高等数学在很多人眼里是座难以逾越的大山,除了原理的理解比较困难外,很多的公式也是难以记住,本文总结梳理了很多常用的公式,方便大家查阅,请关注我并收藏该帖用到的时候来查一下,用上十来次,自己就记住了,熟能生巧嘛!
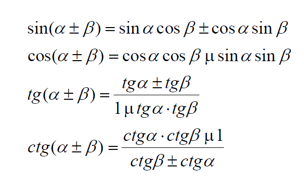
这些是初等函数里特别难记的几个
第一个用洛必达法则推导而出
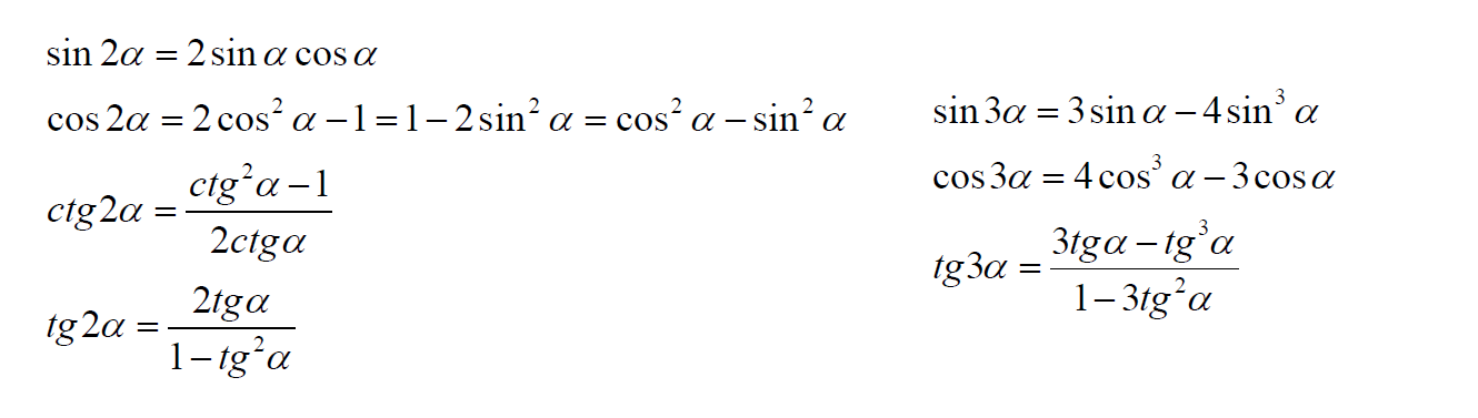
这些也是导数公式里比较难以记住的
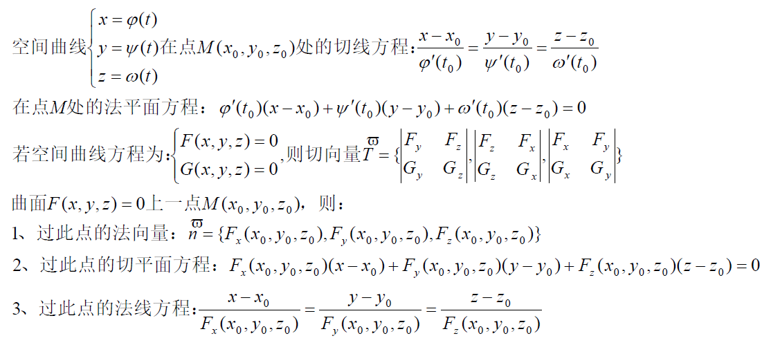
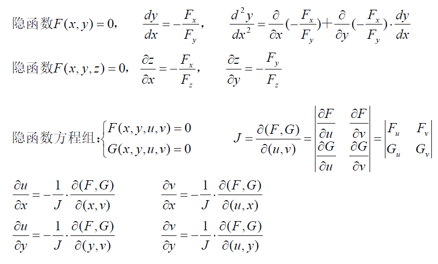
第二类曲线积分(对坐标的曲线积分)
平面上曲线积分与路径无关的条件
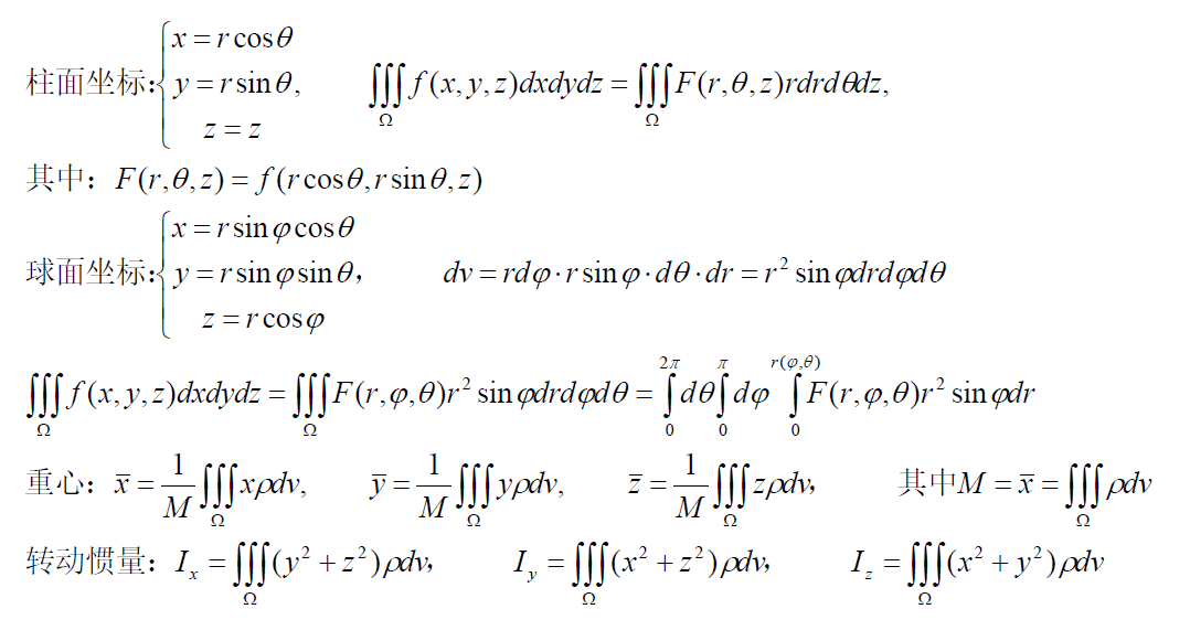
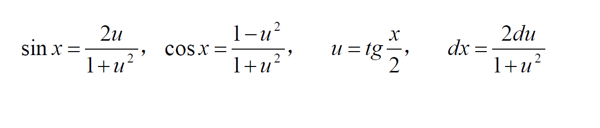
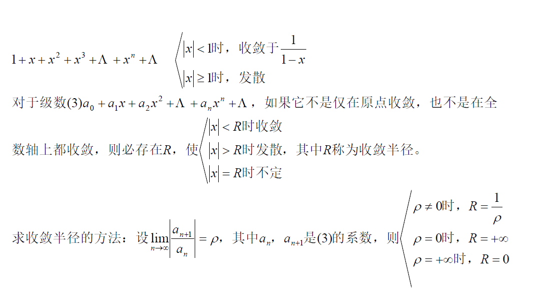
这公式考试的时候搞死了多少人呀
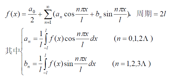
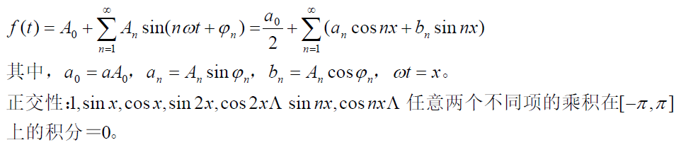
这是理解傅里叶变换的关键-正交性
求解步骤:
以上就是全部内容,希望能有所帮助!
版权声明:我们致力于保护作者版权,注重分享,被刊用文章【成人高考高数二公式(高等数学公式记不住那是因为你不经常用)】因无法核实真实出处,未能及时与作者取得联系,或有版权异议的,请联系管理员,我们会立即处理! 部分文章是来自自研大数据AI进行生成,内容摘自(百度百科,百度知道,头条百科,中国民法典,刑法,牛津词典,新华词典,汉语词典,国家院校,科普平台)等数据,内容仅供学习参考,不准确地方联系删除处理!;
工作时间:8:00-18:00
客服电话
电子邮件
beimuxi@protonmail.com
扫码二维码
获取最新动态
