北京作为中国的政治、经济、文化、科技中心,吸引着众多学子的目光!
去北京上大学,是很多考生的梦想!
如果你的分数不高,又想去北京读大学怎么办?一定要认真分析本省的录取数据,对照下自己的分数和位次,有针对性地选择。
北京市高校每年在北京,垫底的大学是哪些?这些垫底的大学,在全国各省的情况又是怎样?本文总结了2020年全国各省北京市大学的录取数据,仅供大家参考。
1、北京市历年垫底的大学
2020年北京市新高考本科录取数据
2018年北京市理科一本垫底的大学
2017年北京市理科一本垫底的大学
2、分析:
从历年数据来看,北京市常年垫底的大学是以下几所:北京农学院、北京信息科技大学、北京印刷学院、北方工业大学、北京物资学院、而北京工商大学、北京建筑大学、北二外,北京中医药大学和北京协和医学院相对位置会更高一点。
从与全国各省录取数据对比来看,这些垫底的大学,基本上在全国各省,也处于垫底的水平。只是不同的省份,数据表现略有不同。
如果考生分数较低,可以结合自己的分数位次,重点考虑以上的大学。
1、山西省2019-2020年北京市大学的录取数据
山西省的批次分得比较细,从一本A批次的录取数据来看,北京语言大学、北京体育大学、北京第二外国语学院、中国地质大学(北京),中国矿业大学(北京)2020年录取分数最低。这点与2019年的排位有差别,但差别不大,都处于垫底的位置。
2、吉林省2019-2020年北京市大学的录取数据
吉林省2020年录取位次最低的五所大学是北京工商大学、中国矿业大学(北京),北京建筑大学、中国地质大学(北京)、北京体育大学。特别说明:表中数据是包括了少数民族的录取数据,所以大家在参考这个数据时,一定要把少数民族录取分数考虑进去。(吉林省并不会公布详细的录取数据电子稿)
3、黑龙江省2019-2020年北京市大学的录取数据
从录取数据来看,2020年垫底的大学有北京农学院、北京印刷学院、北京体育大学、北京工业大学和北京语言大学。而2019年垫底的大学有北京林业大学、北京农学院、北京印刷学院、北京工商大学和北京建筑大学。
4、江苏省2019-2020年北京市大学的录取数据
江苏省2019-2020年北京市垫底大学基本一致,北京信息科技大学、北京建筑大学、北京工商大学、北京体育大学和北京协和医学院基本上位次没有发生变化,只有北二外2020年垫底。
5、安徽省2019-2020年北京市大学的录取数据
从安徽省的数据来看,2019-2020年垫底的北京市大学有北京物资学院、中华女子学院、北京印刷学院、北京工商大学、北方工业大学,北二外、北京化工大学位置也偏低。
6、江西省2019-2020年北京市大学的录取数据
从江西省2019-2020录取数据中,我们可以发现,北京印刷学院、北京物资学院、北京联合大学、北京体育大学和北京工商大学在这两年中的录取位次都偏低。
7、河南省2019-2020年北京市大学的录取数据
河南有意思的地方是每年都有一些著名大学断档,2019年对外经济贸易大学断档,2020年中央财经大学断档。基本上每年垫底的大学是北京印刷学院、北京联合大学、北京物资学院、北京建筑大学、北京工商大学。
8、湖北省2019-2020年北京市大学的录取数据
湖北省2019-2020年录取数据分析:北京印刷学院、北方工业大学、北京工商大学、北京体育大学,北京信息科技大学、北京建筑大学这两年的位次都比较低,北京协和医学院招收护理专业,所以录取位次也比较低。
9、湖南省2019-2020年北京市大学的录取数据
从两年数据来看,北京工商大学、北京建筑大学、北京联合大学、中华女子学院、北京体育大学的录取位次偏低。
10、广西2019-2020年北京市大学的录取数据
广西的数据波动大一点,但总体来看,处于垫底位置的还是北京建筑大学、北京语言大学、北方工业大学、北京工商大学、北京信息科技大学、北京化工大学、北京印刷学院等大学。
11、重庆2019-2020年北京市大学的录取数据
重庆的数据显示:北京印刷学院、北京物资学院、北京工商大学、北京林业大学、北方工业大学、北京信息科技大学等大学处于偏低的位置。
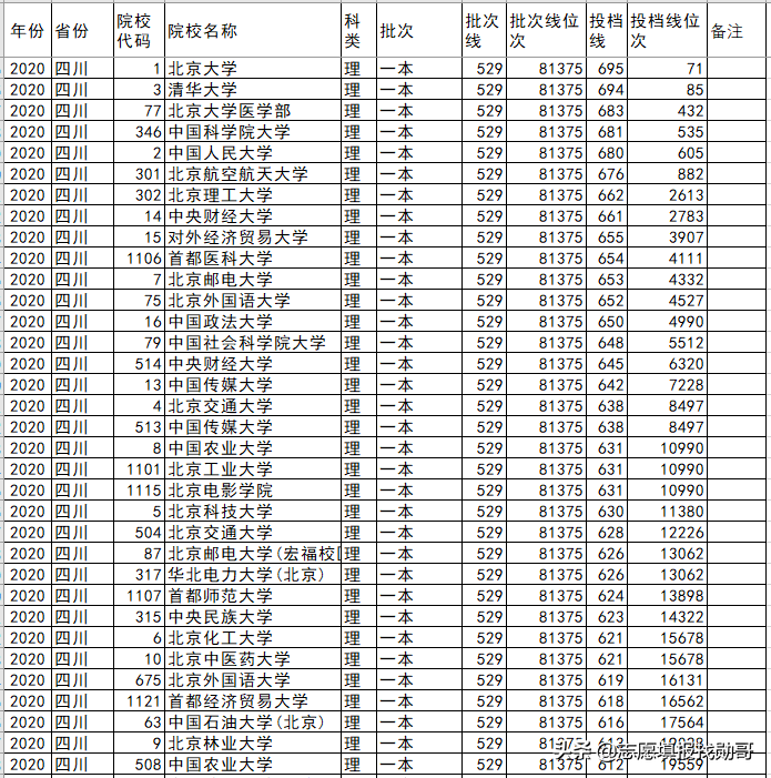
12、四川省2019-2020年北京市大学的录取数据
北京物资学院、北京语言大学、中华女子学院、北京印刷学院、北京工商大学等这些大学处于垫底位置。(里面有两个代码的大学,分数偏低的为中外合作大学)
13、贵州省2019-2020年北京市大学的录取数据
贵州省2019-2020年一本理科录取数据表明,北京农学院、北京物资学院、北京联合大学、北京印刷学院、北京信息科技大学,等大学在这两年的位置,基本垫底!
14、云南省2019-2020年北京市大学的录取数据
云南省2019-2020年一本理科录取数据表明,北京农学院、北京物资学院、北京联合大学、北京印刷学院、北京信息科技大学,等大学在这两年的位置,基本垫底!
15、陕西省2019-2020年北京市大学的录取数据
从陕西省的数据来看,北京印刷学院、北方工业大学、北京工商大学、北京信息科技大学和北体、北京建筑大学,往年的录取分数相对低一点。
16、青海省2019-2020年北京市大学的录取数据据
从甘肃省的数据来看,北京印刷学院、北京联合大学,北方工业大学、北京工商大学、北京信息科技大学和北体、北京建筑大学,往年的录取分数相对低一点。
17、青海省2019-2020年北京市大学的录取数据
从甘肃省的数据来看,北京印刷学院、北方工业大学、北京工商大学、北京信息科技大学和北京建筑大学,往年的录取分数相对低一点。
18、宁夏2019-2020年北京市大学的录取数据
从甘肃省的数据来看,北京印刷学院、北京物资学院、北方工业大学、北京工商大学、北京信息科技大学和北京建筑大学,往年的录取分数相对低一点。
19、新疆2019-2020年北京市大学的录取数据
从甘肃省的数据来看,北京印刷学院、北京联合大学,北方工业大学、北京工商大学、北京信息科技大学和北体、北京建筑大学,往年的录取分数相对低一点。
版权声明:我们致力于保护作者版权,注重分享,被刊用文章【2017年北京联合大学录取分数线(北京高校各省录取分盘点)】因无法核实真实出处,未能及时与作者取得联系,或有版权异议的,请联系管理员,我们会立即处理! 部分文章是来自自研大数据AI进行生成,内容摘自(百度百科,百度知道,头条百科,中国民法典,刑法,牛津词典,新华词典,汉语词典,国家院校,科普平台)等数据,内容仅供学习参考,不准确地方联系删除处理!;
工作时间:8:00-18:00
客服电话
电子邮件
beimuxi@protonmail.com
扫码二维码
获取最新动态
