刚刚,河北省举行新闻发布会,公布高考改革实施方案!作为全国第三批进入高考综合改革的8个省市之一,河北省从2018年秋季入学的高中一年级学生开始实施高考综合改革。具体怎么考,怎么录取,快来一起看看吧↓↓↓
河北省高考综合改革从2018年秋季入学的高一年级学生开始实施,实行基于统一高考和普通高中学业水平考试成绩、参考综合素质评价的多元录取机制;积极推进高等职业院校考试招生改革。到2021年,在河北省初步建立分类考试、综合评价、多元录取的普通高校考试招生制度。
招录新机制“两依据、一参考”
从2021年开始,河北省普通高校统一考试招生录取将建立基于统一高考和普通高中学业水平考试成绩、参考综合素质评价的招生录取新机制,简称“两依据、一参考”。
考生总成绩满分为750分。
“3+1+2”模式
考生总成绩由全国统一高考的语文、数学、外语3个科目成绩和考生选择的3科普通高中学业水平选择性考试科目成绩组成,满分为750分。即通常所说的“3+1+2”模式。
“3”
其中,统一高考的语文、数学、外语3门科目,每科满分均为150分,总分450分,各科均以原始成绩计入考生总成绩。
“1”
在普通高中学业水平选择性考试中,考生在物理或历史中所选择的1门科目,满分为100分,以原始成绩计入考生总成绩;
“2”
在思想政治、地理、化学、生物学4门科目中选择的2门科目,每科满分均为100分,以等级赋分成绩计入考生总成绩。
全国统一试卷,不分文理科
统一高考科目为语文、数学、外语,使用全国统一试卷,每门满分150分,共计450分,不分文理科,成绩当年有效。外语语种分为英语、日语、俄语、德语、西班牙语、法语。
考试安排
语文、数学、外语考试于每年6月份按照国家统一安排进行。外语科目考试由听力和笔试两部分组成。条件成熟时,外语提供两次考试机会。
全省统一考试
普通高中学业水平考试主要衡量学生达到国家规定学习要求的程度,根据国家普通高中课程标准和教育考试规定,实行全省统一命题、统一考试、统一阅卷,考试成绩是学生毕业和升学的重要依据。
分为合格性考试和选择性考试
从2018年秋季高一年级学生开始,学业水平考试分为合格性考试和选择性考试。
合格性考试覆盖所有科目
合格性考试成绩是学生毕业、高中同等学力认定的主要依据。普通高中在校学生均须参加合格性考试,中等职业学校学生和社会人员也可报名参加合格性考试。
合格考覆盖国家课程方案规定的所有科目,包括语文、数学、外语、思想政治、历史、地理、物理、化学、生物学、信息技术、通用技术、音乐、美术、体育与健康等14个科目。
合格考内容范围为普通高中学科课程标准规定的必修内容。
合格考每年组织2次,分别安排在5月和12月。普通高中在校生、中等职业学校在校生首次参加考试不得早于高一下学期末,高一年级考试科目原则上不多于4门,高三上学期结束前需完成全部合格考。社会人员可自主安排合格考科目。普通高中在校学生应在相应科目合格性考试成绩合格的基础上报考选择性考试科目。
参加统一普通高考的考生均应参加选考科目的选择性考试。
选择性考试科目包括思想政治、历史、地理、物理、化学、生物学等6个科目,学生根据高等学校相关专业对选考科目的要求和自身的兴趣特长,从以上6个科目中选择3个参加选择性考试,成绩计入考生总成绩。
其中,应在历史和物理中选择1科,在思想政治、地理、化学、生物学中选择2科。
选择考科目理论上有12种组合,具体组合如下:
考生如何确定选择考科目
科学合理确定选考科目主要是要结合自身兴趣特长和优势、高校招生专业选考科目要求和普通高中办学条件进行选择。
第一,考生可根据个人志向、兴趣爱好、自身优势等因素,按照对各科的喜好程度进行选择。
第二,考生要结合报考院校相关专业选考科目要求进行选择。
第三,考生可根据所在高中的办学条件、特色优势等进行选择。
选择考科目由学生在合格考结束后选择,在高考报名时最终确定。高考报名前都可以更换所选择的科目,但在实际操作时,建议慎重考虑。
选择考由省统一命题、统一考试、统一组织阅卷、统一公布成绩。
选择考从2021年开始实施,每年组织1次,时间安排在当年6月份全国统一高考同期进行。普通高中在校生只能在高三年级参加选择考。
选择考每科考试时长均为90分钟,每科卷面满分为100分,考试成绩当年有效。
选择考科目中物理或历史以原始分呈现,并计入考生总成绩。
思想政治、地理、化学、生物学等其余4科成绩按照等级赋分办法以转换分的形式呈现,并计入考生总成绩。
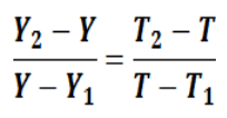
等级赋分的规则
思想政治、地理、化学、生物学4门科目每科原始成绩为100分,转换后赋分成绩满分为100分,赋分起点为30分。
转换时将各科目考生原始成绩从高到低划分为A、B、C、D、E共5个等级,各等级人数所占比例分别约为15%、35%、35%、13%和2%。各科目成绩计入考生总成绩时,将A至E等级内的考生原始成绩,按照事先确定的比例,依照转换公式,分别转换到100~86、85~71、70~56、55~41、40~30五个分数区间,得到考生的赋分成绩。转换基数为实际参加该科目选择考的人数(不含缺考及因违纪作弊已被取消该科成绩的人数)。
等级转换的具体公式:
其中:
Y1、Y2分别表示原始分区间的下限和上限;
T1、T2分别表示转换分区间的下限和上限;
Y表示原始分;
T表示转换分。
考虑到高考分数都以整数呈现,故上述公式的计算结果需要进行“四舍五入”处理。
举例说明,假设某同学思想政治学科原始分为75分,该学科B等级的原始分分布区间为82~61,则该同学思想政治学科的原始成绩属B等级。而B等级的转换分区间为85~71,那么该同学思想政治学科的转换分为:
解得, T≈80.33;
四舍五入后该同学思想政治学科赋分成绩为80(图2)。
转换示意图
评价这5方面
综合素质评价内容分为思想品德、学业水平、身心健康、艺术素养、社会实践(含劳动实践)五个方面,主要考察学生爱国情怀、遵纪守法、创新思维、体质达标、审美能力、劳动实践等。
高校招生录取的重要参考
综合素质档案材料的应用,一是由高中学校用于学生教育。高中学校利用综合素质档案材料,分析把握学生成长过程,全面优化课程建设,引导学生发现自我、做好自我成长规划, 促进学生全面而有个性的成长。
二是作为高校招生录取的重要参考。高校按照教育部规定,制定综合素质档案材料的具体使用办法,把评价结果作为招生录取的重要参考。
高校需设置选考科目要求
高校招生专业选考科目要求。自2021年起,在河北省招生的普通高等学校要根据专业人才培养对学生学科专业基础的需要,科学合理设置选考科目要求。考生选考科目符合高校相应招生专业(类)选考科目要求的,方可报考该专业(类);没有确定选考科目要求的招生专业(类),考生在报考时无选考科目限制。高等学校招生专业(类)的选考科目要求应提前向社会公布。
招生计划按照物理科目组合和历史科目组合两类分别编制
普通高校将严格按照之前公布的本校拟招生专业的选考科目要求,并根据人才培养要求,按照物理科目组合和历史科目组合两类分本、专科来分别编制招生计划,对选考科目的要求将明确到每一个招生专业中。如果某一专业既可以按物理科目组合招生,也可以按历史科目组合招生,那么也需分开编制招生计划。
合并本科一批、本科二批录取批次
录取批次和录取办法。逐步合并本科一批、本科二批录取批次,自2020年起,普通高等学校招生录取分为本科、高职(专科)两个批次。增加本科批次考生填报志愿数量和征集志愿次数,最大限度满足考生志愿填报的需求。
志愿由“专业(类)+学校”组成
自2021年起,在普通高等学校招生录取中,按物理科目组合和历史科目组合分列招生计划、分别划定最低录取控制分数线。考生志愿由“专业(类)+学校”组成,实行平行志愿投档,增加高等学校和学生双向选择的机会。
具体志愿填报和录取办法由省招生委员会另行制定,于2020年10月底前向社会公布。
推进高职分类考试招生改革
加快推进高等职业教育分类考试招生改革,突出职业教育人才培养规律,高职院校与普通高校考试招生相对分开,实行“文化素质+职业技能”的评价方式。
来源:河北日报
版权声明:我们致力于保护作者版权,注重分享,被刊用文章【河北高考政策(重磅新政)】因无法核实真实出处,未能及时与作者取得联系,或有版权异议的,请联系管理员,我们会立即处理! 部分文章是来自自研大数据AI进行生成,内容摘自(百度百科,百度知道,头条百科,中国民法典,刑法,牛津词典,新华词典,汉语词典,国家院校,科普平台)等数据,内容仅供学习参考,不准确地方联系删除处理!;
工作时间:8:00-18:00
客服电话
电子邮件
beimuxi@protonmail.com
扫码二维码
获取最新动态
