参加选考。
c.影响大学报考
部分大学专业对于学考成绩会有要求(会在高校招生章程中说明)
d.作为三位一体、高职提前招生等的重要依据。一定要尽量多拿A。
所以即使你选科后没有选择某几门学科,也不能过于松懈。
现在,你对赋分制有更多了解吗?如果你对赋分表还有不理解的地方,欢迎留言告诉我们。
如果你需要绍兴或其他地区的期末试卷,请后台回复“22期末试卷”或进入菜单查看做一下绍兴试卷,对照一下赋分表,确定位置。
如果你需要其他地区的赋分表,请点击早知道菜单,进入我们家长论坛,我们会第一时间发布。
如有进一步的高考方面问题,大家可以通过我们高考早知道的菜单,进入高考论坛发帖咨询,我们会及时解答。相关的高考政策也可在后台回复“2022届”或“2023届”、“2024届”。
版权声明:我们致力于保护作者版权,注重分享,被刊用文章【高考赋分是什么意思(什么叫赋分制)】因无法核实真实出处,未能及时与作者取得联系,或有版权异议的,请联系管理员,我们会立即处理! 部分文章是来自自研大数据AI进行生成,内容摘自(百度百科,百度知道,头条百科,中国民法典,刑法,牛津词典,新华词典,汉语词典,国家院校,科普平台)等数据,内容仅供学习参考,不准确地方联系删除处理!;
工作时间:8:00-18:00
客服电话
电子邮件
beimuxi@protonmail.com
扫码二维码
获取最新动态
