封面图
广西师范大学,简称“广西师大”,坐落于世界著名山水旅游名城桂林市,是广西重点建设的三所大学之一。由于学校在全国范围内毕竟不能同211及985相提并论,所以报考人数相对较少,每年考研的竞争力并不算大,大部分专业执行的都是国家线,进入复试还相对比较容易的,根据全国第四轮学科评估结果,以该校的优势学科开始讲起,咱们一起来看看叭~
广西师范大学的马克思主义理论是马克思主义学院下开设专业,其研究方向共7个分别是:马克思主义基本原理、马克思主义发展史、马克思主义中国化研究、国外马克思主义研究、思想政治教育、中国近现代史基本问题研究、党的建设。
招生目录
2022年

1

2
2021年

3
2020年

4

5
拟录取名单
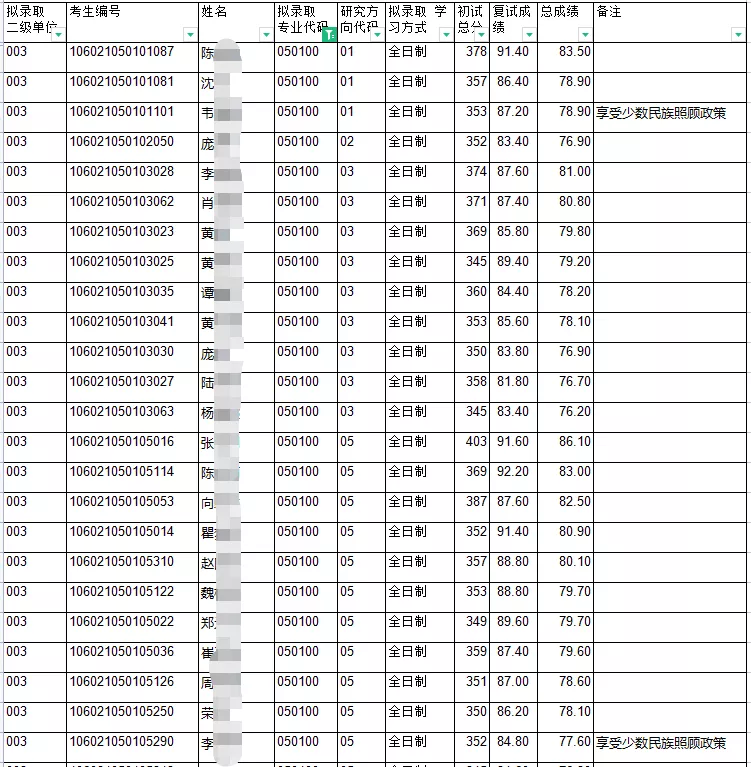
2021年拟录取名单

(部分名单)
2021年调剂名单

(部分名单)
2021年马克思主义理论拟录取共132人,具体如下:
马克思主义理论(马克思主义基本原理)拟录取12人,调剂录取7人,初试最高分371,最低分303,平均分330.2;马克思主义理论(马克思主义发展史)拟录取1人,调剂录取6人,初试成绩376;马克思主义理论(马克思主义中国化研究)拟录取26人,调剂录取8人,初试最高分393,最低分314,平均分345.9;马克思主义理论(思想政治教育)拟录取52人,初试最高分394,最低分308,平均分352.9;马克思主义理论(中国近现代史基本问题研究)拟录取10人,调剂录取5人,初试最高分396,最低分328,平均分358.1;马克思主义理论(国外马克思主义研究)调剂录取4人;马克思主义理论(党的建设)调剂录取6人;
2020年拟录取名单

(部分名单)
2020年调剂名单

(部分名单)
2020年马克思主义理论拟录取共87人,具体如下:
马克思主义理论(马克思主义基本原理)拟录取10人,初试最高分386,最低分328,平均分356;马克思主义理论(马克思主义发展史)调剂录取7人;马克思主义理论(马克思主义中国化研究)拟录取20人,初试最高分398,最低分312,平均分348.2;马克思主义理论(国外马克思主义研究)拟录取1人,调剂录取2人,初试分数342;马克思主义理论(思想政治教育)拟录取40人,初试最高分412,最低分299,平均分351;马克思主义理论(中国近现代史基本问题研究)拟录取7人,初试最高分372,最低分320,平均分341.6;
总结
从学科实力来看,广西师范大学的马克思主义理论在全国第四轮学科评估为B+,全国排名10%-20%,和其处于同一等级如湘潭大学、湖南大学等。马克思主义理论是广西一流学科和广西优势特色重点学科吗,师资力量是非常不错滴。

6
从录取情况来看,该专业的实际录取人数均高于计划招生人数,且近2年的招生有明显的扩招趋势。其中马克思主义理论研究方向中录取最多的如思想政治教育、马克思主义中国化研究,比较推荐小伙伴们报考。
广西师范大学教育学是以二级学科进行招生的,分别是:教育学、课程与教学论、科学教育。
教育学(040100)是教育学部下所开设专业,其研究方向共13个,分别是:教育学原理、课程与教学论、比较教育学、学前教育学、高等教育学、成人教育学、职业技术教育学、教育技术学、特殊教育学、教育法学、教师教育、民族教育、少年儿童组织与思想意识教育。具体情况如下:
招生目录
2022年

7
2021年

8
2020年

9
2019年

10

11
拟录取名单
2021年拟录取名单

(部分名单)
2021年教育学拟录取共119人,具体如下:
教育学原理拟录取共18人,初试最高分373,最低分317,平均分337.1;
课程与教学论拟录取共20人,初试最高分407,最低分325,平均分345.7;
比较教育学拟录取共9人,初试最高分378,最低分330,平均分345.8;
学前教育学拟录取共9人,初试最高分371,最低分322,平均分340.2;
高等教育学拟录取共12人,初试最高分413,最低分333,平均分362.1;
成人教育学拟录取共10人,初试最高分369,最低分328,平均分350.2;
职业技术教育学拟录取共11人,初试最高分383,最低分330,平均分360.8;
教育技术学拟录取共17人,初试最高分392,最低分335,平均分350.1;
特殊教育学拟录取共5人,初试最高分360,最低分345,平均分353.4;
教育法学拟录取共8人,初试最高分367,最低分335,平均分347.5;
2020年拟录取名单

(部分名单)
2020年教育学拟录取共41人,初试最高分376,最低分293,平均分330.6;
2019年拟录取名单

(部分名单)
2019年教育学拟录取共55人,初试最高分386,最低分310,平均分339.8;
总结
从学科实力来看,广西师范大学的教育学学科评估为B,全国排名20%-30%,综合实力一般,和其处于同一等级的如江西师范大学、四川师范大学;

12
从录取情况来看,教育学近3年的计划招生人数涨幅不大,其实际录取人数除21年高于计划招生外,20年和19年实际录取人数均低于计划招生人数。录取均分均高于国家线,该专业的录取分数线不算高,性价比还是不错的。
广西师范大学的中国语言文学(050100)是文学院/新闻与传播学院下所开设专业,其研究方向共10个,分别是文艺学、语言学及应用语言学、汉语言文字学、中国古典文献学、中国古代文学、中国现当代文学、民间文学与民族文化、比较文学与世界文学、文学传播学、写作学。
2022年

13

14
2021年

15

16
2020年

17

18
2019年

19
2021年拟录取名单

(部分名单)
2021年中国语言文学拟录取共32人(其中享受少数民族照顾政策4人),初试最高分403,最低分337,平均分359.4;
2020年拟录取名单

(部分名单)
2020年中国语言文学拟录取共102人(其中享受少数民族照顾政策3人、特岗教师1人、退役士兵计划1人、少数民族骨干计划1人),初试最高分407,最低分335,平均分363;
2019年拟录取名单

(部分名单)
2019年中国语言文学拟录取共52人(其中享受少数民族照顾政策1人、少数民族骨干计划1人),初试最高分409,最低分335,平均分364.4;
总结
广西师范大学的中国语言文学学科评估为B,全国排名20%-30%,和其处于同一等级如湖南师范大学、华南师范大学。

20
从录取情况来看,19年至20年实际录取人数开始增加,但到21年录取人数又开始减少。报考该专业的小伙伴建议分数在360+会更稳妥些。
广西师范大学化学(070300)是化学与药学学院下所开设专业,研究方向分别是:无机化学、分析化学、有机化学、物理化学、高分子化学与物理、化学生物学。

21
2022年

22

23
2021年

24

25
2020年

26

27
2019年

28

29
拟录取名单
2021年拟录取名单

(部分名单)
2021年调剂录取名单

30
2019年化学一志愿拟录取共17人(其中享受少数民族照顾政策4人),初试最高分335,最低分253,平均分290;
2020年拟录取名单

(部分名单)
2020年化学拟录取共85人(其中享受少数民族照顾政策2人),初试最高分371,最低分250,平均分311.8;
2019年拟录取名单

31
2019年化学一志愿拟录取共17人(其中享受少数民族照顾政策4人),初试最高分335,最低分253,平均分290;
总结
从学科实力来看,广西师范大学的化学学科评估为B-,全国排名前30%-40%,和其处于同一等级的如河南大学、湘潭大学。

32
从录取情况来看,21年化学专业实际录取人数中,有一半是调剂考生。20年和21年总录取人数均在80及其以上,19年一志愿录取的人数并不多,按照近2年的情况来看,该专业调剂录取人数占比还是挺大的!
广西师范大学的软件工程专业是在计算机科学与信息工程学院/软件学院下所开设专业,其研究方向分别为:软件开发理论与技术、大数据处理和云计算、可信软件与分布式系统安全、物联网技术与应用、图像处理与信息识别技术。
2022年

33

34
2021年

35

36
2020年

37

38
2019年

39

40
拟录取名单
2021年拟录取名单

41
2021年软件工程拟录取共24人,初试最高分373,最低分268,平均分311.6;

42
2020年拟录取名单
2020年软件工程拟录取共30人,初试最高分349,最低分255,平均分289;
总结
从学科实力来看,广西师范大学的软件工程专业在全国第四轮学科评估结果为B-,全国排名30%-40%,和其处于同一等级的如福州大学、武汉理工大学等。

43
从录取情况来看,软件工程专业20年至21年实际录取人数有所减少。录取最低分均高于国家线,报考难度不算大。
广西师范大学位于广西桂林,山清水秀、环境优美,且21年公布的报考人数破1万,可见学校越来越受到考生们的青睐。像分析到的马克思主义理论、教育学、化学等学科其学科实力还是非常不错的。且广西师范大学由于位于广西,考研中分数线划分属于B区,每年也有不少调剂生。综合来看,广西师范大学考研竞争不算大且性价比还是很可的。
育学、化学等学科其学科实力还是非常不错的。且广西师范大学由于位于广西,考研中分数线划分属于B区,每年也有不少调剂生。综合来看,广西师范大学考研竞争不算大且性价比还是很可的。
版权声明:我们致力于保护作者版权,注重分享,被刊用文章【四川师范大学马克思主义学院(这所双非一直被低估)】因无法核实真实出处,未能及时与作者取得联系,或有版权异议的,请联系管理员,我们会立即处理! 部分文章是来自自研大数据AI进行生成,内容摘自(百度百科,百度知道,头条百科,中国民法典,刑法,牛津词典,新华词典,汉语词典,国家院校,科普平台)等数据,内容仅供学习参考,不准确地方联系删除处理!;
工作时间:8:00-18:00
客服电话
电子邮件
beimuxi@protonmail.com
扫码二维码
获取最新动态
