2022年考研最新资讯!!哪些变化左右着你此刻对于未来的选择,今天我们来看下四川师范大学视觉传达考研攻略。
四川师范大学座落于四川省会成都市,创建于1946年,是四川省属重点大学、国家首批“中西部高校基础能力建设工程”实施高校及全国深化创新创业教育改革示范校,是四川省举办本科师范教育最早、师范类院校中办学历史最为悠久的大学。
【学校综合实力】★★★
四川师范大学135108艺术设计(专业学位)属于018美术学院书法学院。
130500设计学(学硕)属于023服装与设计艺术学院
四川师范大学服装与设计艺术学院成立于2003年,学院以艺工结合为主要特色,秉承“学生中心、教师主体”的办学理念;以艺术设计为中心、工程技术为支撑、时尚表演为延伸;以本科教育为主体,适度发展研究生教育,积极发展国际合作办学,为区域经济与时尚行业培养应用型、创新型人才。
学院设有服装与服饰设计、服装设计与工程、表演、产品设计、产品设计(中外合作办学)本科专业,承担艺术设计专业硕士培养工作。2015年1月获教育部批准,与意大利欧洲设计学院开办中外合作办学本科双文凭项目。学院拥有设计学一级学科硕士点和艺术设计领域专业硕士点。
学院下设有教育部批准产教融合项目两项:“服装设计模拟仿真实验室”“产品设计模拟仿真实验室”。还开设有服装与服饰文化研究所,蜀锦蜀绣研究所、设计师工作室、服装技师工作室、纤上艺术纤品设计工作室、唯恩珠宝工作室、非山工作室、影视剧制作中心等专项设计研究中心,有校外人才培养基地9个,集教学、科研、设计、展示于一体。
▲2021最新四川师范大学130500设计学专业目录
130500设计学初试科目:
①101思想政治理论
②201英语一
③648艺术设计概论
④848设计手绘
复试科目:
①创意设计
②设计效果图
同等学力加试:
①专业面试;
②造型基础;
参考书与初试参考书一致
美术学院·书法学院位于四川师范大学成龙校区,校园环境优美,学习氛围浓厚,2021年美术学、视觉传达设计两个专业获批国家级一流本科专业建设点。
学院研究生教育有美术学、学科教学•美术、艺术硕士(美术)、艺术硕士(艺术设计)4个专业领域,其中艺术硕士(艺术设计)专业下设环境设计、视觉传达设计、新媒体艺术设计3个方向。
135108艺术设计 (专业硕士)
▲2021最新四川师范大学艺术设计专硕专业目录
135108艺术设计初试科目:
① 101 思想政治理论
② 204 英语二
③ 336 艺术基础
④ 843速写
复试科目:
专业技法表现与创作
同等学力加试
① 专业面试
② 造型基础
【考研难度等级】★★★★
135108艺术设计专硕理论复习参考书目:
336 :艺术基础
《艺术学原理》王一川著,北京师范大学出版社,2015年版。
130500设计学理论复习参考书目:
648艺术设计概论:
《艺术设计概论》,李砚祖著,湖北美术出版社,2009年版。
复试参考书目《中国工艺美术史》田自秉著,商务印书馆出版社,2014年版。
考试时间:3小时
绘制材料工具使用考场提供的工具
四川师范大学视觉传达近年快题真题:
2015
男青年半身像素描写生
2016
场景默写——《农贸市场交易场面》
2017
场景默写——《斑马线上》
场景默写——《公交站台》
2018
场景默写——《地铁车厢内一角》
2019
生活场景默写——《排队取快递》
在考试中,对于场景速写的能力要求也是很基本的一项,在这几年各个学校大规模变题的情况下,场景速写也渐渐成为了重中之重。
如火车站、菜市场、地铁等人多热闹的场景。
在场景速写的作画过程中,不仅要考察考生对于人物动态比例的把握,同时还要兼顾平时生活素材的积累和灵活运用,场景的布局与空间关系也是一大难点。
2021年美术学院书法学院视觉传达艺术设计实际招生22人。初试最高分407分,最低分 347分。
▲2021美术学院书法学院视觉传达艺术设计录取名单
2021年服装与设计艺术学院(02)视觉创意设计实际招生2人。初试最高分372分,最低分 349分。
▲2021服装与设计艺术学院视觉创意设计录取名单
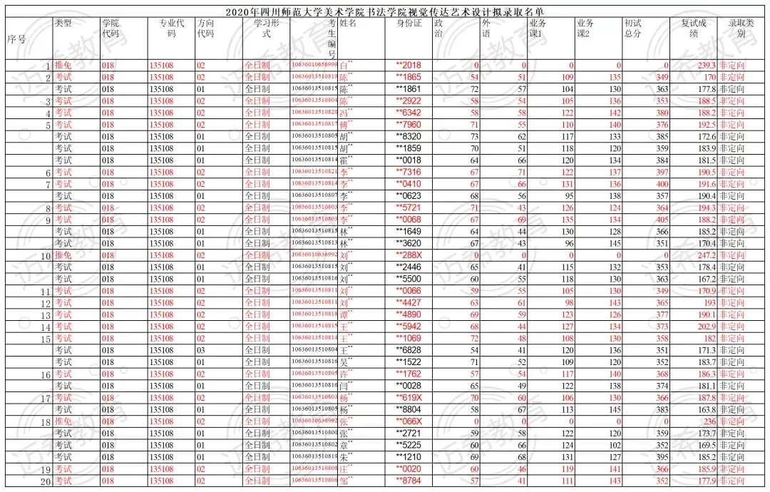
2020年美术学院书法学院视觉传达艺术设计实际招生20人。初试最高分405分,最低分 349分。
▲2020美术学院书法学院视觉传达艺术设计录取名单
2019年美术学院书法学院视觉传达艺术设计实际招生12人。初试录取最低分 375分。
版权声明:我们致力于保护作者版权,注重分享,被刊用文章【视觉传达设计考研学校推荐(2022考研指南)】因无法核实真实出处,未能及时与作者取得联系,或有版权异议的,请联系管理员,我们会立即处理! 部分文章是来自自研大数据AI进行生成,内容摘自(百度百科,百度知道,头条百科,中国民法典,刑法,牛津词典,新华词典,汉语词典,国家院校,科普平台)等数据,内容仅供学习参考,不准确地方联系删除处理!;
工作时间:8:00-18:00
客服电话
电子邮件
beimuxi@protonmail.com
扫码二维码
获取最新动态
