天津一中2022高三数学四月考:谈谈均值、分段函数
我最近会努力更新滴
五分钟写写
9题要认真画图
13题过于简单,一飞冲天出现过三四次,做做得了。
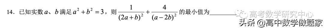
要说均值,河西区一模出的还是很唬人的。
4月更新内容:区模拟、市五所、重点学校

2022和平区一模数学答案与评分标准
2022和平区一模高三数学填空压轴题分析
天津市2022高三年级五校联考数学试卷
天津市2022滨海七校联考高三数学试卷+答案
南开中学统练19 填空压轴:平面向量
新华中学统练填空压轴:均值、平面向量很用心
南开中学2022届高三数学统练17导数分析
塘沽一中2022届高三年级四月线上统练
塘沽一中2022届高三年级四月线上统练解析
耀华中学统练数列分析:这个小东西过于单薄,我给你加个第三问
南开中学高三数学统练导数压轴分析:这个小东西就是纯消元
天津市河北区一模考试 填空压轴题解题思路
2022天津市河北区一模 高三数学试卷打印版
2022天津市河北区一模考试 高三数学答案与评分标准
新华中学高三统练0413选择压轴:小东西模仿2021天津卷
天津一中滨海学校高三数学4月线上考试打印下载版
天津一中周练导数分析:“存在x1,存在x2”的高级问法
天津一中2022高三数学周练:椭圆这个小东西真是个long story
芦台一中2022高三数学校模填空压轴思路:极化恒等式向量?NO!/二次均值/超几何分布
天津市十二校联考(的模拟一)2022高三数学导数压轴思路:隐零点+多元设t消元构造
天津市部分区2022高三数学一模考试填空压轴分析:均值、平面向量(基础题)
4月更新内容:下载专用
2022和平区一模语文试卷+数学试卷打印版全文下载
天津市2022滨海七校联考高三数学试卷+答案
2022天津市河北区一模 高三数学试卷打印版
天津一中滨海学校高三数学4月线上考试打印下载版
感谢关注,记得点赞与在看
版权声明:我们致力于保护作者版权,注重分享,被刊用文章【江苏省滨海中学2017高考(天津一中2022高三数学四月考)】因无法核实真实出处,未能及时与作者取得联系,或有版权异议的,请联系管理员,我们会立即处理! 部分文章是来自自研大数据AI进行生成,内容摘自(百度百科,百度知道,头条百科,中国民法典,刑法,牛津词典,新华词典,汉语词典,国家院校,科普平台)等数据,内容仅供学习参考,不准确地方联系删除处理!;
工作时间:8:00-18:00
客服电话
电子邮件
beimuxi@protonmail.com
扫码二维码
获取最新动态
