高考完放松一下
看暨南大学的师兄师姐
怎么跳舞迎接你
刚刚结束高考的你
即将迎来又一次考验
选择心仪的大学和专业
也要提早做好准备
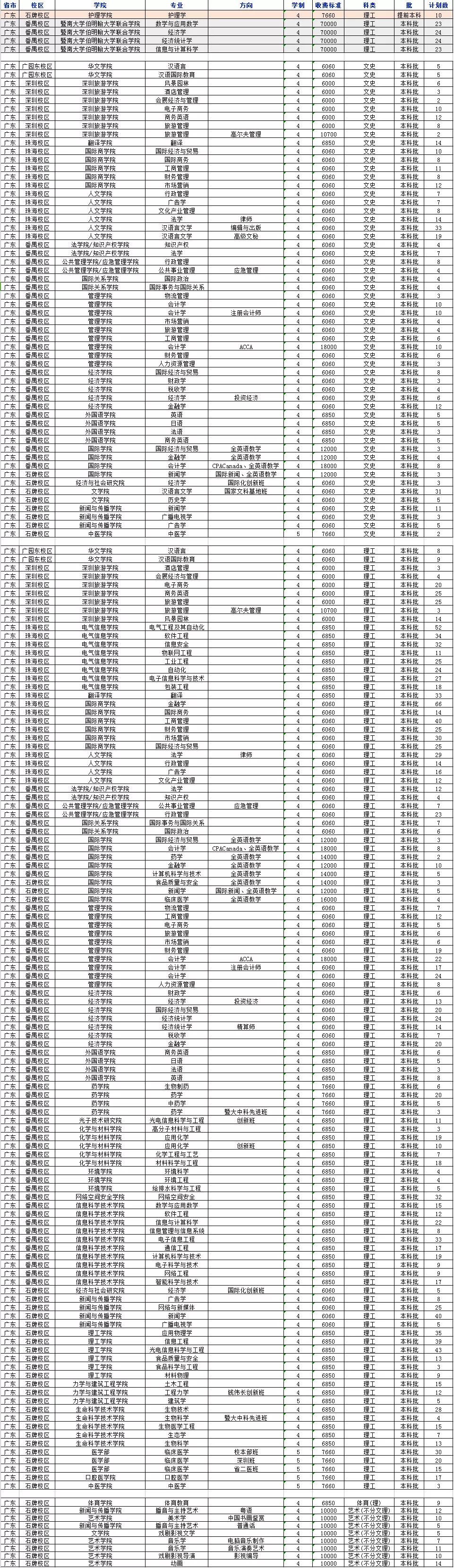
2018年暨南大学分省分专业招生计划已经发布!快来看看吧!
你知道吗?
暨南大学是中国第一所由政府创办的华侨学府
是国务院侨办、教育部、广东省
共建的“211工程”重点综合性大学
2015年6月,学校入选广东省高水平大学重点建设高校
2017年9月,学校入选国家“双一流”建设高校
共有8个学科进入ESI世界排名前1%
入选全国首批深化创新创业教育改革示范高校
毕业生深受海内外用人单位好评,就业率一直位居同类院校前列
(点击可查看大图)
特别提醒:
1. 我校在各省招生计划以各省招考部门最终公布的数据为准。
2. 艺术类专业计划显示“0”,表示计划不分省,详见艺术类招生简章。
3.护理学专业本科在读期间不得转专业。
4.各专业学费以广东省物价局最后批复同意为准。
5.暨南大学伯明翰大学联合学院在各省以独立代码或单独批次招生,详见联合学院招生简章。
(点击可查看大图)
北 京
天 津
河 北
山 西
内 蒙 古
辽 宁
吉 林
黑 龙 江
上 海
江 苏
浙 江
安 徽
福 建
江 西
山 东
河 南
湖 北
湖 南
广 西
海 南
重 庆
四 川
贵 州
云 南
陕 西
甘 肃
青 海
宁 夏
新 疆
广 东
据了解,今年暨南大学招生政策有微调
暨南大学2018年新增招生指标240人
今年暨大新增招生指标240人,广东理科排位在2万名左右的考生可大胆填报。
今年,暨大在内地招生计划为4780人,在广东、安徽、山东、湖北、浙江等生源大省都有新增指标,在粤招生人数预计超过2300人,增加人数大于50人。
暨大今年新增智能科学与技术专业,计划在国内招生30人。除新增专业外,今年暨大新增的招生指标主要集中在理工科尤其是“新工科”专业。
据介绍,暨大在广东的理科投档最低排位近1.5万位,由于今年全省及该校的理科专业均扩招,故排位在2万名左右的考生可大胆填报暨大;暨大在广东的文科投档最低排位在5000位左右,故5000位至6000位的考生可考虑填报暨大。
去年,学校启动暨南大学伯明翰大学联合学院招生的4个专业招生,毕业生可获暨大和伯明翰大学两校学位。今年该学院招生指标和省份继续扩大,招生指标从原来的120人增加到今年的210人,除原来招生的省份(广东、湖南、江西、四川、重庆、河北)外,计划新增加安徽、河南、山东、内蒙古几省份招生。
贴心的招办还为大家整理了上一年各省高考录取分数统计表
或许对将要填报志愿的你有所帮助
(点击可查看大图)
除了以上各种福利,小编还从招办处打探到关于招生咨询日的最新消息
暨南大学2018年招生咨询日
时间:6月24日
地点:暨南大学石牌校区图书馆
再过一两周就到了放榜和填报志愿的时候了,这关乎自己未来的路。
送给大家一句老话:
兴趣是最好的老师
希望9月,能对你说一声:
同学你好,
欢迎来到暨南大学!
点击“扩展链接”
查看暨南大学历年录取分数情况
来源 | 暨南大学招生办公室
图 | 慕雪城主 部分来自网络
视频 | 光明网
编辑&责编 | 杜明灿
头条编辑|吕楚悦
暨南大学在等你哦
版权声明:我们致力于保护作者版权,注重分享,被刊用文章【暨南大学2017提前批录取分数线(权威发布)】因无法核实真实出处,未能及时与作者取得联系,或有版权异议的,请联系管理员,我们会立即处理! 部分文章是来自自研大数据AI进行生成,内容摘自(百度百科,百度知道,头条百科,中国民法典,刑法,牛津词典,新华词典,汉语词典,国家院校,科普平台)等数据,内容仅供学习参考,不准确地方联系删除处理!;
工作时间:8:00-18:00
客服电话
电子邮件
beimuxi@protonmail.com
扫码二维码
获取最新动态
