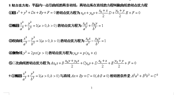
通过基本性质、定理、公式推导出来并广泛应用的结论性质被称为"二级结论"。
二级结论把程序性知识固化为结果性知识,形成知识组块。二级结论的核心在于帮助学生在考试中迅速的利用一些"快准狠"的结论来解答一些问题,以实现分数快速提高。在高考数学复习中笔者发现,及时归纳并总结一些常用的二级结论。
对于学生提高解题成功率、缩短运算时间非常有帮助!
(关于其他科目的学习方法,也都可以私信我哦~ 学姐无偿帮助大家,只为学弟学妹们能在学习上有所提升!)
篇幅原因无法全部发上来,有兴趣的学弟学妹们可以私信我,我会将完整版发给你们哦!
整理不易,大家多多点赞+评论哦~
以后还会有更多的经验和资料分享给大家~
版权声明:我们致力于保护作者版权,注重分享,被刊用文章【高考蒙题技巧知乎(史上最全的高考数学)】因无法核实真实出处,未能及时与作者取得联系,或有版权异议的,请联系管理员,我们会立即处理! 部分文章是来自自研大数据AI进行生成,内容摘自(百度百科,百度知道,头条百科,中国民法典,刑法,牛津词典,新华词典,汉语词典,国家院校,科普平台)等数据,内容仅供学习参考,不准确地方联系删除处理!;
工作时间:8:00-18:00
客服电话
电子邮件
beimuxi@protonmail.com
扫码二维码
获取最新动态
