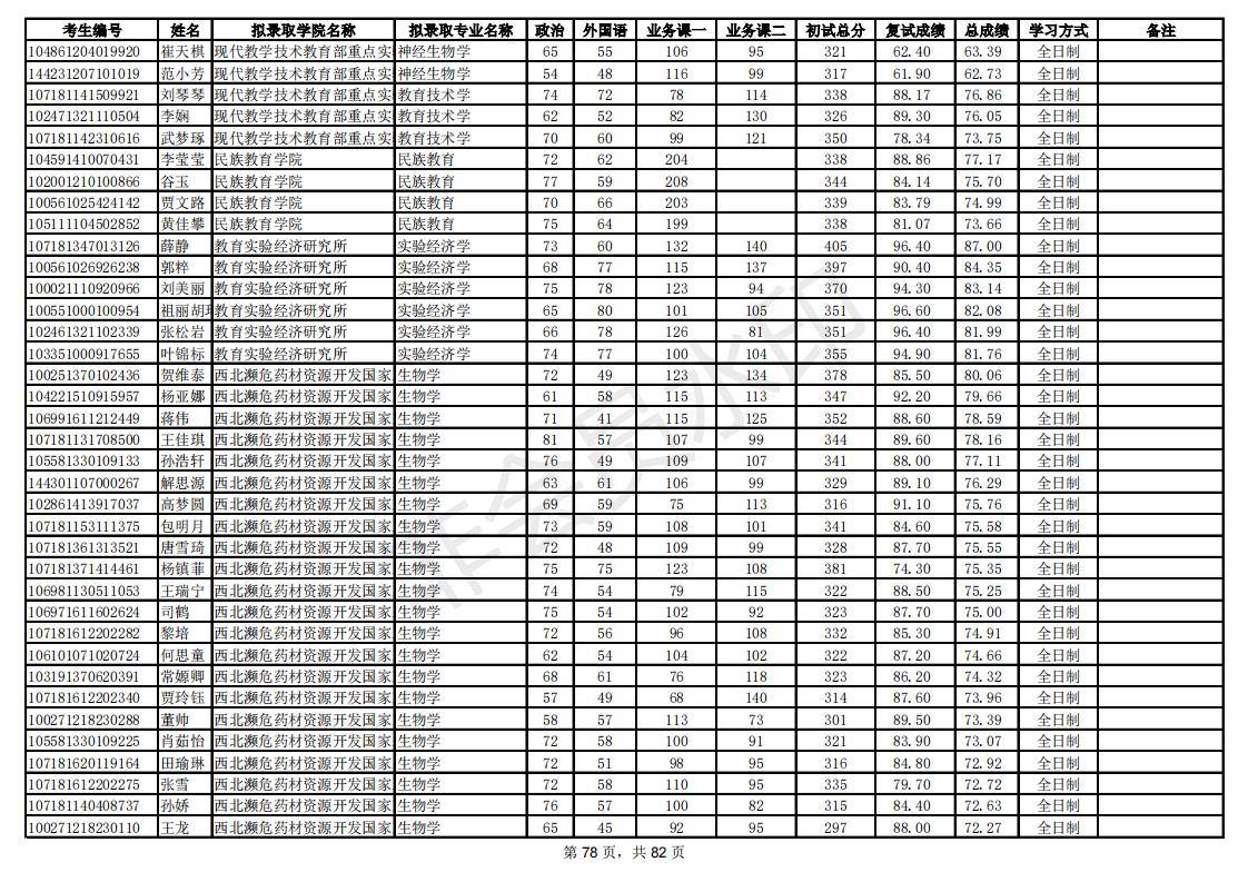
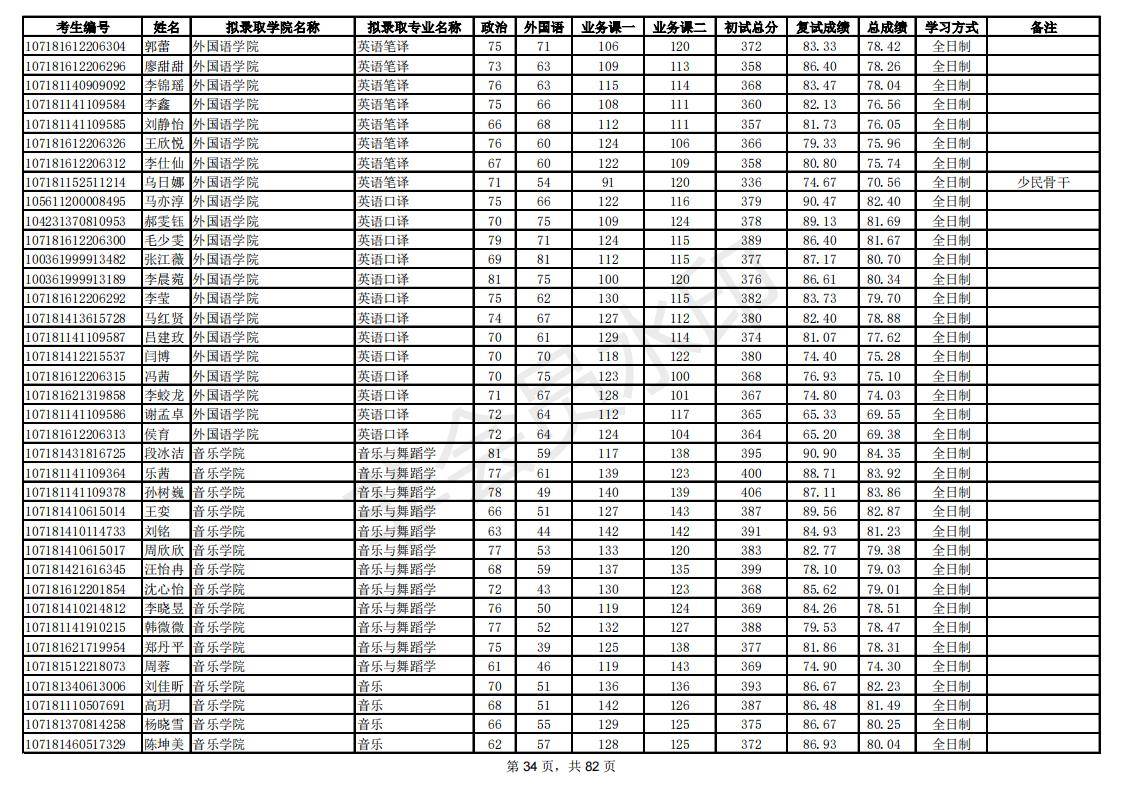
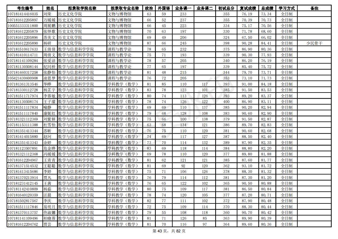
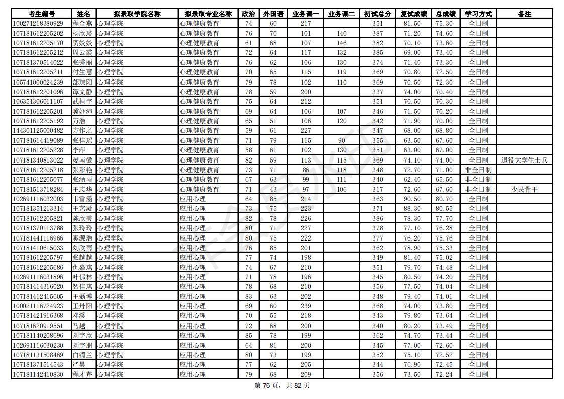
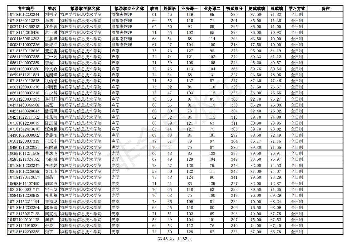
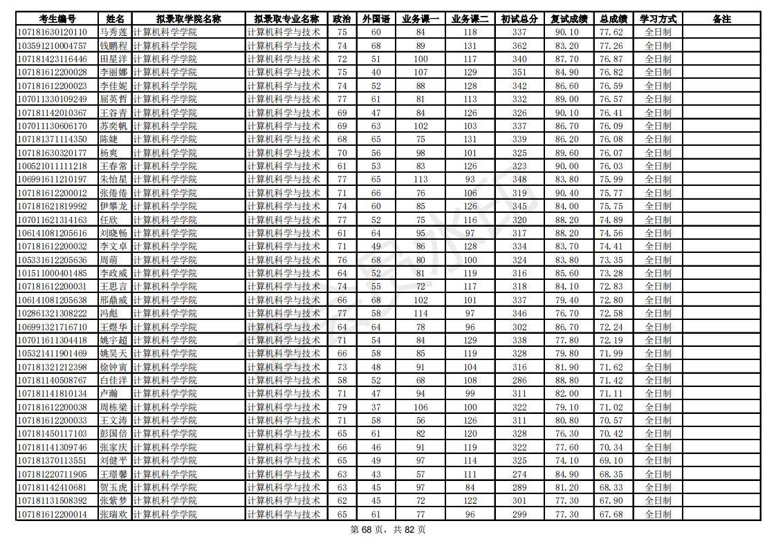
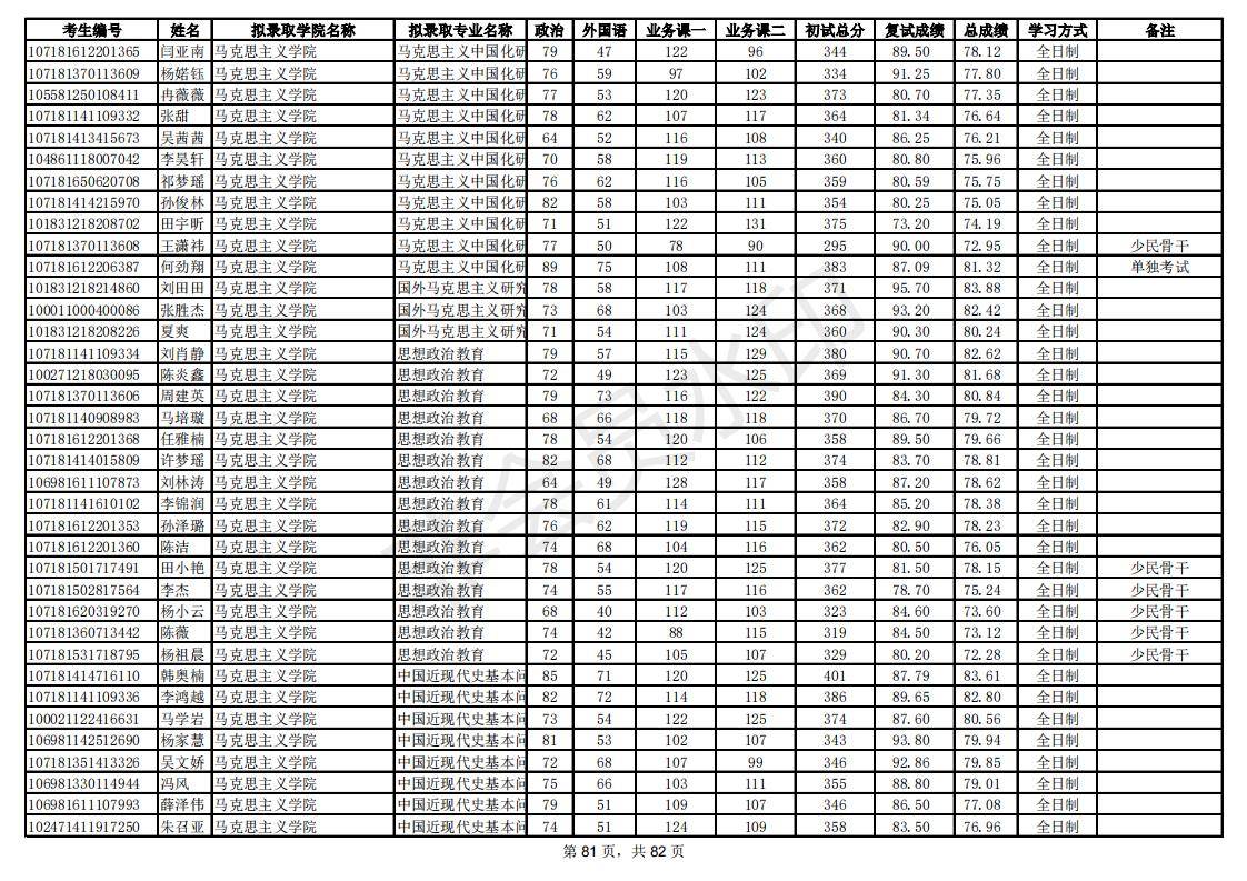
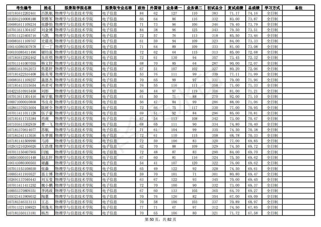
新祥旭导读:通过本文,大家可以看到陕西师范大学的考研招生情况和最终的录取结果。通过招生录取结果,大家可以看到具体的录取人数和最终的录取分数区间,供大家参考各个专业的难度,祝大家22年考研备考顺利。新祥旭考研后续也会为大家带来更多的考研信息。
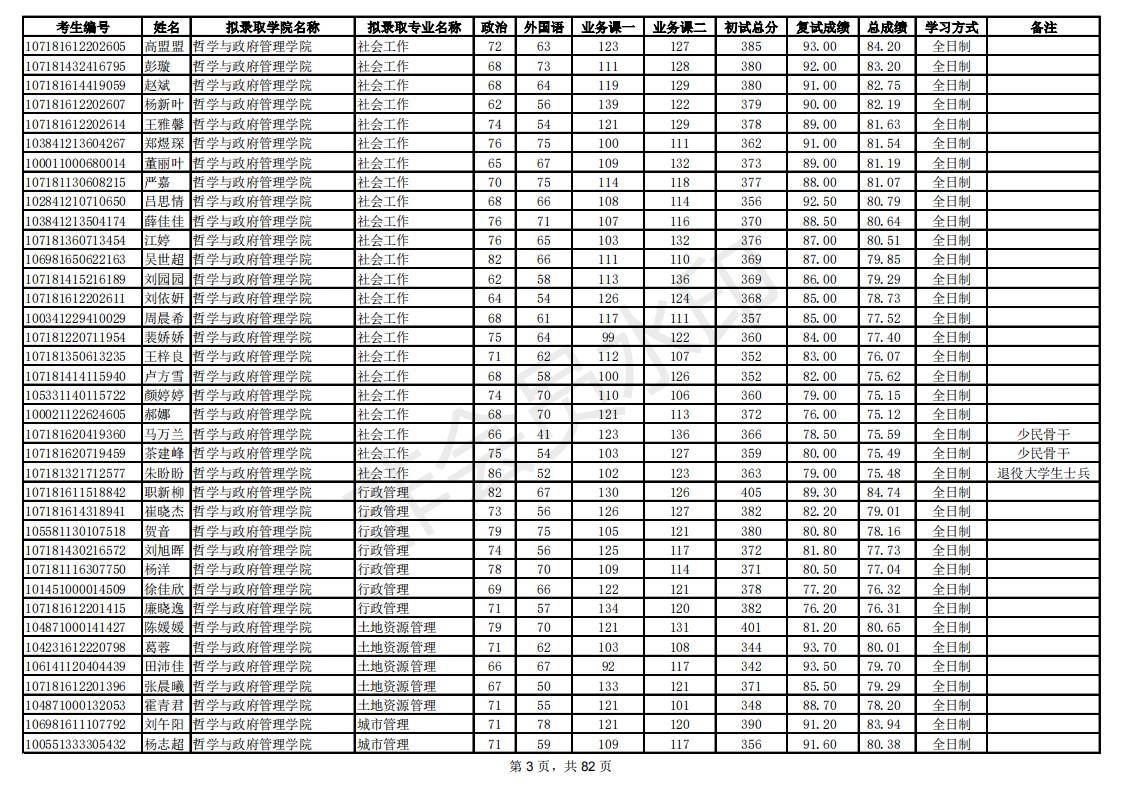
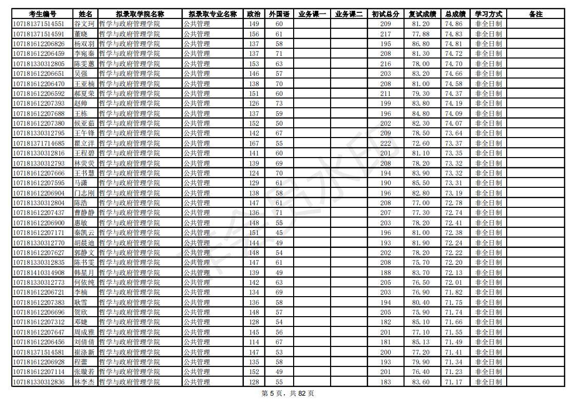
哲学与政府管理学院
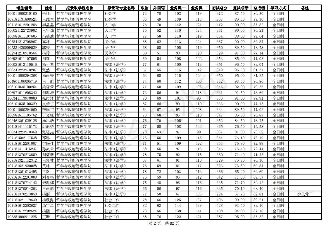
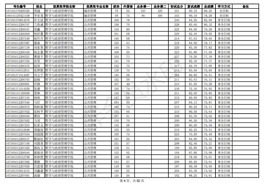
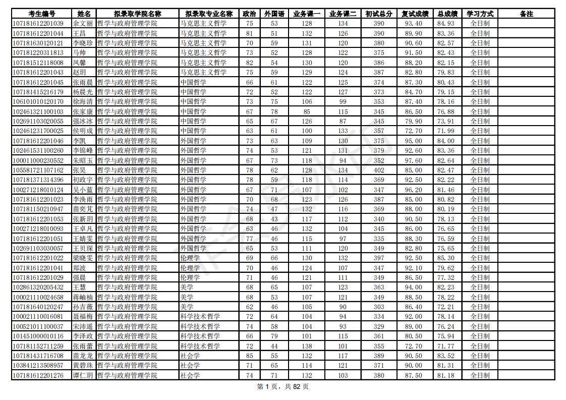
马克思主义哲学[010101]中国哲学[010102]外国哲学[010103]伦理学[010105]美学[010106]科学技术哲学[010108]社会学[030301]人口学[030302]民俗学[030304]行政管理[120401]土地资源管理[120405]城市管理[1204Z1]法律(法学)[035102]社会工作[035200]公共管理[125200]宗教研究中心
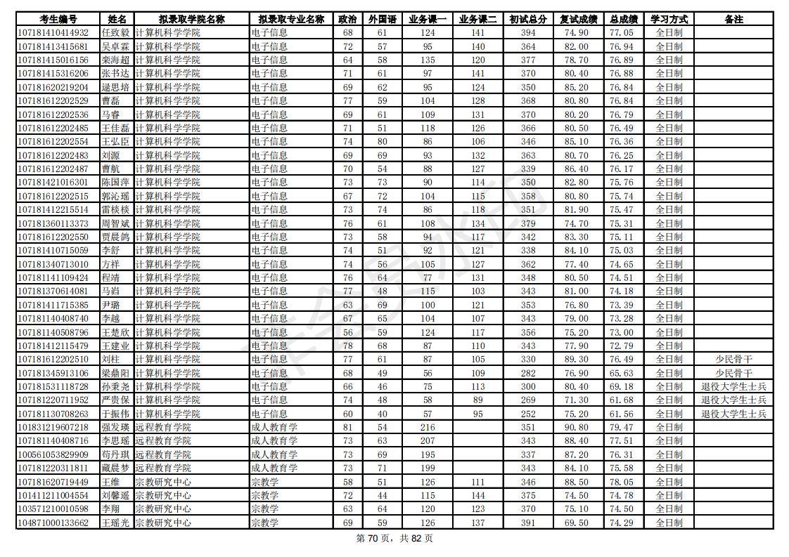
宗教学[010107]国际商学院
理论经济学[020100]应用经济学[020200]工商管理[120200]公共管理[120400]会计[125300]工商管理[125100]会计[125300]西北历史环境与经济社会发展研究院
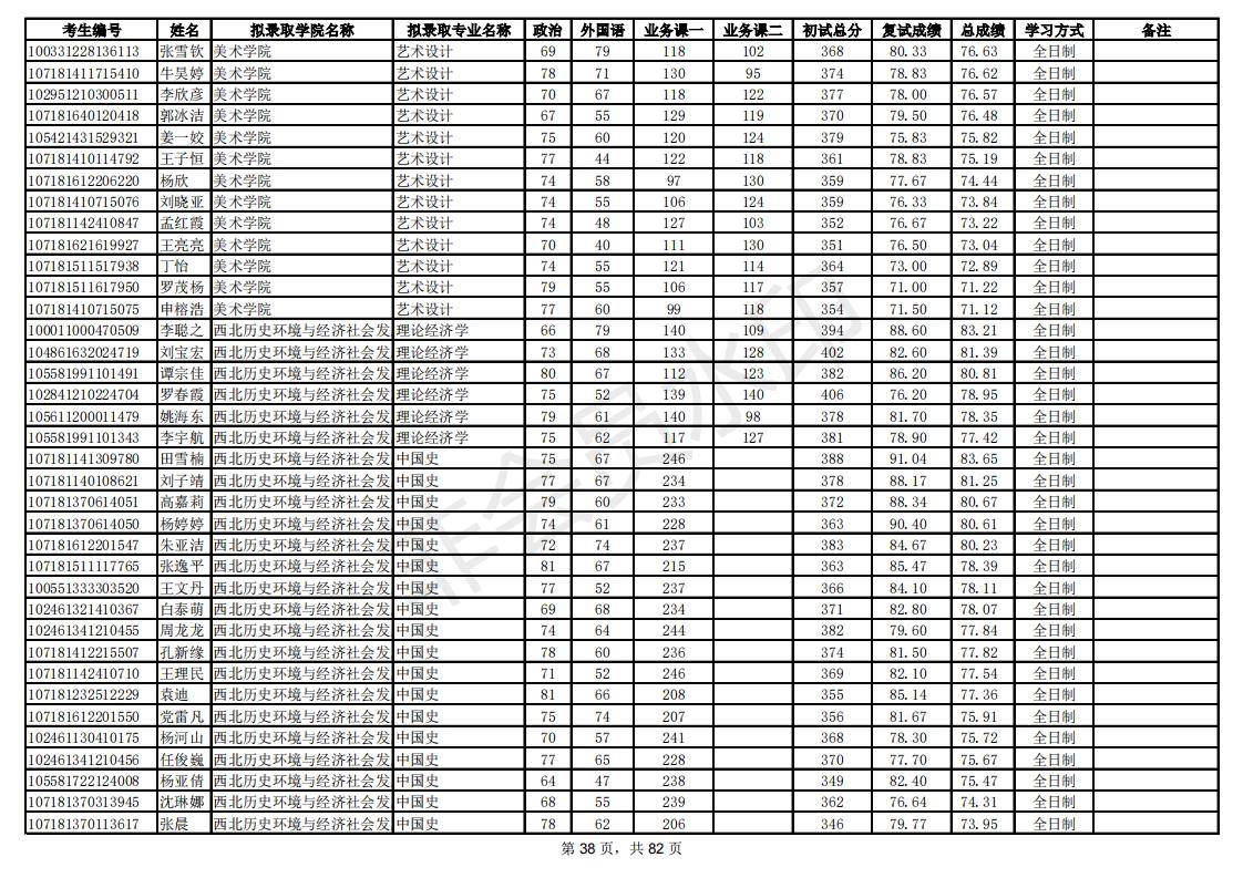
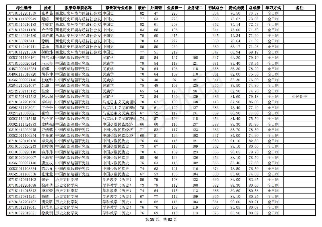
理论经济学[020100]中国史[060200]教育实验经济研究所
实验经济学[0201Z1]中国西部边疆研究院
民族学[030401]马克思主义民族理论与政策[030402]中国少数民族经济[030403]中国少数民族史[030404]马克思主义学院
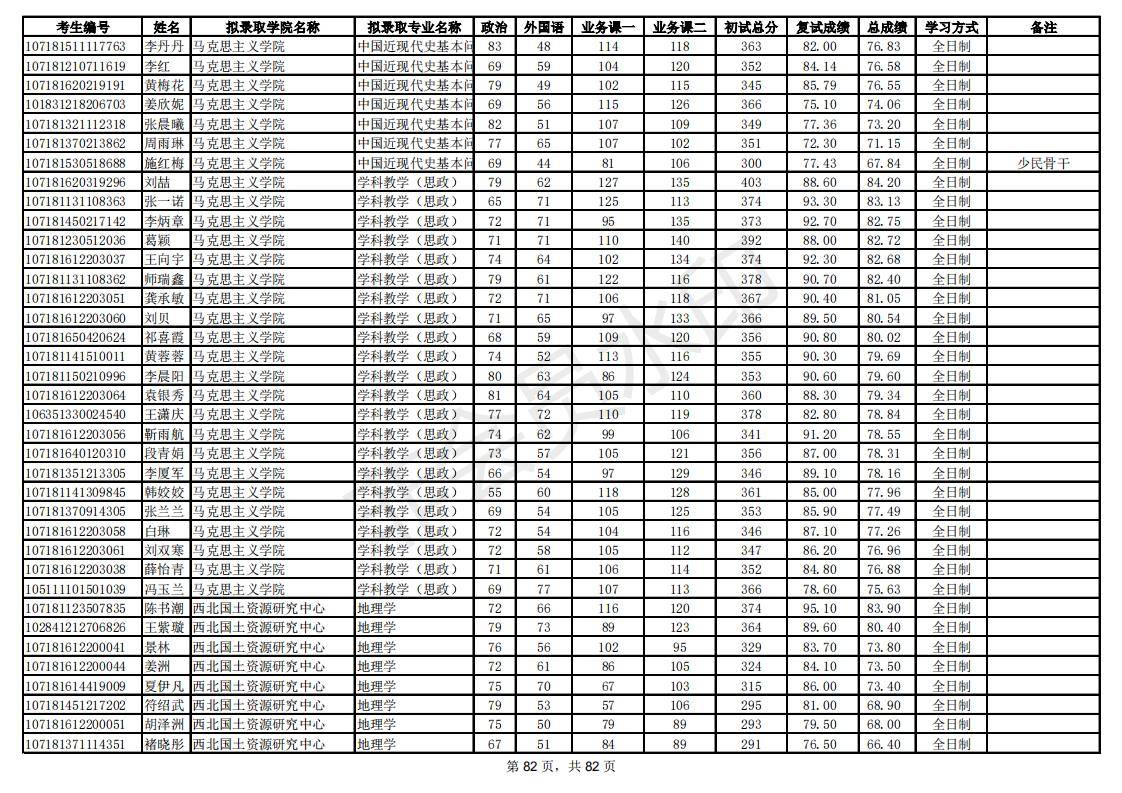
马克思主义基本原理[030501]马克思主义发展史[030502]马克思主义中国化研究[030503]国外马克思主义研究[030504]思想政治教育[030505]中国近现代史基本问题研究[030506]学科教学(思政)[045102]教育学院
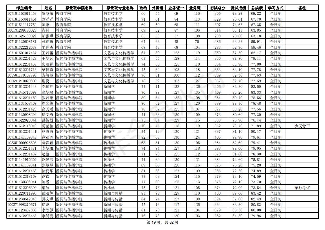
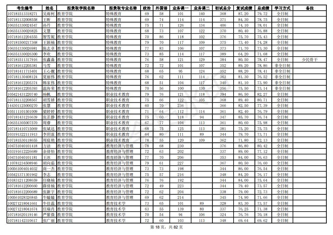
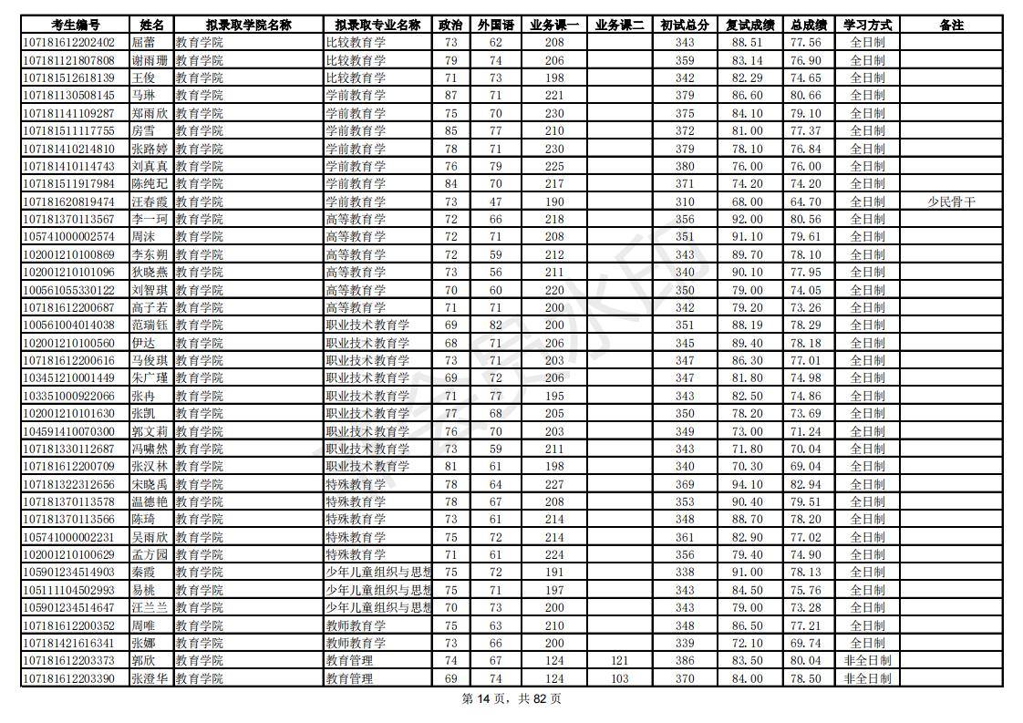
教育学原理[040101]课程与教学论[040102]教育史[040103]比较教育学[040104]学前教育学[040105]高等教育学[040106]职业技术教育学[040108]特殊教育学[040109]少年儿童组织与思想意识教育[0401Z4]教师教育学[0401Z5]教育经济与管理[047101]教育技术学[078401]现代教育技术[045114]小学教育[045115]学前教育[045118]特殊教育[045119]职业技术教育[045120]教育管理[045101]特殊教育[045119]教育技术学[078401]体育学院
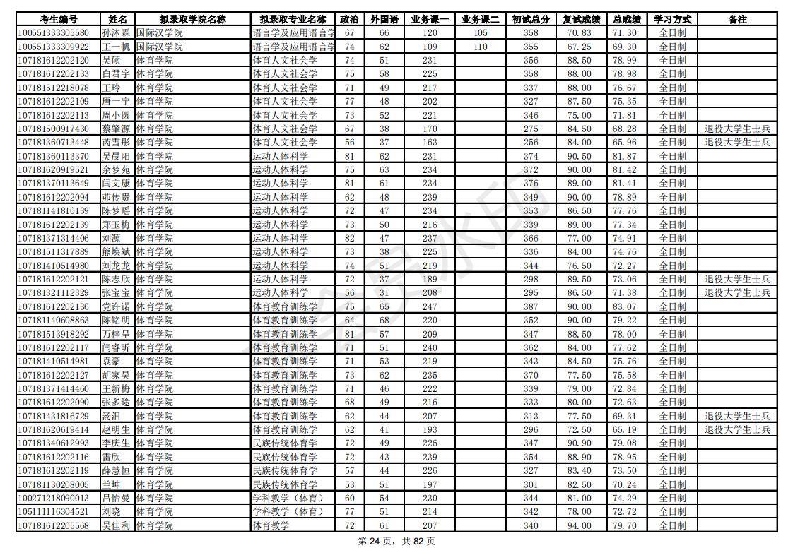
课程与教学论[040102]体育人文社会学[040301]运动人体科学[040302]体育教育训练学[040303]民族传统体育学[040304]学科教学(体育)[045112]体育教学[045201]运动训练[045202]文学院
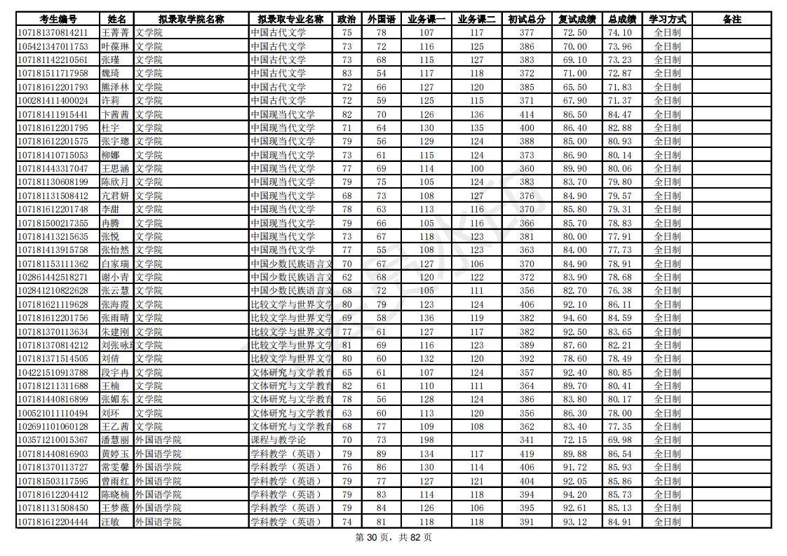
课程与教学论[040102]文艺学[050101]语言学及应用语言学[050102]汉语言文字学[050103]中国古典文献学[050104]中国古代文学[050105]中国现当代文学[050106]中国少数民族语言文学[050107]比较文学与世界文学[050108]文体研究与文学教育[0501Z2]学科教学(语文)[045103]外国语学院
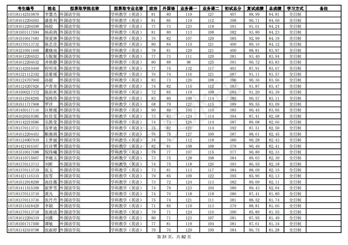
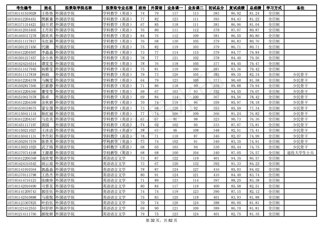
课程与教学论[040102]英语语言文学[050201]俄语语言文学[050202]日语语言文学[050205]外国语言学及应用语言学[050211]学科教学(英语)[045108]英语笔译[055101]英语口译[055102]历史文化学院
课程与教学论[040102]考古学[060100]中国史[060200]世界史[060300]学科教学(历史)[045109]文物与博物馆[065100]数学与信息科学学院
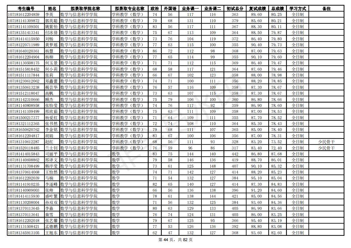
课程与教学论[040102]数学[070100]统计学[071400]学科教学(数学)[045104]物理学与信息技术学院
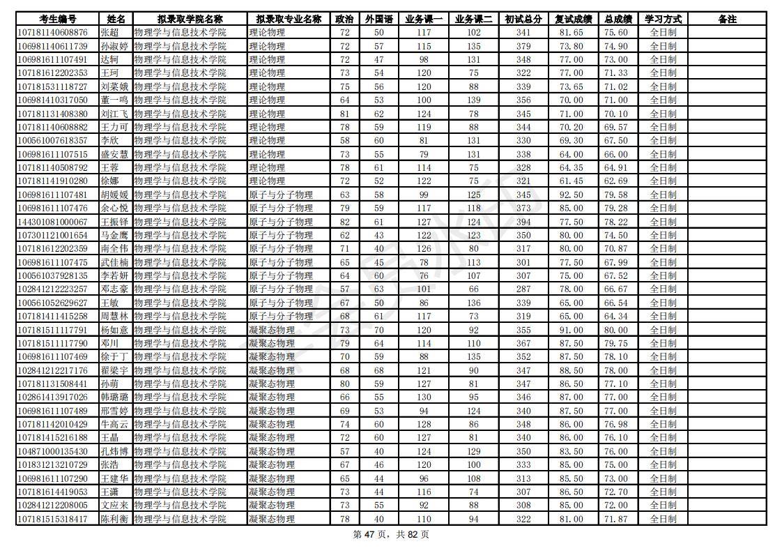
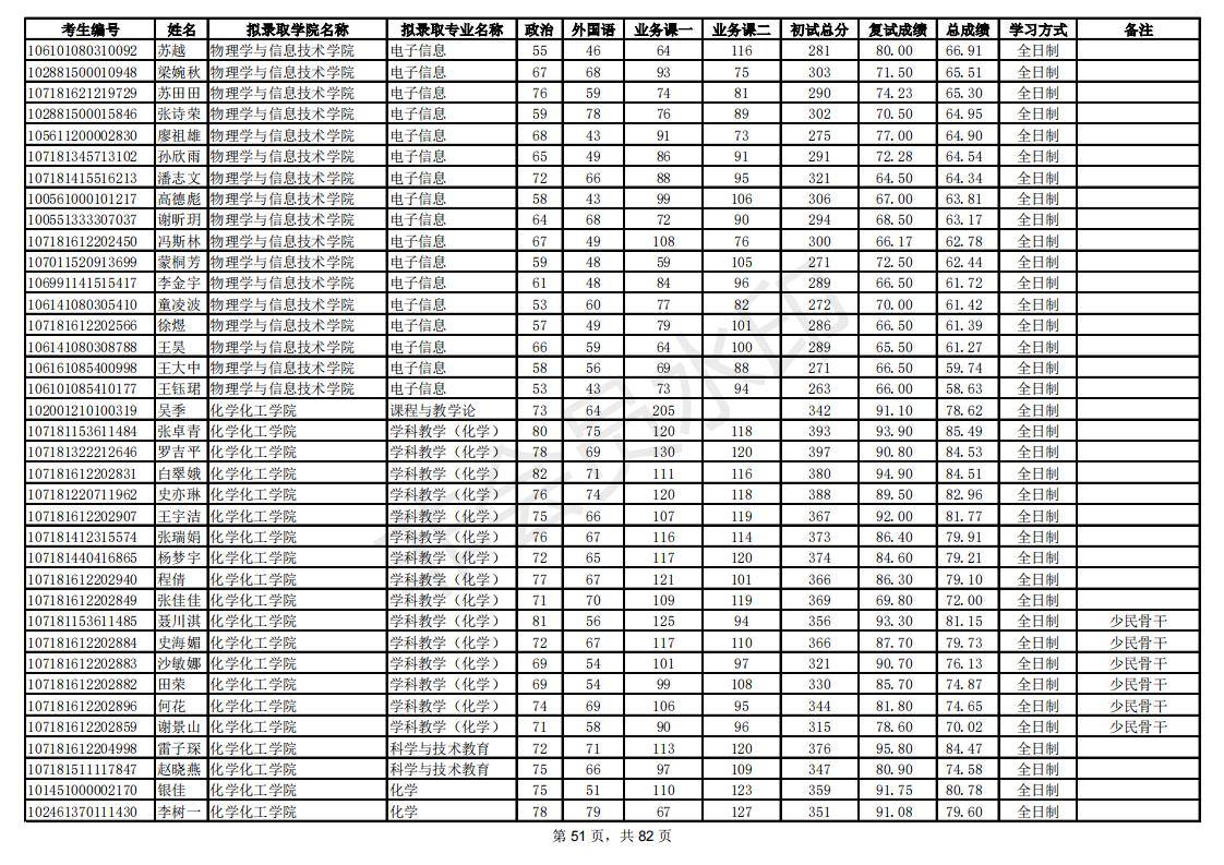
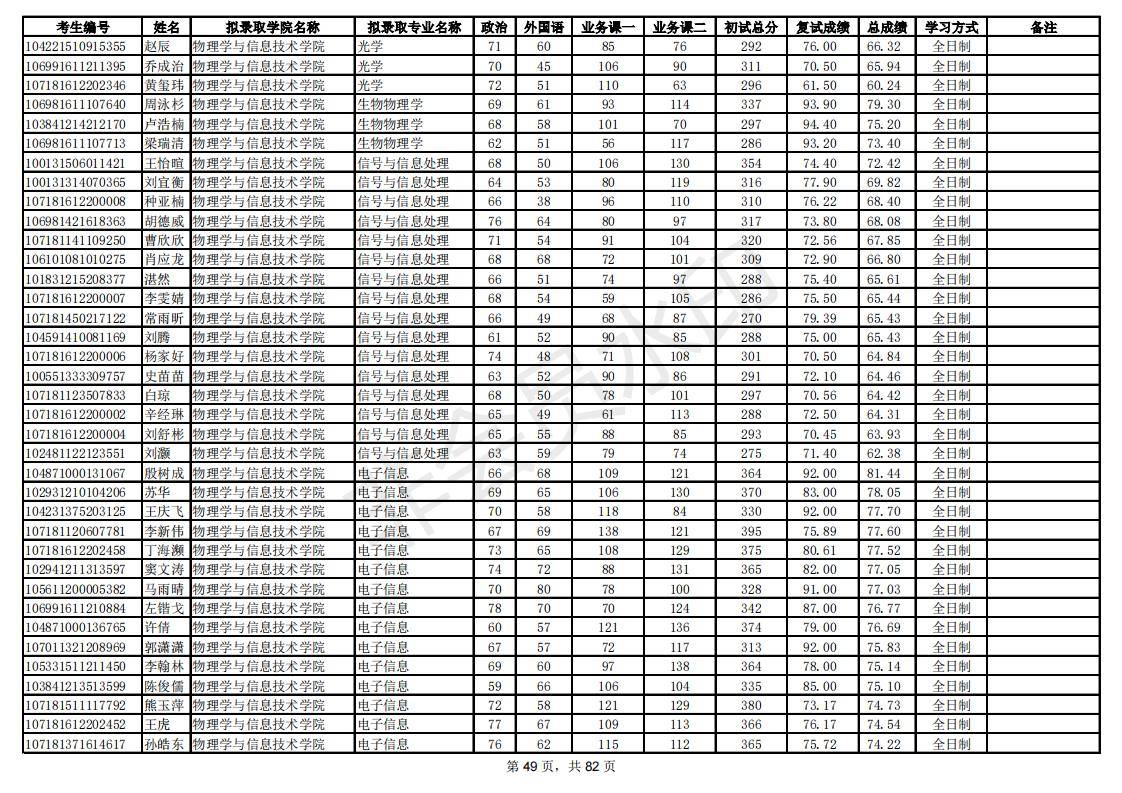
课程与教学论[040102]理论物理[070201]原子与分子物理[070203]凝聚态物理[070205]声学[070206]光学[070207]生物物理学[071011]信号与信息处理[081002]学科教学(物理)[045105]电子信息[085400]电子信息[085400]化学化工学院
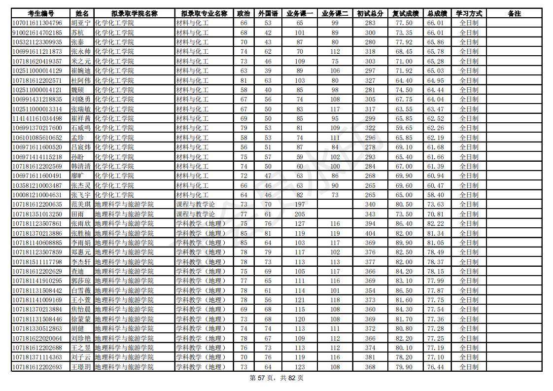
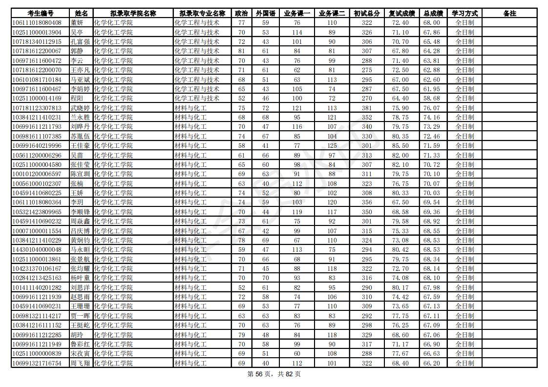
课程与教学论[040102]化学[070300]材料科学与工程[080500]化学工程与技术[081700]学科教学(化学)[045106]科学与技术教育[045117]材料与化工[085600]地理科学与旅游学院
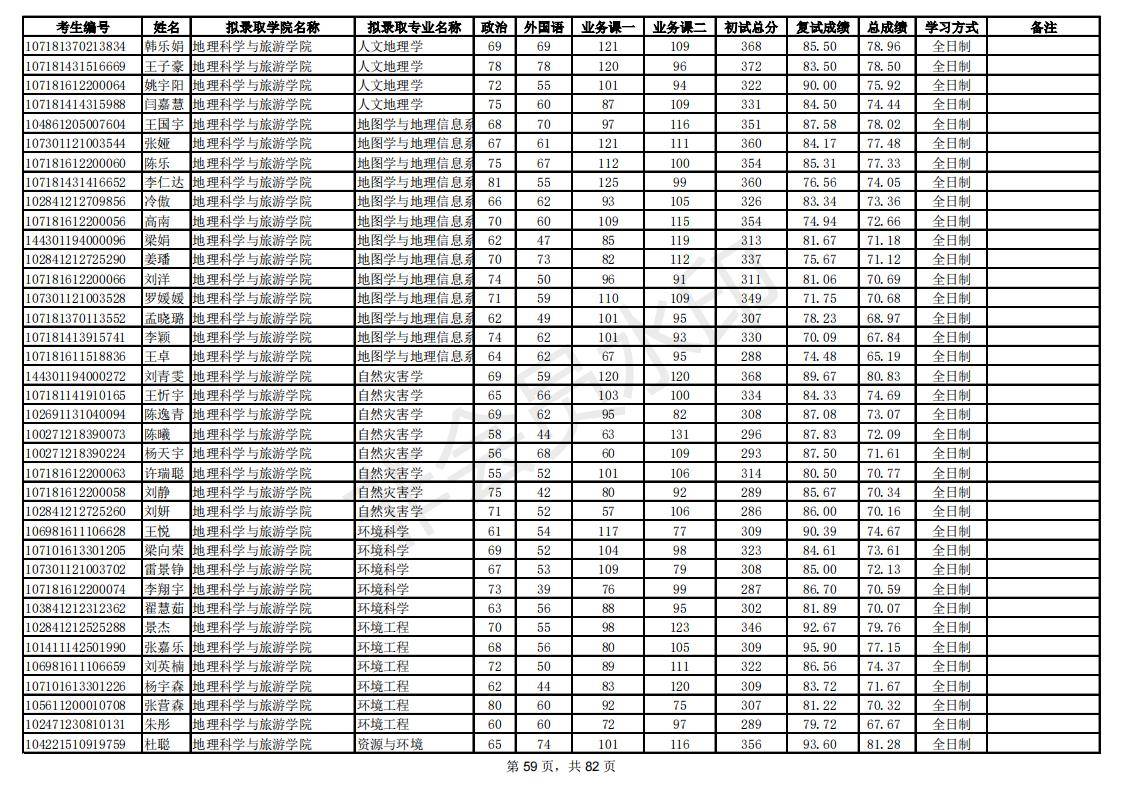
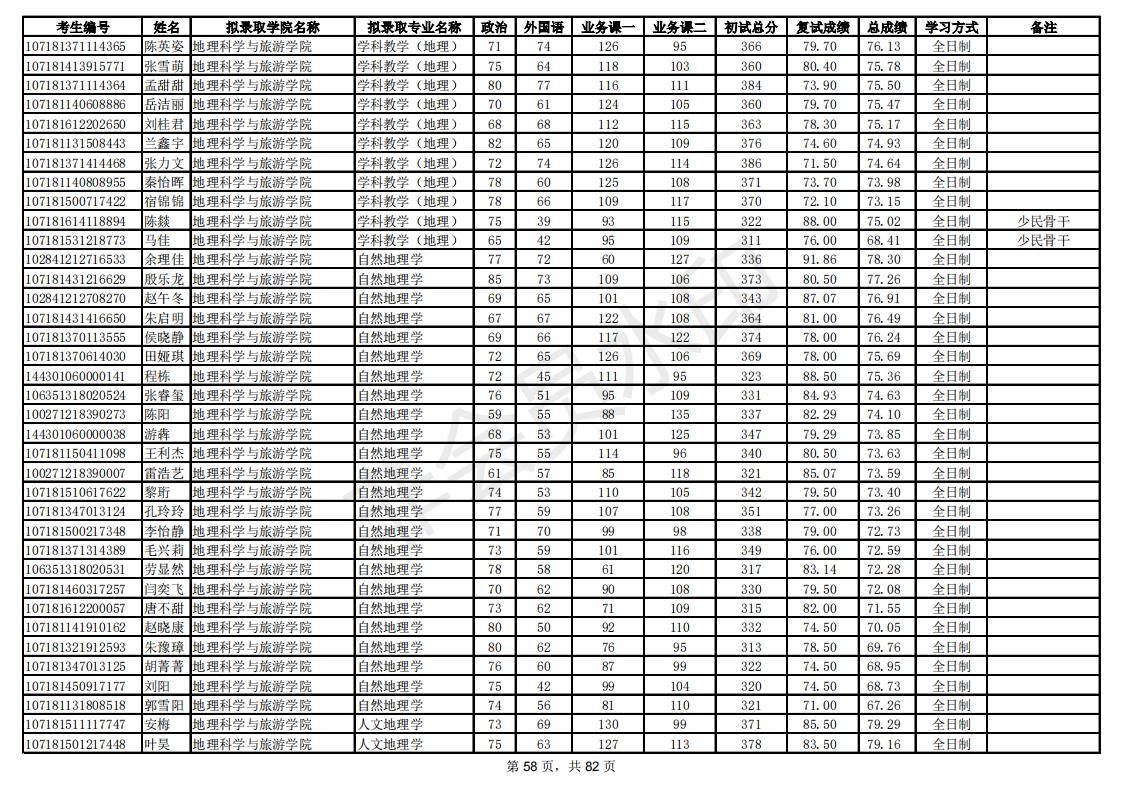
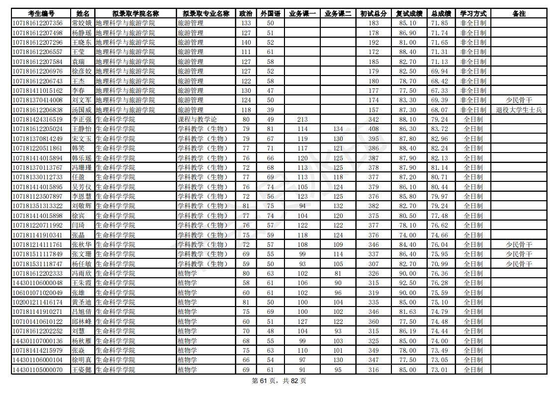
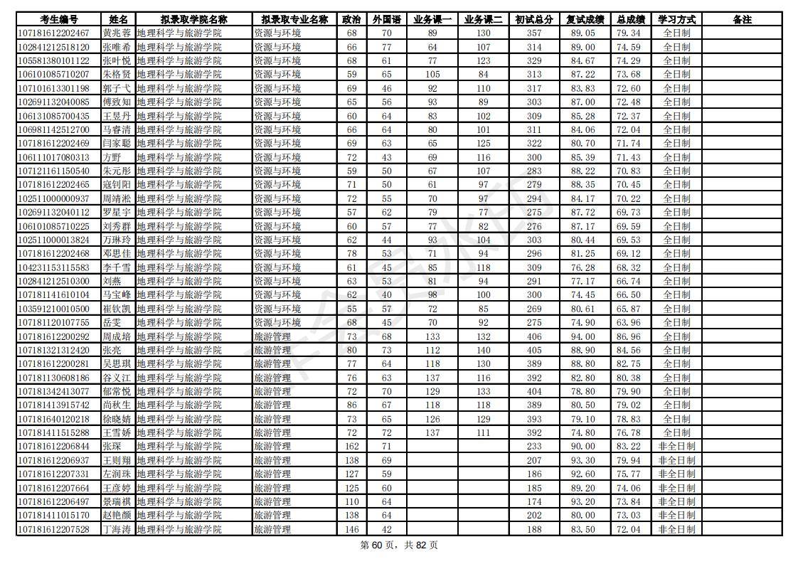
课程与教学论[040102]自然地理学[070501]人文地理学[070502]地图学与地理信息系统[070503]自然灾害学[0705Z3]环境科学[083001]环境工程[083002]旅游管理[120203]学科教学(地理)[045110]资源与环境[085700]旅游管理[125400]旅游管理[125400]生命科学学院
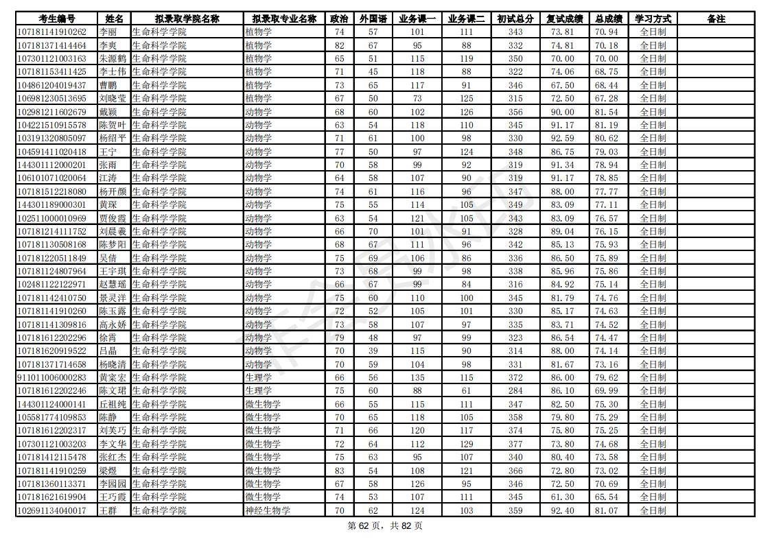
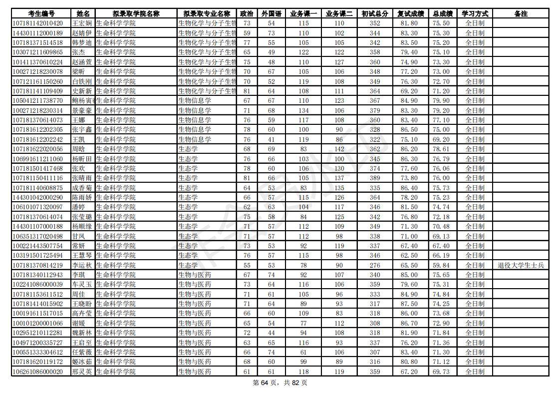
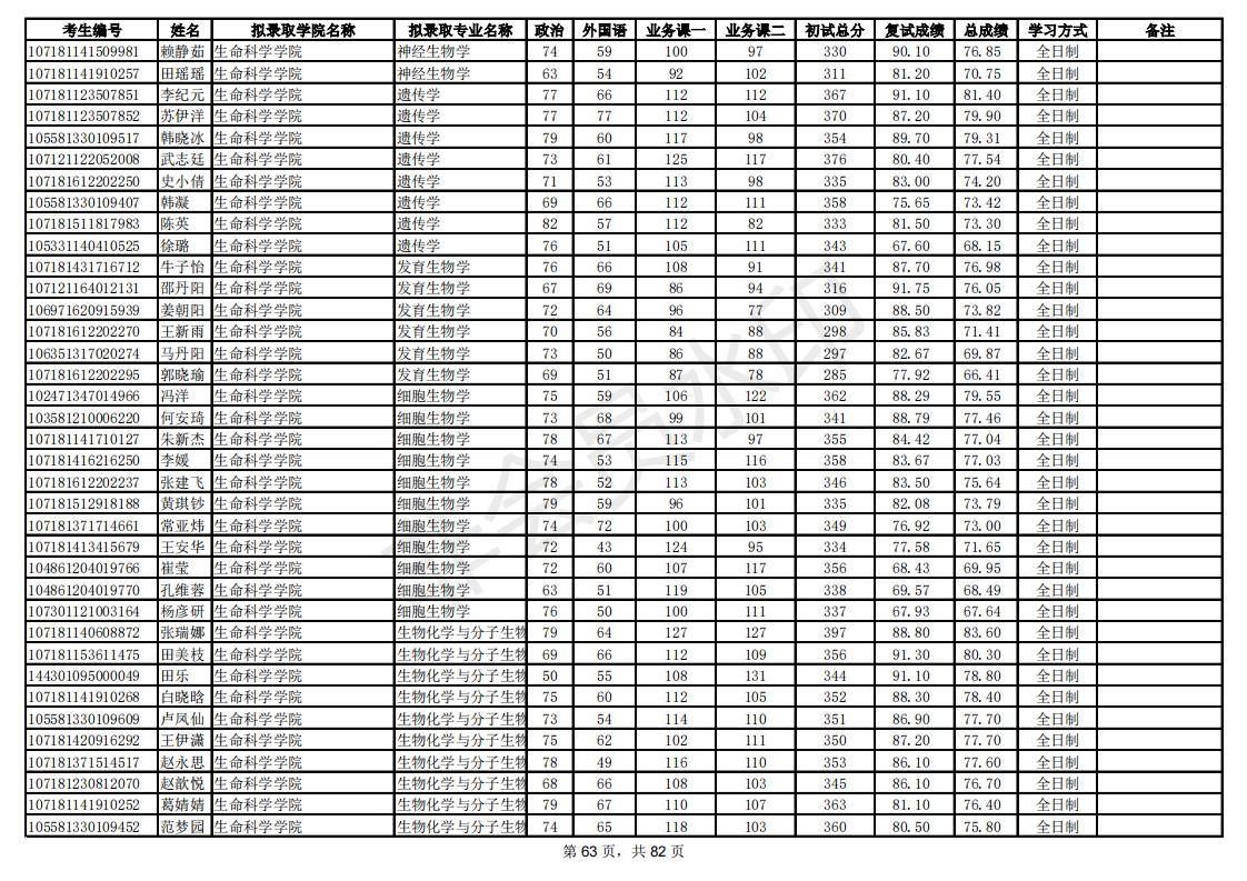
课程与教学论[040102]植物学[071001]动物学[071002]生理学[071003]微生物学[071005]神经生物学[071006]遗传学[071007]发育生物学[071008]细胞生物学[071009]生物化学与分子生物学[071010]生物信息学[0710Z2]生态学[071300]学科教学(生物)[045107]生物与医药[086000]远程教育学院
成人教育学[040107]民族教育学院
民族教育[0401Z3]心理学院
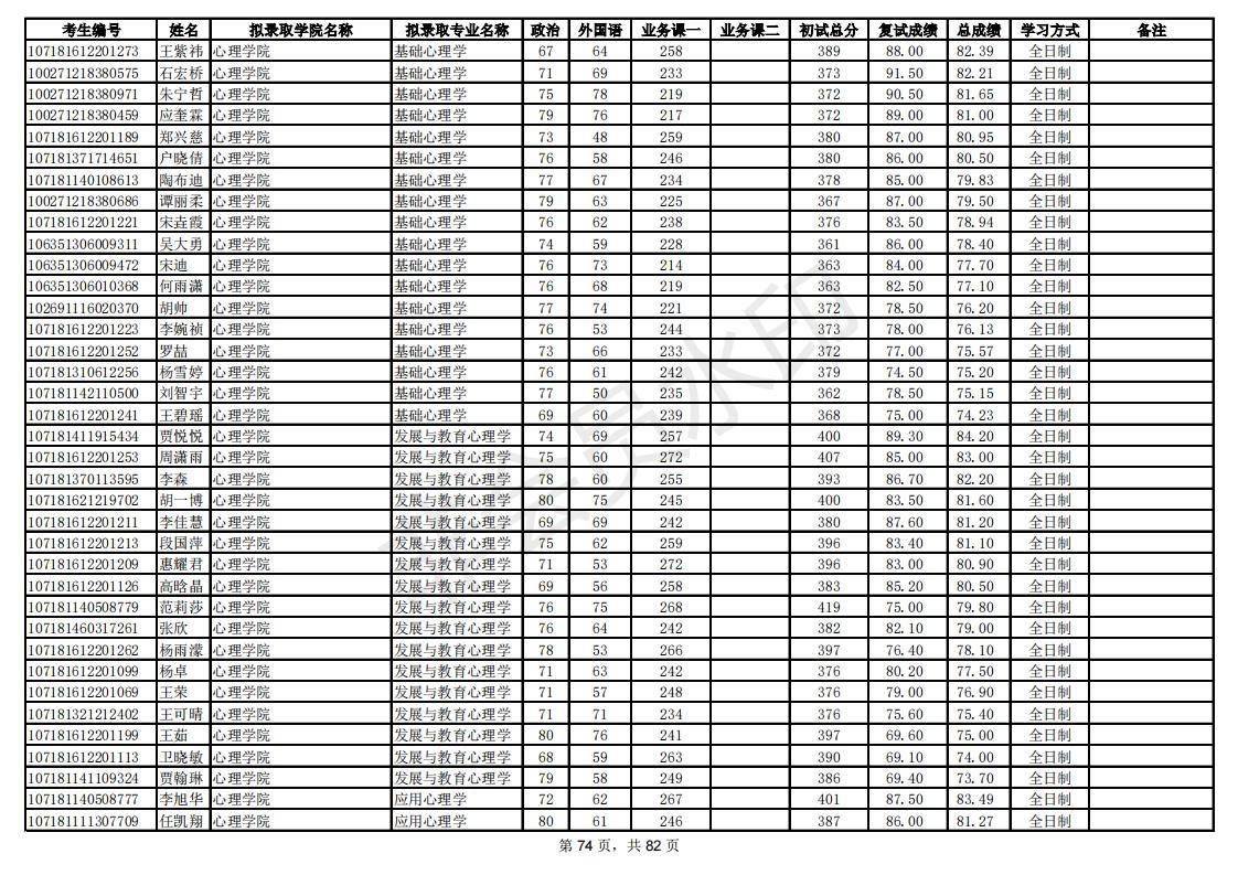
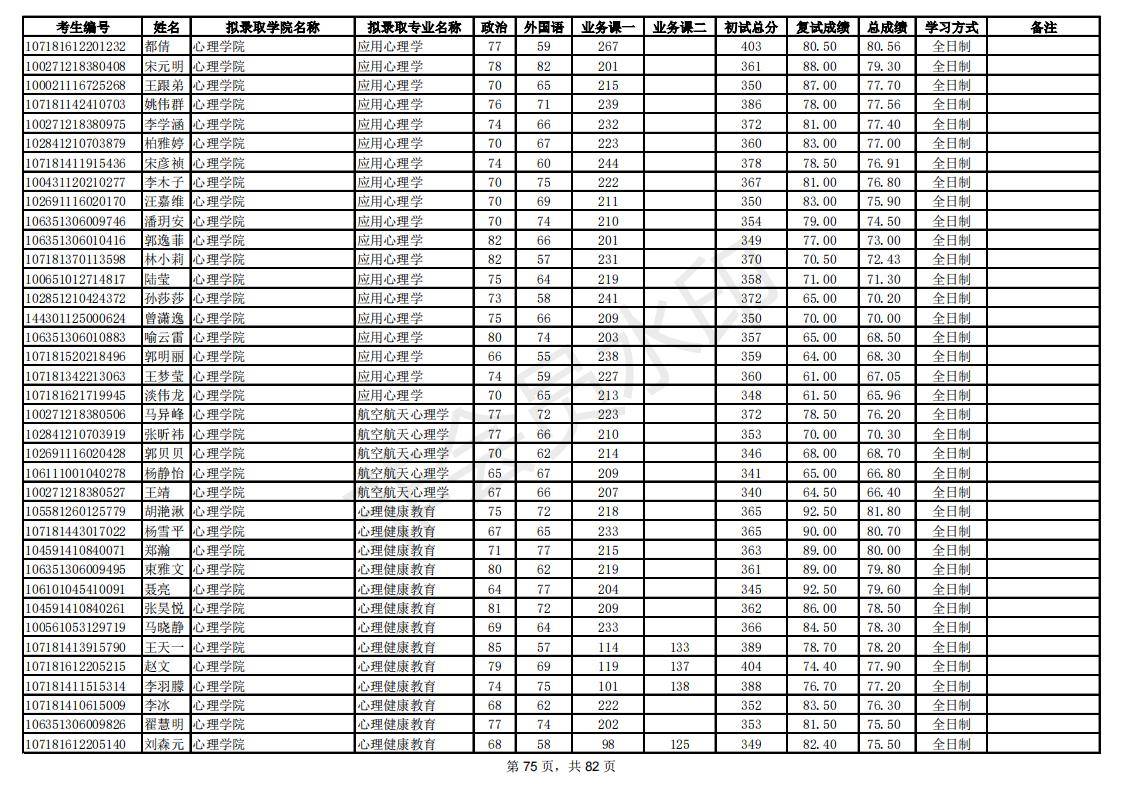
基础心理学[040201]发展与教育心理学[040202]应用心理学[040203]航空航天心理学[0402Z1]心理健康教育[045116]应用心理[045400]心理健康教育[045116]现代教学技术教育部重点实验室
基础心理学[040201]发展与教育心理学[040202]神经生物学[071006]教育技术学[078401]心理健康教育[045116]国际汉学院
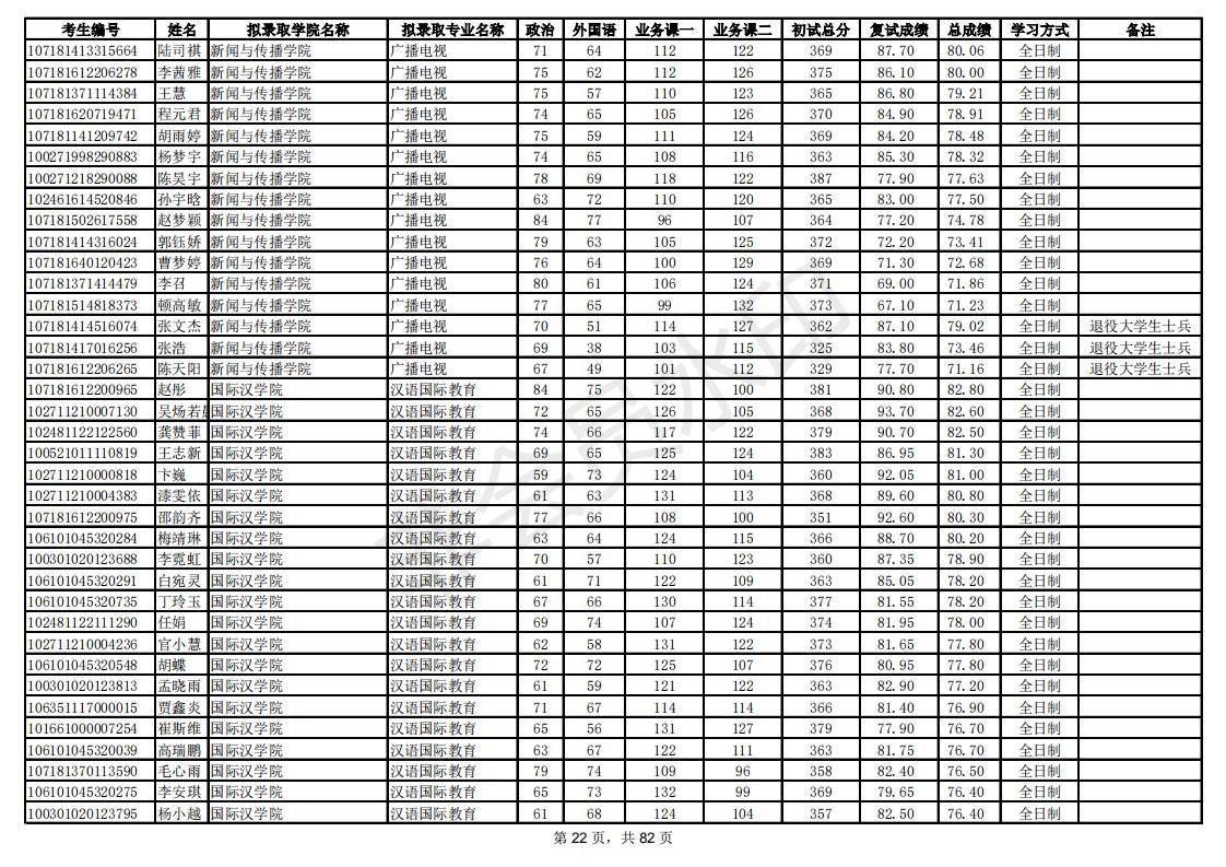
语言学及应用语言学[050102]汉语国际教育[045300]新闻与传播学院
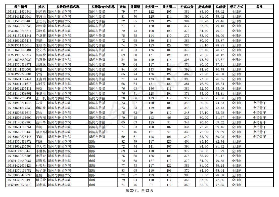
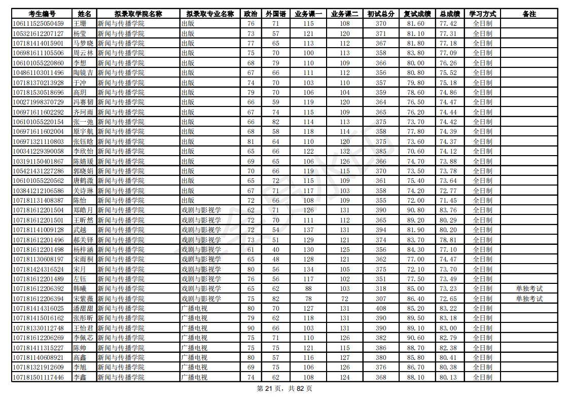
文艺与文化传播学[0501Z1]新闻学[050301]传播学[050302]戏剧与影视学[130300]新闻与传播[055200]出版[055300]广播电视[135105]“一带一路”建设与中亚研究协同创新中心
世界史[060300]计算机科学学院
量子信息学[0701Z1]计算机科学与技术[081200]软件工程[083500]现代教育技术[045114]电子信息[085400]食品工程与营养科学学院
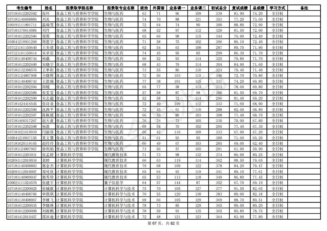
化学[070300]食品科学与工程[083200]生物与医药[086000]材料科学与工程学院
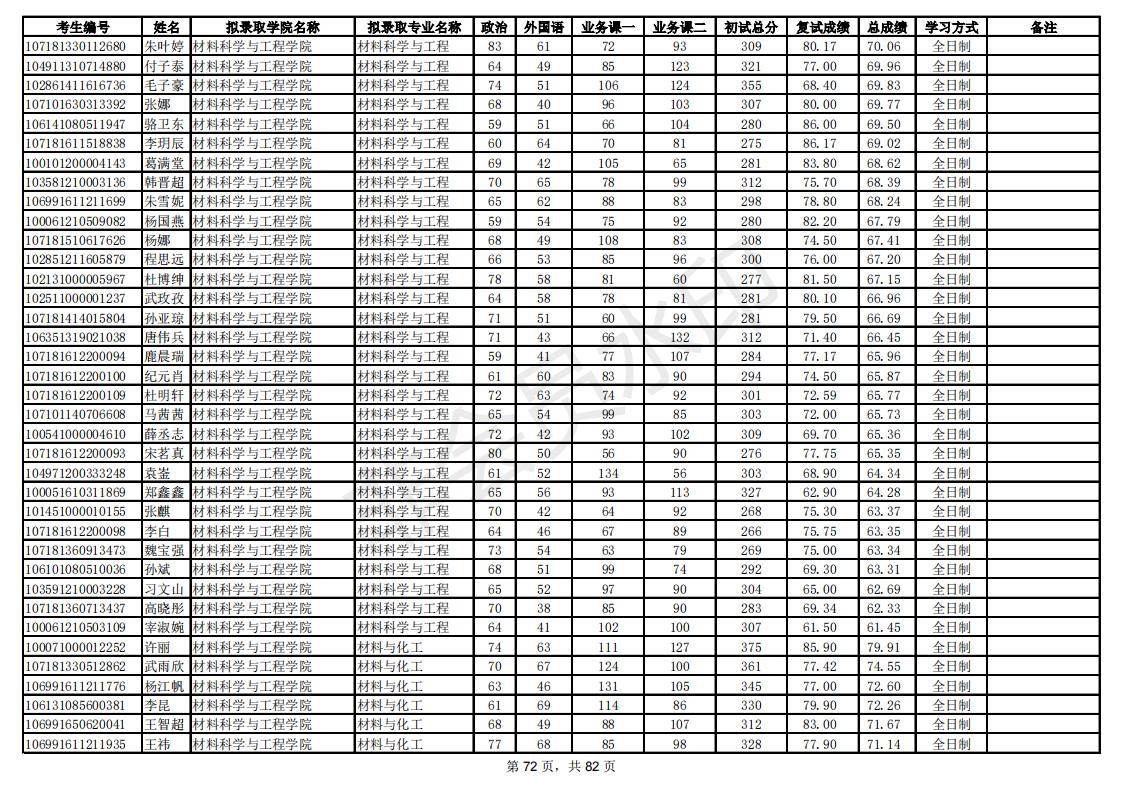
化学[070300]材料科学与工程[080500]材料与化工[085600]西北国土资源研究中心
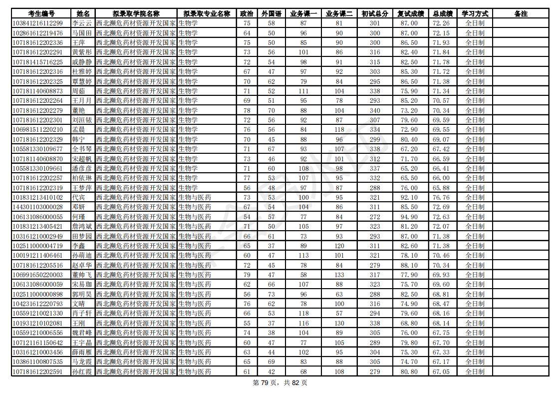
地理学[070500]西北濒危药材资源开发国家工程实验室
生物学[071000]生物与医药[086000]音乐学院
音乐与舞蹈学[130200]音乐[135101]舞蹈[135106]美术学院
美术学[130400]设计学[130500]学科教学(美术)[045113]美术[135107]艺术设计[135108]本文信息来源于学校的研究生院,由新祥旭考研整理,未经允许,不可转载。
版权声明:我们致力于保护作者版权,注重分享,被刊用文章【陕西师范大学研究生招生(新祥旭)】因无法核实真实出处,未能及时与作者取得联系,或有版权异议的,请联系管理员,我们会立即处理! 部分文章是来自自研大数据AI进行生成,内容摘自(百度百科,百度知道,头条百科,中国民法典,刑法,牛津词典,新华词典,汉语词典,国家院校,科普平台)等数据,内容仅供学习参考,不准确地方联系删除处理!;
工作时间:8:00-18:00
客服电话
电子邮件
beimuxi@protonmail.com
扫码二维码
获取最新动态
