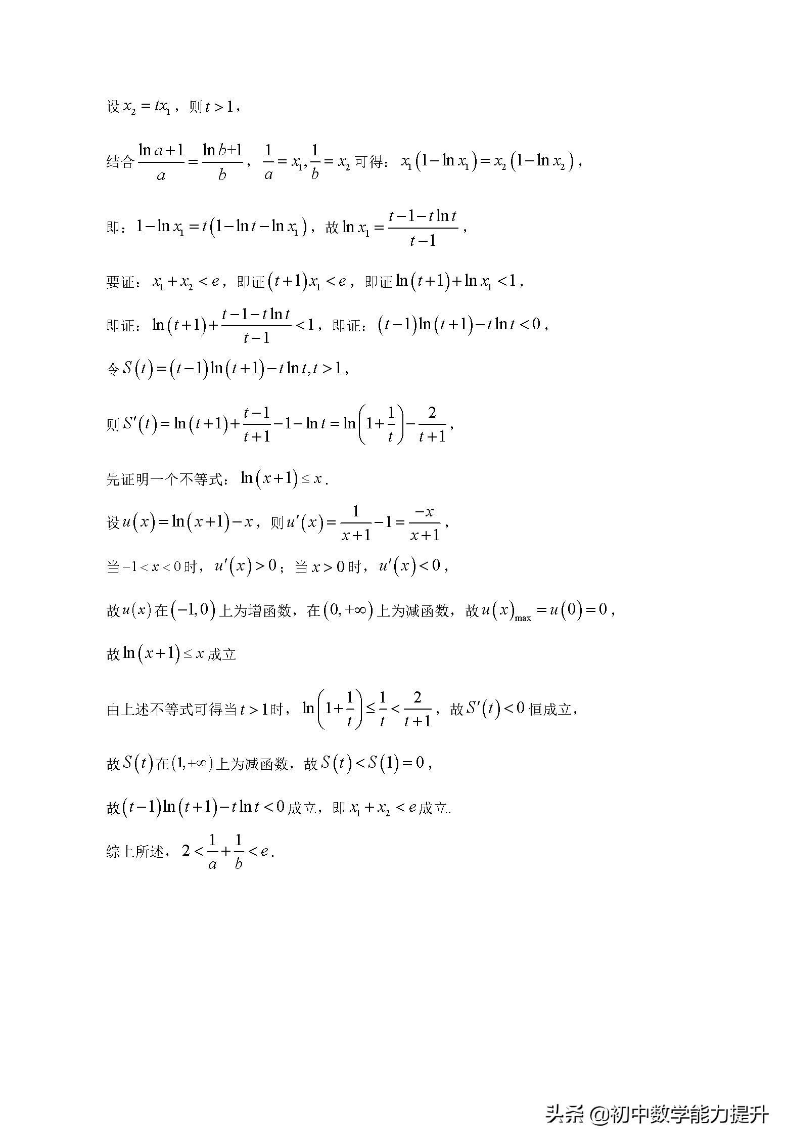
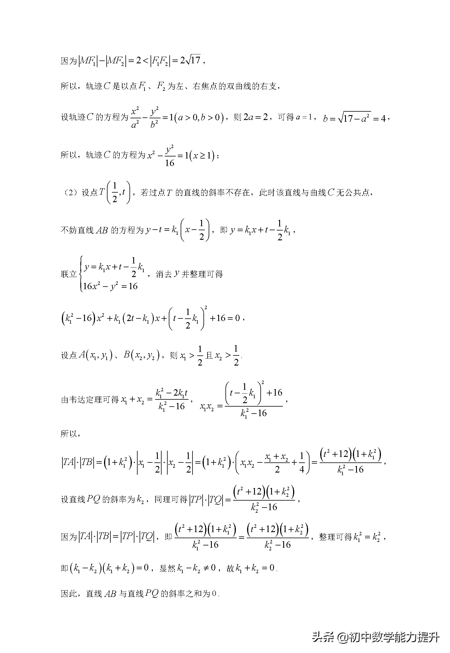
特别声明:本账号分享的资源版权属于原出版机构或影像公司,本资源为电子载体,传播分享仅限于家庭使用与交流心得、 参考和辅助购买决策,不得以任何理由在商业行为中使用,若喜欢此资源,建议购买实体产品。如转载涉及版权等问题,请立即联系,我们会更改或删除相关文章,保证您的权利。
版权声明:我们致力于保护作者版权,注重分享,被刊用文章【湖北高考数学用全国卷(2021年高考真题)】因无法核实真实出处,未能及时与作者取得联系,或有版权异议的,请联系管理员,我们会立即处理! 部分文章是来自自研大数据AI进行生成,内容摘自(百度百科,百度知道,头条百科,中国民法典,刑法,牛津词典,新华词典,汉语词典,国家院校,科普平台)等数据,内容仅供学习参考,不准确地方联系删除处理!;
工作时间:8:00-18:00
客服电话
电子邮件
beimuxi@protonmail.com
扫码二维码
获取最新动态
