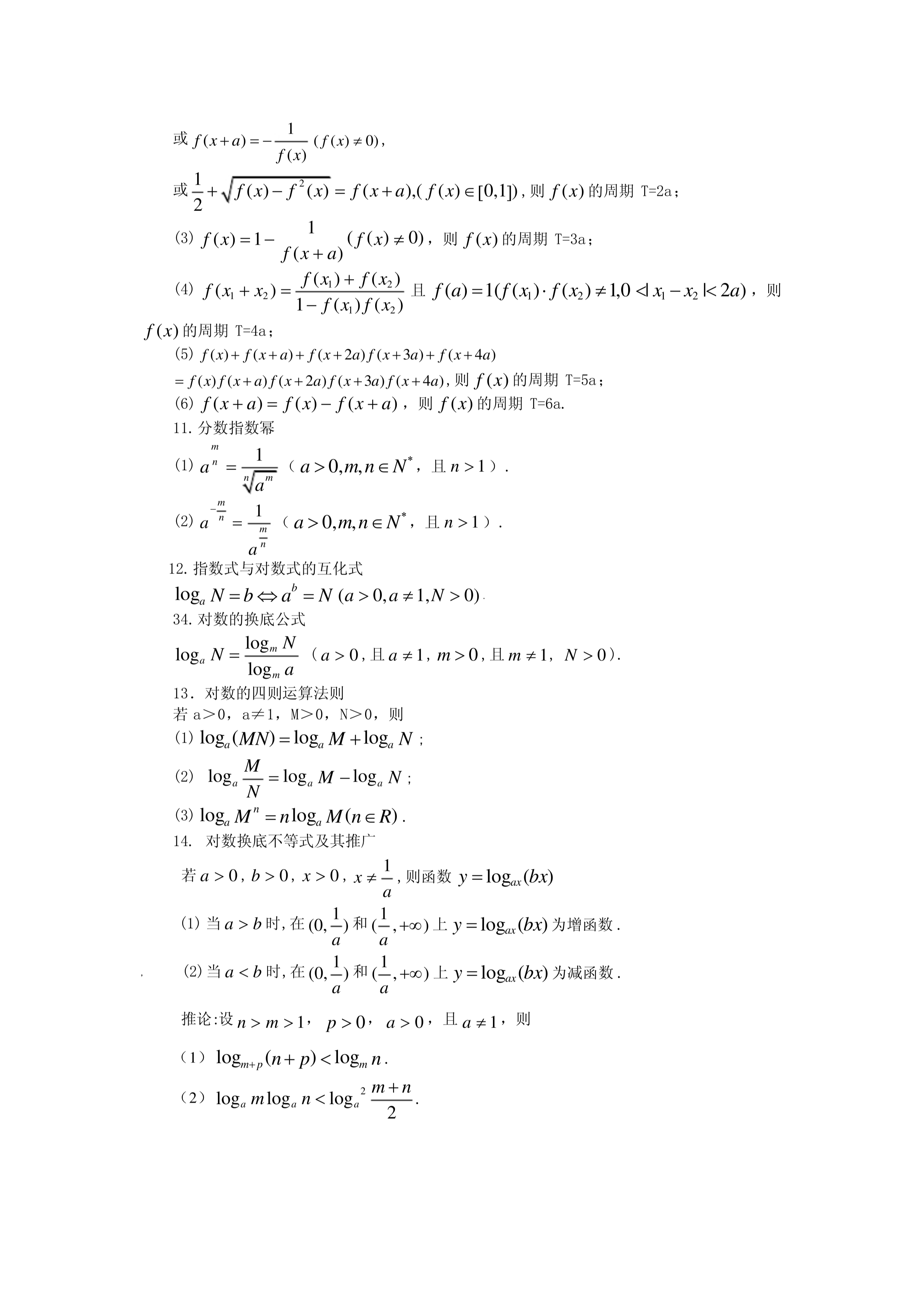
很多同学在高三还没结束的时候,差不多已经知道自己的选择了,对于那些选择高职单招的考生,麦麦给你们提早做了些准备。把高职单招中数学部分经常用到的40个知识点进行了总结。#高职单招#
注意:本文仅限准备报考高职类的高中生,标准不一样,准备就读普通本科的同学请忽略本文的知识点难度,因为都是比较基础的知识点。——需要高清PDF版本的同学请留言或私信。
共5页,40个知识点。最后三个:方差,标准差,方差的性质直接参考课本即可。
-end-
注:内容综合自网络,仅供学习分享。如有侵权请联系删除!
版权声明:我们致力于保护作者版权,注重分享,被刊用文章【高职高考数学(高职)】因无法核实真实出处,未能及时与作者取得联系,或有版权异议的,请联系管理员,我们会立即处理! 部分文章是来自自研大数据AI进行生成,内容摘自(百度百科,百度知道,头条百科,中国民法典,刑法,牛津词典,新华词典,汉语词典,国家院校,科普平台)等数据,内容仅供学习参考,不准确地方联系删除处理!;
工作时间:8:00-18:00
客服电话
电子邮件
beimuxi@protonmail.com
扫码二维码
获取最新动态
