2022年重庆高考保送总人数为93人,其中2022年五大学科奥林匹克竞赛国家集训队保送生11人、四川外国语大学附属外国语学校保送82人。具体保送情况如下。
保送的11人中,巴蜀中学3人、重庆八中6人、重庆一中和西南大学附中各1人。
其中男生9人、女生2人。保送进入高校中,北京大学6人、北京大学医学部1人、清华大学4人。保送的专业有计算机类、数学与应用数学(八年制)、理科试验班类、物理学类、临床医学(八年制)等5个专业。
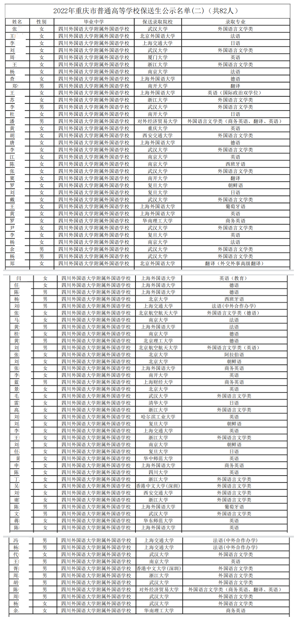
川外附中外语类保送总人数为82人,被录取的专业主要有外国语言文学类、英语、商务英语、翻译、德语、法语、日语、西班牙语、朝鲜语、阿拉伯语等专业,其中有3名保送到上海交通大学的学生选择了中外合作办学的法语专业,这个说明中外合作办学专业越来越受到大众的认可了。
从学校保送的82人学校去向来看,一共有23所高校吸收了川外附中的保送生。其中武汉大学15人、上海外国语大学13人、南京大学8人、浙江大学7人、复旦大学和上海交通大学等各5人、北京大学和南开大学等各4人等,其他高校均为1-2人。如重庆大学、四川大学和清华大学等各1人,北京航空航天大学、西安交通大学、香港中文大学(深圳)等学校各2人等。保送的23所高校中,属于985高校有17所,吸收保送生总人数为61人,占保送生总人数的74.4%。
在保送生人数中,其中最受大众关注的是保送至清华大学和北京大学的学生人数。2022年保送至清北的人数合计为16人,而2021年有31人(清华18人、北大13人)、2020年为11人等,可见2021年保送至清北的人数是近三年的一个顶峰。
版权声明:我们致力于保护作者版权,注重分享,被刊用文章【重庆有985大学吗(2022重庆93人获高考保送录取)】因无法核实真实出处,未能及时与作者取得联系,或有版权异议的,请联系管理员,我们会立即处理! 部分文章是来自自研大数据AI进行生成,内容摘自(百度百科,百度知道,头条百科,中国民法典,刑法,牛津词典,新华词典,汉语词典,国家院校,科普平台)等数据,内容仅供学习参考,不准确地方联系删除处理!;
工作时间:8:00-18:00
客服电话
电子邮件
beimuxi@protonmail.com
扫码二维码
获取最新动态
