最近有个好消息,如下图所示近日山东省教育厅发布“意见征集反馈:《山东省师范生公费教育实施办法》”再一次明确了省属公费师范生可以报考全日制研究生。
该文件的源头还要追溯到今年6月18日省教育厅发布的《山东省师范生公费教育实施办法(征求意见稿)》,到意见征集截止日 (7月15日),省教育厅共计收到邮件、信件140余件,在进行了认真分析后,采纳了3条合理性建议:其中第三条将《征求意见稿》中第二十一条“公费师范生在培养期报考全日制研究生,须经定向就业市教育行政部门同意,并签订补充协议,可保留公费师范生身份至研究生毕业。”修改为“公费师范生在培养期报考全日制硕士研究生,报名前须按照有关程序经定向就业市教育行政部门同意,并签订补充协议,承诺研究生毕业后按期回到定向就业市从事农村教育教学工作不少于6年,可保留公费师范生身份至研究生毕业。进一步明确了省属公费师范生可以报考全日制研究生的政策。
省属公费师范生这种志愿类型自出现以来就备受关注, 2016年初,山东省人民政府办公厅印发《山东省<乡村教师支持计划(2015-2020年)>实施办法》提出山东启动免费师范生1万名全科教师培养计划。随着政策的深入,2018年“免费师范生”更名为“公费师范生”。同年招生计划人数由原定的4000人扩招到了6000人。2019年计划3年计划再招收15000名公费师范生。6年下来,公费师范生的培养数量将达到2.7万名。
虽然政策向上向好,可是省属公费师范生在学业深造方面还是有诸多限制,此前对省属公费师范生的规定是:公费师范生在培养期和服务期内,一般不得报考脱产研究生,符合条件的可在职攻读与教学业务相关的硕士学位。
许多考生在因报考省属公费师范生将失去攻读全日制研究生的机会而望而却步,不能报考脱产研究生成了考生报考的“拦路虎”。
省属公费师范生的政策更加明朗,对广大考生来说也更富有吸引力。接下来咱们再来看看2019年我省公费师范生的录取数据,给大家2020年报考公费师范生提供一个参考。
公费师范生培养任务由山东师范大学、青岛大学、济南大学、山东理工大学、曲阜师范大学、聊城大学、鲁东大学、临沂大学、齐鲁师范学院、山东女子学院、潍坊学院、泰山学院、滨州学院、枣庄学院、菏泽学院、济宁学院、德州学院等17所高校承担。
2019年山东师范大学在山东省内共录取5330人。
山东省公费师范生、委培师范生、综合评价、普通文理类省内招生录取分数线再创历史新高。
本科提前批共录取1609人,其中录取公费师范生538人,文史类242人,最低分562分,录取位次13000名;理工类227人,最低分561分,录取位次43293名,较2018年文史类提升5000位次,理工类提升7000位次。
首次招收委培师范生,文史类最低分540分,理工类最低分556分。
山东师范大学2019年在山东省内本科普通批共录取3721人。
普通文理类中,文史类录取最高分599分,首次投档及录取最低分573分;理工类录取最高分622分,首次投档及录取最低分558分,普通理科招生实现投档分数和最低录取分数省属高校第一的好成绩。
2019年,公费师范生招生计划200人,比去年减少20人;招生专业5个,与去年持平。录取的文科最高分595分,高重点线53分;理科最高分586分,高重点线72分。
济南大学2019年在山东省普通类录取中,文史类录取成绩最低560分,理工类录取成绩最低535分;在济南走读录取中,文史类录取成绩最低546分,理工类录取成绩最低527分;在地方专项录取中,文史类录取成绩最低559分,理工类录取成绩最低536分;在中外合作办学项目录取中,文史类录取成绩最低543分,理工类录取成绩最低473分;在校企合作办学项目录取中,文史类录取成绩最低534分,理工类录取成绩最低497分;在公费师范生录取中,文史类录取成绩最低539分,理工类录取成绩最低516分。
从录取位次来看,各个招生类别都较2018年有所提升,特别是在公费师范生、济南走读和中外合作办学项目招生类别中,录取位次提升较大。
聊城大学2019年在山东省本科提前批录取工作自7月2日开始,于7月10日顺利结束,首次志愿即完成招生计划。本科提前批包括公费师范生(含艺术类、体育类、普通文理类)、委培师范生及公费农科生招生专业,共录取752人。其中,公费师范生594人,委培师范生128人,公费农科生30人。
从录取情况看,生源数量充足,生源质量进一步提高。2019年,公费师范生文史类录取平均分为556分,超出自主招生录取控制参考线14分;理工类录取平均分为538分,超出自主招生录取控制参考线24分;艺术体育类生源质量较往年也有明显提高。
委培师范生是山东省2019年新增招生类型,生源数量充足,生源质量较高,文史类录取平均分为550分(面向泰安)、543分(面向滨州),分别超出自主招生录取控制参考线8分和1分;理工类录取平均分为536分(面向泰安)、523分(面向滨州),分别超出自主招生录取控制参考线22分和9分。公费农科生是我校2019年新增招生类型,招生专业为植物保护,录取平均分为512分,超出普通批录取控制分数线69分。
7月10日,齐鲁师范学院本科提前批公费师范生已录取结束。共录取考生300人。
艺术文文化最高分492分,最低分448分,专业最高分246.66分,最低分216分。理科最高分569.114分,最低分504.083分。文科最高分577.123分,最低分529.114。
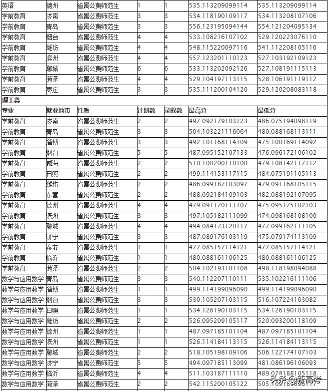
具体分专业分地市录取情况如下:
德州学院2019年山东省本科提前批公费师范生录取完成!共录取180名新生!
来源:山东高考一点通微信公众号
版权声明:我们致力于保护作者版权,注重分享,被刊用文章【济南大学在职研究生(省属公费师范生可以报考全日制研究生了)】因无法核实真实出处,未能及时与作者取得联系,或有版权异议的,请联系管理员,我们会立即处理! 部分文章是来自自研大数据AI进行生成,内容摘自(百度百科,百度知道,头条百科,中国民法典,刑法,牛津词典,新华词典,汉语词典,国家院校,科普平台)等数据,内容仅供学习参考,不准确地方联系删除处理!;
工作时间:8:00-18:00
客服电话
电子邮件
beimuxi@protonmail.com
扫码二维码
获取最新动态
