看到这些,
你想到什么?
三国杀
谈到高等数学
很多同学都绞尽脑汁
因而成为
大学那棵挂死许多人的“树”。
一到高数课提问环节
但是,有一天
高数与游戏结合
前些天,某高校毕业生做的一款纸牌游戏在朋友圈走红。此款纸牌游戏是乏味的大学高数与“三国杀”纸牌游戏完美结合。
向着高数宣战
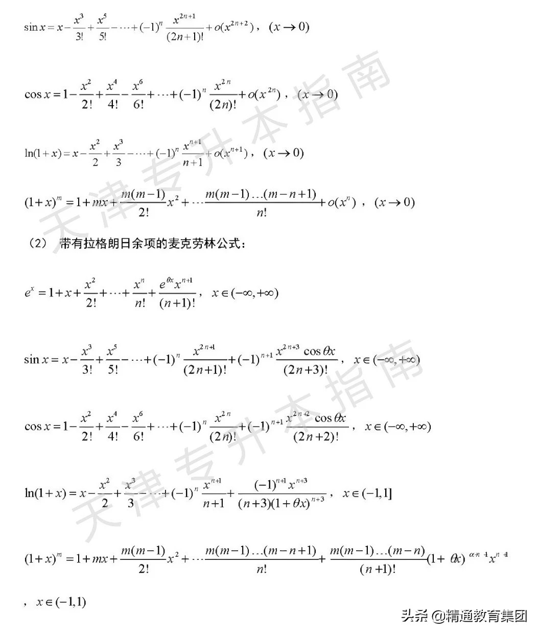
公式合集(一)
高数虐我千万遍
我待高数如初恋
版权声明:我们致力于保护作者版权,注重分享,被刊用文章【大学数学公式(专升本高等数学公式大合集)】因无法核实真实出处,未能及时与作者取得联系,或有版权异议的,请联系管理员,我们会立即处理! 部分文章是来自自研大数据AI进行生成,内容摘自(百度百科,百度知道,头条百科,中国民法典,刑法,牛津词典,新华词典,汉语词典,国家院校,科普平台)等数据,内容仅供学习参考,不准确地方联系删除处理!;
工作时间:8:00-18:00
客服电话
电子邮件
beimuxi@protonmail.com
扫码二维码
获取最新动态
