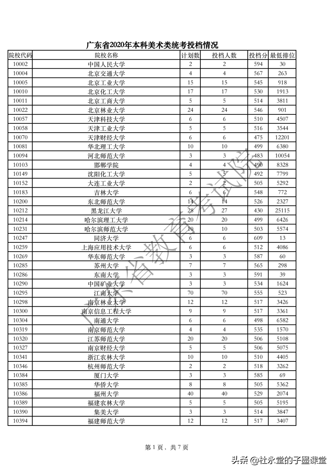
广东省2020年本科美术类统考投档情况
子墨高考1
子墨高考2
子墨高考3
子墨高考4
子墨高考5
子墨高考6
子墨高考7
广东省2020年本科音乐类统考投档情况
子墨高考8
子墨高考9
广东省2020年本科体育类投档情况
子墨高考10
子墨高考11
子墨高考12
广东省2020年本科广播电视编导类统考投档情况
子墨高考13
子墨高考14
广东省2020年本科舞蹈类统考投档情况
子墨高考15
子墨高考16
@杜永堂的子墨课堂子墨老师带你遨游大学海洋!关注子墨老师,了解更多信息……
子墨老师
需要了解更多,请持续关注子墨老师……
文章素材来自网络,如有侵权请联系子墨老师立刻删除。
关注子墨老师,关注高考!
(需要详细了解,大学和专业。请私信子墨老师,带你遨游大学的知识海洋)
各位孩子,做好志愿填报工作哦!
七分考,三分报!务必在今天下午六点前确定高考志愿填报……
到了大学,继续加油努力学习!NB属于你自己……
需要详细了解,请私信子墨老师。带你遨游国内各所大学……
版权声明:我们致力于保护作者版权,注重分享,被刊用文章【广东体育高考(2021广东高考本科线如何)】因无法核实真实出处,未能及时与作者取得联系,或有版权异议的,请联系管理员,我们会立即处理! 部分文章是来自自研大数据AI进行生成,内容摘自(百度百科,百度知道,头条百科,中国民法典,刑法,牛津词典,新华词典,汉语词典,国家院校,科普平台)等数据,内容仅供学习参考,不准确地方联系删除处理!;
工作时间:8:00-18:00
客服电话
电子邮件
beimuxi@protonmail.com
扫码二维码
获取最新动态
