学生在高考考场上,碰到不会的题是再正常不过了。学霸也常在考场遇到不会的题,但常常能合理运用方法,迎刃而解。普通学生如果方法不对,引起紧张,甚至因为这一道小题,影响了整科的发挥。
为了避免这种因小失大的局面,下面我分为三个步骤,手把手教你高考应试方法,应对高考考场上遇到不会的题,分数往高蹿一大截,大大提高「不会的题」的正确率。
高考,不仅考核的是学生对高中知识掌握的程度,同样也是考学生的心态。
心态不好吃大亏。我有幸呆过重点班,平时考试各种测验拿高分的学霸,大考却发挥失常落榜。所以调整心态、稳住心态是最重要的第一步:先做一个5秒的深呼吸,然后告诉自己:
像我这么优秀都不会写,剩下的那些“猪猪”肯定也不会写。(精神鼓励法)
高考不就是收麦子吗?辛苦种了三年,长得又好,你怎么就不敢收了。(转移注意力法)
做过的题,但忘了
第一种情况比较好办,这种经过第一步心态调整后,二次返回检查的时候能记起来。
还是憋不出来的时候,你则可以告诉自己:“看你当时不好好学吧,不会了吧。那也没办法啦,现在你要抓紧时间做完会做的题,保证它们的正确率呀!”
总之就让自己平静下来,保证在做下一道题的时候不受这道题消极情绪的影响,据我多年考场经验,这种在你第2次回过头来看的时候都能想起来。
英语的阅读题
阅读的主旨大意题,找答案多看看段首和段尾,两者都没有看看出现频率高的关键词。词义猜测题,找因果关系词,同义词反义词。推理判断题,直接陈述原文的内容不能选。
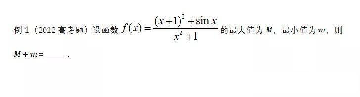
学霸的数学二级公式
什么叫做学霸的二级公式?就是课本上不会讲到的,学霸自发总结的公式,在考场上可以直接使用。
若其函数存在最值,则其最大值和最小值之和为0
定理一:例题
运用公式之后是不是感觉很简单,1+1+“一对相反数”=2,最简单的算术题了。因为二级公式涉及的篇幅过长,我会单独出一篇详细讲解,感兴趣的可以持续关注我。高中数学听不懂,考生想放弃数学了?终于找到学霸高分的原因!
语文文言文
语文文言文看不懂的话,就看第三个选择的翻译。新课标语文(文理通用):诗词“表达了什么样的情感”:先翻译句子,然后写用什么手法,渲染/烘托出XX的气氛,表达了作者XX情感,基本5分到手了。
弃车保帅
如果以上方法都用了,发现做题还是没有头绪,那可能是根源性的问题了,知识没掌握牢固,或者对新题型不熟悉,在高考前的15天里,最快最有效的办法就是解题方法的提升。
很多考生走出考场,在和同学对答案的时候痛锤胸口,如果再给我一次机会,把考场上做过的题再做一遍,我会减少多少失分啊。“高考就像千军万马过独木桥,一分之差就淘汰万人之下 ”,解题方法是学生冲刺阶段拿高分一条捷径。
《2020高考数学必备技巧大招》原价680块的,现在高考618活动限时2天99元,仅需一顿饭钱,让孩子学会考场解题技巧,考场上底气也更足,争取冲刺985,211.把握住高考这个公平竞争的重要机会。
点击卡片链接购买
正弦老师正在你理想的大学等你,同是寒窗苦读,怎愿甘拜下风。
乾坤未定 你我皆为黑马,冲!
版权声明:我们致力于保护作者版权,注重分享,被刊用文章【哪里不会点哪里高考(高考遇到不会的题别)】因无法核实真实出处,未能及时与作者取得联系,或有版权异议的,请联系管理员,我们会立即处理! 部分文章是来自自研大数据AI进行生成,内容摘自(百度百科,百度知道,头条百科,中国民法典,刑法,牛津词典,新华词典,汉语词典,国家院校,科普平台)等数据,内容仅供学习参考,不准确地方联系删除处理!;
工作时间:8:00-18:00
客服电话
电子邮件
beimuxi@protonmail.com
扫码二维码
获取最新动态
