中国科学技术大学目前已有的特殊类型招生类型有:自主招生、自强计划、少年班创新试点班、少年班(上海市、浙江省)、浙江省“三位一体”综合评价等。
今天给各位同学整理了该校近三年(2016年,2018年,2019年)自主招生考试数学试题及参考答案。准备报考该校的同学,请好好收藏本文,研究下历年真题。——需要pdf高清试题的同学请留言或私信。
试题+答案一共9页。
填空题8题,每题5分,共40分。
解答题3题,每题20分,共60分。
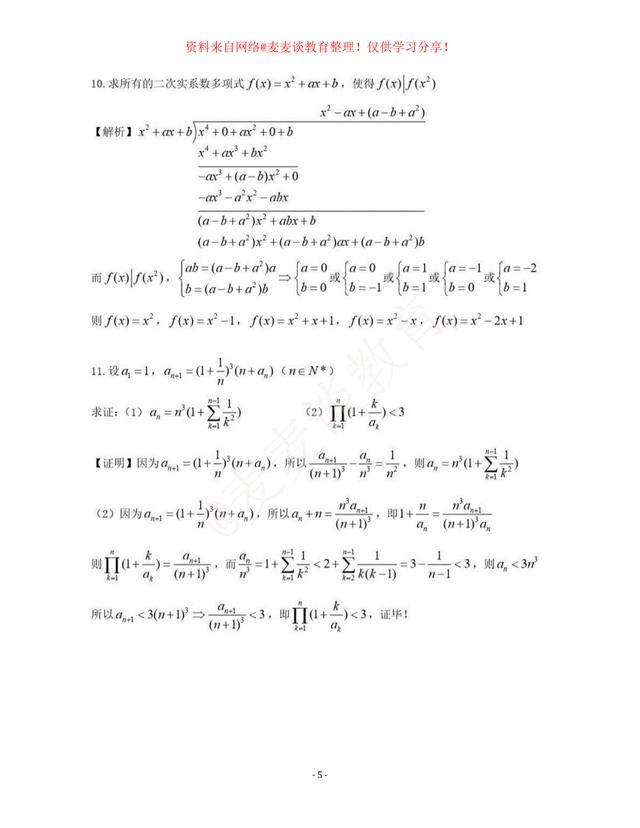
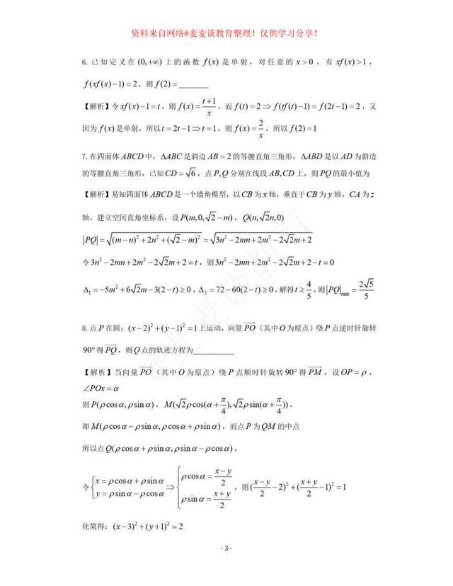
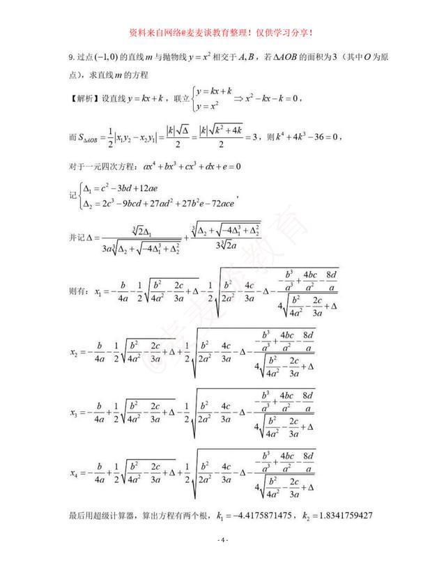
第一页是试题部分。第2-5页是精品解析部分。
共计4页。分值也是100分。每一题下面都有精品解析部分。
-end-
注:内容源自网络@麦麦谈教育整理,仅供学习分享。如有侵权,请联系删除!
版权声明:我们致力于保护作者版权,注重分享,被刊用文章【2017高考理科数学卷子(中国科学技术大学近三年自主招生考试数学试题)】因无法核实真实出处,未能及时与作者取得联系,或有版权异议的,请联系管理员,我们会立即处理! 部分文章是来自自研大数据AI进行生成,内容摘自(百度百科,百度知道,头条百科,中国民法典,刑法,牛津词典,新华词典,汉语词典,国家院校,科普平台)等数据,内容仅供学习参考,不准确地方联系删除处理!;
工作时间:8:00-18:00
客服电话
电子邮件
beimuxi@protonmail.com
扫码二维码
获取最新动态
