本文中题目既是2017年高考全国1卷理科数学第20题的同类型试题,也是前文《对圆锥曲线上某一点处张角所对弦过定点问题的探究——以2015-2021年高考圆锥曲线压轴题为例》中定理2.1的应用.
2017年高考全国1卷理科数学 从两个不同视角解析第20题第(2)问
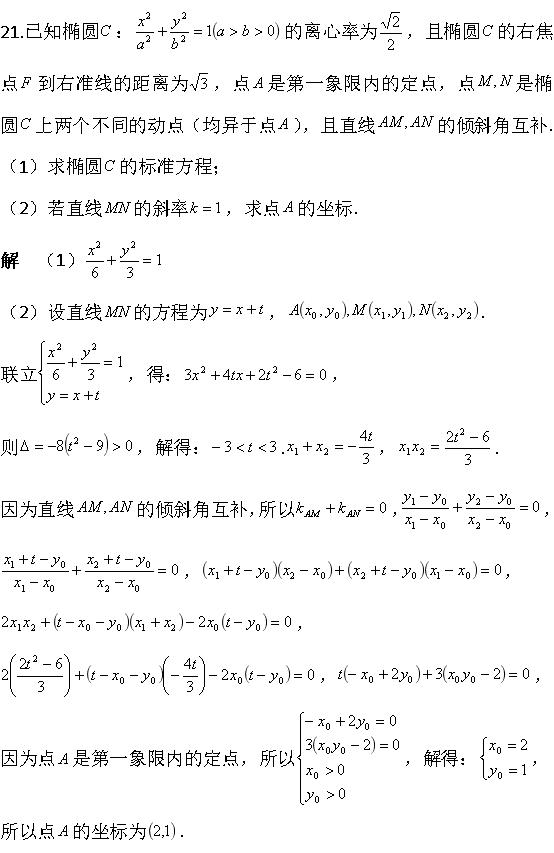
苏锡常镇2022届高三一模数学试卷第21题
版权声明:我们致力于保护作者版权,注重分享,被刊用文章【2017高考全国卷一难吗(苏锡常镇22届高三一模数学第21题与17年高考全国1卷理科第20题)】因无法核实真实出处,未能及时与作者取得联系,或有版权异议的,请联系管理员,我们会立即处理! 部分文章是来自自研大数据AI进行生成,内容摘自(百度百科,百度知道,头条百科,中国民法典,刑法,牛津词典,新华词典,汉语词典,国家院校,科普平台)等数据,内容仅供学习参考,不准确地方联系删除处理!;
工作时间:8:00-18:00
客服电话
电子邮件
beimuxi@protonmail.com
扫码二维码
获取最新动态
