可以看到这个高考题,从第一小题开始就是难度系数偏大的一道题目。
要分析导数的零点问题,所以必须创建一个新的函数来进行分析,结合三角函数的特殊值,另外对于零点概念必须非常熟练,利用一正一负标准进行分析判断。
第二小题,在构建双重求导的过程中,难度系数就显得更高,要懂得与第一小题分析过程相互结合。
而且在分析第二小题中出现了未知的极值点的分析过程,是在整一道题非常困难的一个地方。
对于不等式的比较,要学会分步讨论。
这样的一条高考题目,它的综合性就非常强,如何解答好?
1、导数的基础概念必须熟练,
2、零点知识点必须掌握到位,
3、三角函数的特征方向,
4、分布讨论,
5、知识点的综合考虑。
第一小步考查内容其实比较简单,就是切线方程的基础领域,是一个送分的手段,所以拿下第一小步的话应该就是问题不大。
关于这道题的第二小步。它结合许多的知识点分析才能解答,需要掌握,1、构建新函数,2、借助二次函数特征,3、零点基础定义,4、导数分析函数增减,5、不等式相应数据特征。每一个步骤都需要熟悉的掌握。构建一个新的函数,借助题意的关键引入,分步讨论,借助的关键数据特征,利用二次函数特征性去分析导数的正负反馈函数相应的增减性,再运用零点的特征分析相应的根。接下去还需要懂不等式内容,然后再由导数的反馈了函数的增减过程。像这样的一道高考题,它的综合性技巧是一道非常具有代表性的题型。但想完成好这样的一道高考题,就需要对于我们整个函数性质,个导数分析过程中是极度熟悉,对数据特征也要有相关性的了解。所以在解答导数大题的过程中,最需要同学们掌握的就是把每一种函数特征性,数据特征性。
这道高考题,第一小题主要考察对象是单调性的分析和零点过程,所以主要掌握学会运用导数去分析函数相应的单调性,还有这个零点概念的掌握,即一正一副作为标准去判断零点。
第二小题的过程中,考察对象主要是切线方程的运算。分析过程中运算量非常大,尤其要掌握好特殊的等式关系,才能够将整道题目完成。
像这样的高考题,主要的价值就在于单调性的分析,零点概念,还有切线内容里面,可以详细的去体会,关于单调性分析是非常有参考价值的内容。
这道高考题主要考察函数单调性的分析过程,利用导数分析函数的增减性的问题,还考察了关于零点相应的概念。
这道高考题,详细体会一下题里面分步讨论的解答方式,这类题型是导数大题里面非常重要的解答步骤,而第2小步利用第1小步里面的结论作为出发点分析相应的零点问题,提供了极限模式作为一种零点分析过程,大家可以体会下。
这道题目是关于分步讨论价值极高的一道题目。
这一道高考题,考察对象是函数单调性的分析,还有关于零点概念的掌握,分析相应的参数的不等式。
第一小题的分析过程,主要利用分步讨论分析原函数的单调性,利用函数的单调性讨论函数相应的零点问题,也就是关于一正一负的模式。
里面有个非常困难的模型就赋值模型,一般在在高考题里面是比较难想到的,另外提供极限模型,
对零点讨论过程中,能够运用适当的方法进行思考。
最后的话还需构建新的函数去分析参数相应的范围。
这道高考题,第一小题主要考查对象是关于切线方程的内容,第二小题是关于函数最值的分析与零点的相关内容,难度系数在第二小题里,放大了很多倍。
第二小题里一定要掌握分步讨论的思路,借助函数的自身性质进行问题的讨论,还要利用导数来进行函数单调性分析,再运用函数单调性对零点来进行讨论,最后总结所有零点。
另外提供了分离参数法,建构新函数进行讨论,是解决第二小题的另外的一种方法,在解决这类大题上是比较有效的。
所以的话,对于一道高考题,我们在解答的过程中要注意方法多样性的考虑。
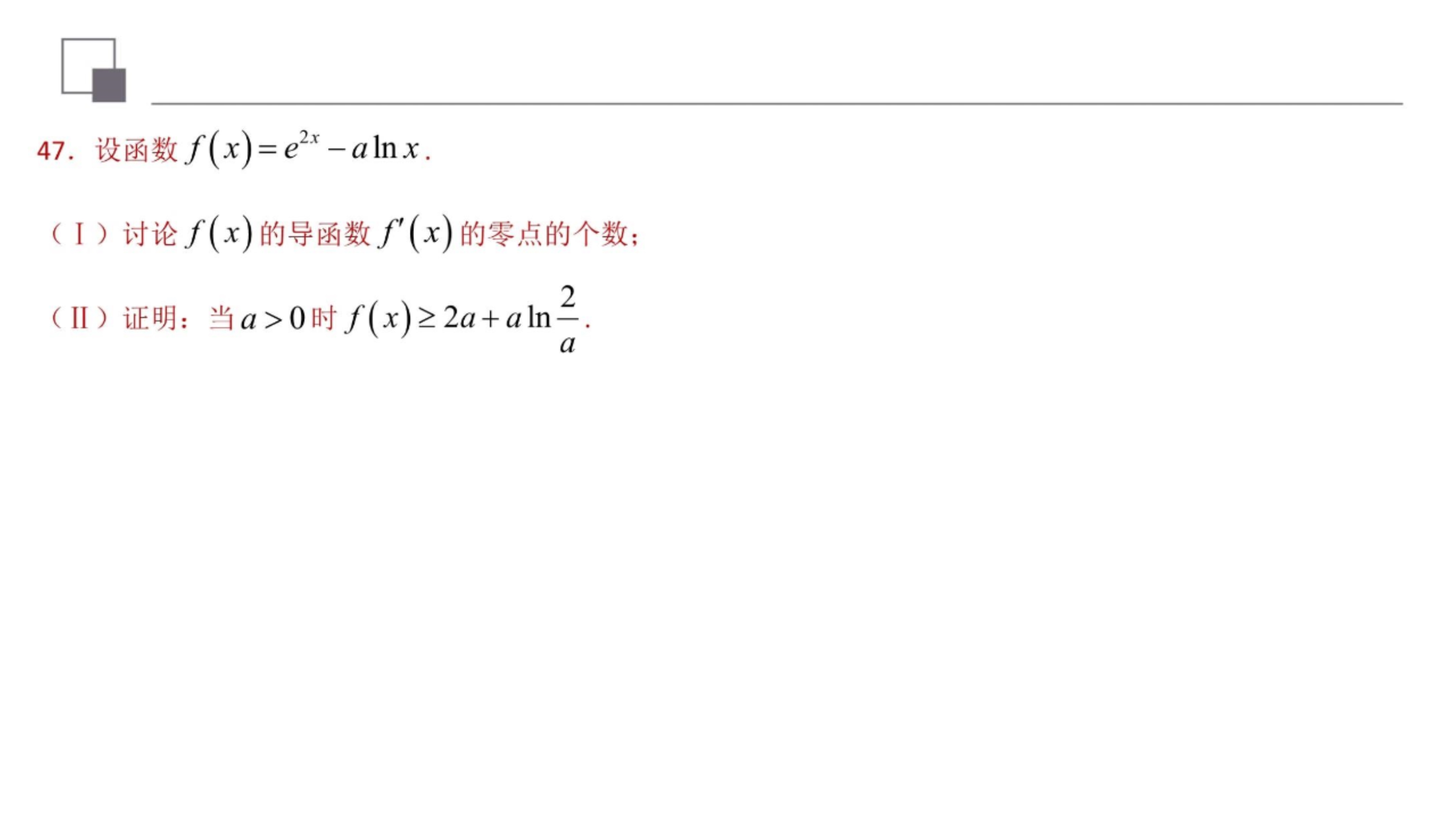
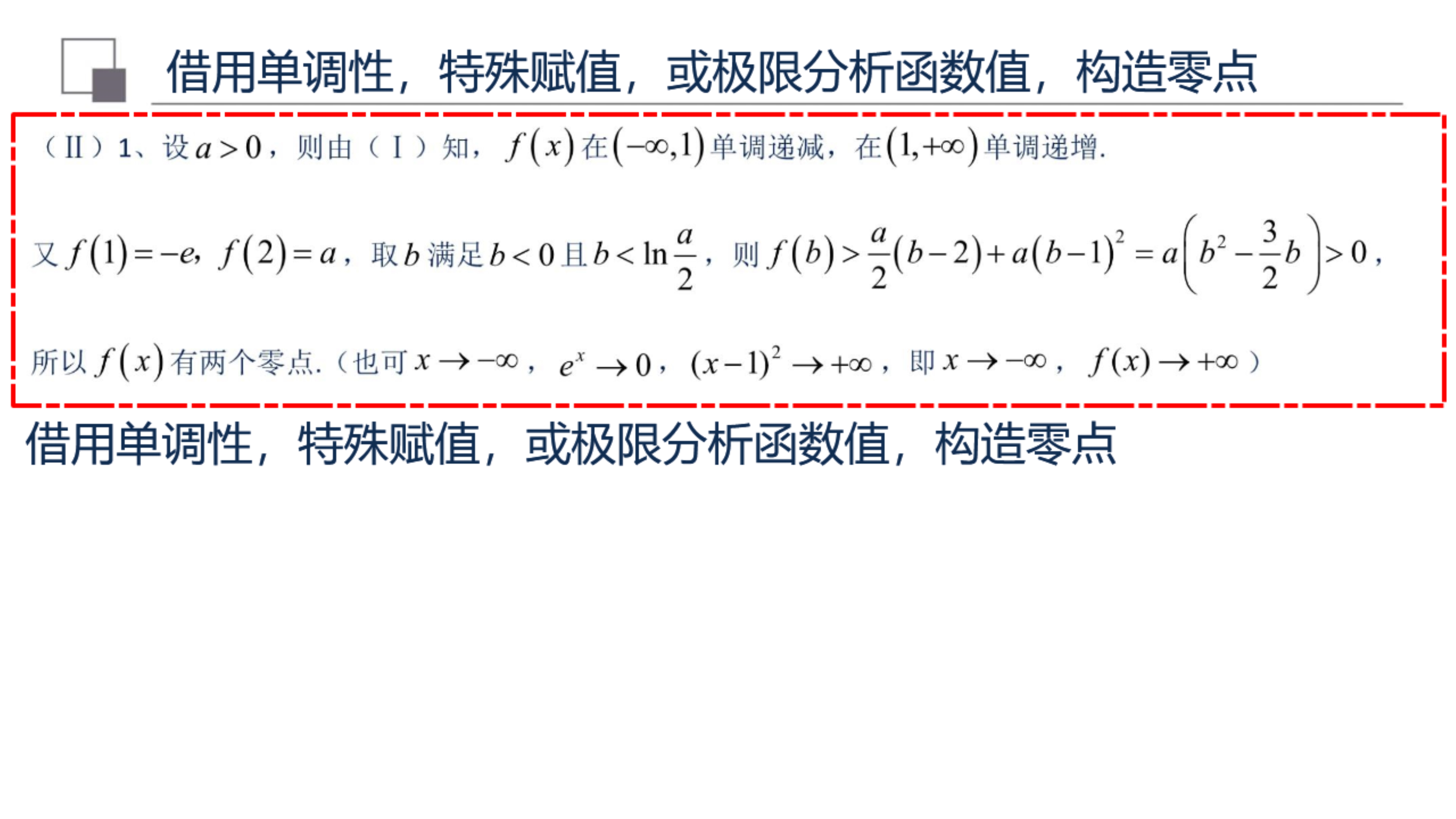
这道高考题,第一小题主要考查对象是导数零点讨论内容,第二小题是关于不等式证明的相关内容。
第一小题中有两种解法,一种利用函数自身的特征关系,借助赋值法去讨论零点,另外一种利用分离参数法,创建新函数,利用导数讨论函数的单调性与最值,转换相应的零点关系进行分析。
第二小题里创建未知极值点与利用基本不等式分析是该小步的难点对象,在掌握上要对函数导数的熟悉,还有不等式的关系处理要清晰。
这是一道不等式研究价值非常好的题目,在分析理解上很有意义。
这道高考题,第一小题主要考查零点存在对参数的要求关系,第二小题是关于双变量的不等式关系。
从第一小题开始,题目的难度系数就已经非常高,要求分步讨论,掌握利用导数分析函数的单调性,结合图象特征分析相应的零点问题;
第二小题作为双变量的主要知识点,是一道非常有参考价值的内容,共提供两种不同的解法,这样能更有效的学习该知识点的内容。
版权声明:我们致力于保护作者版权,注重分享,被刊用文章【高考导数题(硬核面对导数大题)】因无法核实真实出处,未能及时与作者取得联系,或有版权异议的,请联系管理员,我们会立即处理! 部分文章是来自自研大数据AI进行生成,内容摘自(百度百科,百度知道,头条百科,中国民法典,刑法,牛津词典,新华词典,汉语词典,国家院校,科普平台)等数据,内容仅供学习参考,不准确地方联系删除处理!;
工作时间:8:00-18:00
客服电话
电子邮件
beimuxi@protonmail.com
扫码二维码
获取最新动态
