什么是等级赋分制?
等级赋分制,是新高考规定选考科目设等级性考试下,成绩按等级赋分 (3+3地区是全部6个选考科目,3+1+2地区是思想政治、地理、化学、生物共4个科目),对应这些科目卷面分满分为100分,根据考生分数排名的百分比而非卷面分数来计算成绩的一种方法。目前,等级赋分制只用于选考科目的成绩统计,使用范围为14个新高考改革省市。
大家要注意三点:
▲等级赋分制不是按照考生的卷面分数来计算成绩。而是遵循“原始分数——百分比例——等级——转化分数”的等级赋分路径。
▲等级赋分制只适用于选考科目的成绩计算。即浙江、上海、北京、天津、山东、海南6个省市的物化生政史地6个选考科目采用等级赋分制;河北、辽宁、江苏、福建、湖北、湖南、广东、重庆8个省市的化学生物政治地理4个选考科目采用等级赋分制。
▲等级赋分由相关主管部门自动完成,大家在查询到自己的高考成绩时,看到的已经是赋分后的分数,不需要大家自行换算。
14个省市等级赋分制计算详解!
以目前已经启动新高考改革的14个省市等级赋分制方案来看,总体可分为5个类型:
》》北京、天津、上海:五等21级赋分制(3分1档)
1、北京把学生每门科目的原始成绩按照分数高低进行排名,再按照排名将1%-15%,16%-50%、51%-84%、85%-99%、99%以下划分成A、B、C、D、E五个等级。A、B、C、D四个等级内又按照不同的比例分成5个小的等级。根据学生卷面分数的排名和报考科目的总人数,确定学生属于哪个等级内,再根据每个等级对应的分数给予赋分。

2、天津按照实际参加当次考试学生总数(成绩为零分的学生除外)的相应比例划分等级,位次由高到低分为A、B、C、D、E五等。等级性考试成绩在计入高校招生录取总成绩时,每门科目成绩由五等细化为A5、A4、A3、A2、A;B5、B4、B3、B2、B;C5、C4、C3、C2、C;D5、D4、D3、D2、D;E共21级,分别占2%、3%、4%、5%、6%;7%、7%、7%、7%、7%;6%、6%、6%、6%、6%;5%、4%、3%、1%、1%;1%。其中,A 为满分100分,E计40分,相邻两级之间的分差均为3分。

3、浙江按照考生各科成绩按等级赋分,以当次高中学考合格成绩为赋分前提,高中学考不合格不赋分。起点赋分40分,满分100分,共分21个等级,每个等级分差为3分。
》》
上海:5等11级赋分制(3分1档)
上海普通高中学业水平等级性考试成绩在计入高考总分时,由五等细化为A+、A、B+、B、B-、C+、C、C-、D+、D、E共11级,分别占5%、10%、10%、10%、10%、10%、10%、10%、10%、10%、5%。其中,A+为满分70分,E计40分。相邻两级之间的分差均为3分。
》》
山东:5等8级赋分制(1分1档)
山东采用5等8级赋分制。等级考试科目原始成绩从高到低划分为A、B+、B、C+、C、D+、D、E共8个等级。参照正态分布原则,确定各等级人数所占比例分别为3%、7%、16%、24%、24%、16%、7%、3%。等级考试科目成绩计入考生总成绩时,将A至E等级内的考生原始成绩,依照等比例转换法则,分别转换到91-100、81-90、71-80、61-70、51-60、41-50、31-40、21-30八个分数区间,得到考生的等级成绩。
》》
辽宁、重庆、河北、湖北、湖南、江苏、福建、广东:5等级赋分制(1分1档)
辽宁、重庆、河北、湖北、湖南、江苏、福建、广东第三批实行新高考的省份统一采用五等级赋分制。等级分是按统一规则,由原始分进行等级划定后,再由等级转换而来的分数。对于某一再选科目,考生该科目的合格性考试成绩达到合格后,转换时赋分起点为 30 分,满分为 100 分。具体转换规则和步骤如下:第一步,按照考生原始分从高到低划定 A、B、C、D、E 共五个等级,各等级人数所占比例每省各不同。第二步,将A至E五个等级内的考生原始分,依照等比例转换法则,分别对应转换到100~86、85~71、70~56、55~41和40~30五个分数段,从而将考生的等级转换成了等级分。
》》
海南:标准分
海南具体换算的过程为:每个单科,按照原始分对全省同一类别团体的考生进行排名,每名考生都有一个对应的位置,算出每个原始分以下的考生人数占团体考生总数的百分比,即百分等级。再由每个原始分的百分等级在《高考标准分与百分等级对照表》中查出它所对应的分数。
综上,起点分值最少为21分。也就是说,假如考生考了0分,排到E等级。赋分后,最少也有21分。
等级赋分的规则是什么?
思想政治、地理、化学、生物学4门科目每科原始成绩为100分,转换后赋分成绩满分为100分,赋分起点为30分。
转换时将各科目考生原始成绩从高到低划分为A、B、C、D、E共5个等级,各等级人数所占比例分别约为15%、35%、35%、13%和2%。
各科目成绩计入考生总成绩时,将A至E等级内的考生原始成绩,按照事先确定的比例,依照转换公式,分别转换到100~86、85~71、70~56、55~41、40~30五个分数区间(表1),得到考生的赋分成绩。转换基数为实际参加该科目选择考的人数(不含缺考及因违纪作弊已被取消该科成绩的人数)。
表1:具体等级比例和赋分区间

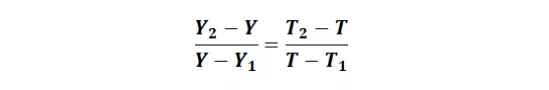
等级转换的具体公式:
其中:
Y1、Y2分别表示原始分区间的下限和上限;
T1、T2分别表示转换分区间的下限和上限;
Y表示原始分;
T表示转换分。
考虑到高考分数都以整数呈现,故上述公式的计算结果需要进行“四舍五入”处理。
具体是如何进行成绩转换的?
可以举例说明,假设某同学思想政治学科原始分为75分,该学科B等级的原始分分布区间为82~61,则该同学思想政治学科的原始成绩属B等级。而B等级的转换分区间为85~71,那么该同学思想政治学科的转换分为:

解得, T≈80.33;
四舍五入后该同学思想政治学科赋分成绩为80(图2)。
图2:转换示意图

等级赋分的优点是什么?
一是能够较好解决思想政治、地理、化学、生物学4门科目之间分数不等值、学生选考科目分数不能直接相加参加高校招生录取的问题;
二是等级区间比例依据我省往届考生的实际状况划定,符合实际情况;
三是能够保持考生每门学科成绩排名顺序不变,确保成绩转换的公平公正;
四是能够最大限度保证考生的成绩具有良好的区分度,满足高校人才选拔需要。
赋分会怎么影响孩子成绩?
如何有已经用赋分考试过的家长,直观感觉就是孩子的成绩有所降低,但是这在以前没有实行赋分制度的时候,比较原始成绩孩子还是不错的,为什么赋分之后差距拉大了呢?
学霸越集中,成炮灰概率越大
如果本校学生选择物理学科的是最多的,选择理化生组合也是最多的,那么这里面将会集中本校大部分学霸级人物,扎堆学物理,学理化生,这往往就会带来很大问题。
理化生是传统理综组合,高智商的都在里面,大家差距其实都不大,你考100分,我也能考99分,这是就原始分来说的。但是正是由于大家分差太小,一旦实行赋分,分出个三六九等,那么问题就来了,我们再看看高考选考科目等级赋分规则图:

如图所示,假设考生一共100人选择化学,只有1个人考了100分,那么这个学生很幸运赋分也是满分100分,不吃亏。再假设第二名原始分考了99分,第三名考了98分,那么如果按照等级赋分对应上表的第二档即2%-3%阵营,很遗憾最后赋成了97分。也就是说,原始分第二名和第一名同学相差1分,赋分后相差3分了,吃亏了。
大家都是学霸,赋分后有的同学差距就拉大了,更有甚者如果原始成绩考了95分的同学,赋分后可能成为85分,差距更大,由此可见,同样是学霸,只有顶级学霸才不吃亏,但是后面的学霸就成了炮灰,学霸扎堆坏处就在这里。
试题越简单,学霸区里炮灰越多
学霸都以攻坚克难著称,但是一旦考试命题,包括高考命题偏于简单,那么大家差距就会更小,甚至出现在某个分数段集中很多人现象。
如果按照上面规则赋分,还是要排出顺序的,比如考100分的还是1人,考99分的有很多人,这样就会造成考98分的同学进入第四档或者更低档,赋分会更低甚至到了80几分,原始分和满分相差2分,赋分后相差20分,这个坑大不大?
试题难度越大,差距越大,名校越占优
如果这次化学学科试题难度很大,那么对于那些整体优势很大的名校来说,试题难度越大对他们越有利,而对于一般偏中下的学校来说就惨了。
我们学校如果自己和自己比较,理化生的学生是比其它同学厉害的,但是拉出去和人家高水平学霸比较优势就小了,尤其是遇到难题,咱这些学霸有的就不是学霸了,沦为学霸中的末端。
所以,这次化学很大几率将会全军覆没,结果是很少考A的,连B都不多,说明了平台很大的情况下,中下游的学校肯定要吃大亏。
上面这些其实充分暴露了学生在选科上的盲目性,扎堆选理化生,学校、学生之间的竞争就如一场战争,田忌赛马,要想取胜必须拿出自己最好的策略,这个策略不能只考虑你自己,还对考虑对方实力。
赋分受客观因素影响
在赋分模式下,选择的人数越多,赋分的结果就越趋于合理,选择人数越少,偶然性就越大,赋分的差距就会很大,选择某一科的人数少,所有赋分就显得不是很合理了,在一个学校,人数太少,这种影响会被扩大,放在全省范围内,影响会减少。
假设这次考试化学很简单:
赋分是按照单科排名进行的,如果99分的学生被赋分成90分,那么说明考100分的同学过多了,所以,等级赋分对出题者提出了更高的要求,题目过难,赋分偏高,对选择其他科目的学生不公平,题目简单,赋分偏低,对选择化学的学生不公平。

2021年的新高考引发了哪些变化?录取分数线是如何划分的?
教育部正式发文,确定了重庆、河北、辽宁、江苏、福建、湖北、湖南、广东共8省市正式启动高考综合改革.从2018年秋季入学的高中一年级学生开始实施。
考生总成绩由全国统一高考的语文、数学、外语3个科目成绩和考生选择的3科普通高中学业水平选择性考试科目成绩组成,满分为750分。即通常所说的“3+1+2”模式。
“ 3 ”
其中,统一高考的语文、数学、外语3门科目,每科满分均为150分,总分450分,各科均以原始成绩计入考生总成绩;
“ 1 ”
在普通高中学业水平选择性考试中,考生在物理或历史中所选择的1门科目,满分为100分,以原始成绩计入考生总成绩;
“ 2 ”
在思想政治、地理、化学、生物学4门科目中选择的2门科目,每科满分均为100分,以等级赋分成绩计入考生总成绩。
改革前:分文理科,语数外+文综(理综),试卷分文科卷,理科卷,数学的难易程度不同,英语听力安排在英语笔试前,分两天考试完毕。
改革后:不分文理,语数外+任选三科。共有二十种组合方式。考试是语数外统一卷,加分考三科。英语听力分两次考试,取最高成绩,笔试分四天考完。
改革前:语数外各150分,加文综(理综)300分,总分750分,全部以原始分为准。
改革后:语数外各150分,任选的三科各100分,总分750分,语数外采用原始分,任选的三科采用等级分,最终高考分数为两者之和。
新高考引发的变化
新高考带来的变化主要体现在三个方面:
第一是选科,新高考是3+1+2模式,复读生一般按照物化生/史地政来选科即可。新高考的选科模式也提供了更多的可能性,对于有科目偏向性的同学,可以选择将部分科目进行调整转换。
第二是教材,作为新老高考的过渡年,教材用的还是旧教材,但针对新高考有增删,比如化学科目的有机、物构两本选修,现在都列入必修;数学科目删除坐标系与参数方程等。
第三是题型,参考2020年新高考改革省份的高考卷,可以大致看出题型的变化方向:数学部分单选题转化为多选题,英语新增读后续写、概要写作等小作文模块……
总体方向上,新高考对于学生的知识掌握能力与学科素养的考察更为深入。只要跟着老师的方向,努力学习,新高考带来的变化,这一年是完全可以克服的。
高考卷面80分,实际竟是75分?不了解新高考“等级赋分”考生要吃大亏!
“等级赋分”如何换算?
第三批高考改革省份改革方案一致,赋分规则一致:以等级分计入高考总分的某一科目,考生相应科目的合格性考试成绩达到合格后,转换时赋分起点为30分。
具体转换步骤如下:
1. 按照考生原始分从高到低划定A、B、C、D、E共五个等级,各等级人数所占比例分别为15%、35%、35%、13%和2%,从而将考生的原始分转换成了等级。
2. 将A至E五个等级内的考生原始分,按照等比例转换法则,分别对应转换到100~86、85~71、70~56、55~41和40~30五个分数段,得到考生的转换分,从而将考生的等级转换成了等级分。

转换公式:

其中:
Y表示原始分;
T表示转换分;
Y1、Y2分别表示原始分区间的下限和上限;
T1、T2分别表示转换分区间的下限和上限。
再举个例子
小风同学政治科目原始卷面分为75分,根据原始分排名,划定为B等级,赋分区间为85~71;
将相应分数代入转化公式,则小风同学的政治科目转化分为:

解得,T≈ 80(四舍五入取整),即小风同学政治科目等级分为80分。

如何在平时考试中自行赋分?
高考中的等级赋分由相关部门完成,无需家长和考生自行转换。而在平时的考试中,赋分同样重要。
对于高一高二学生来说,学生选择参加高考的科目理论上是在高考之前都可以改变的,在这个阶段对自己的赋分等级有一个大致的了解,帮助了解自己各科的水平是在哪一个等级,选择自己有利学科,尽早决定自己的选科方向。
对于高三学生来说,虽然不再建议学生更改选科,但了解自己选科的等级赋分分数,更方便学生估分衡量自己与目标大学的差距。
分数不再所见即所得,若每次都要按照一定的算法和公式自行换算,实在有些麻烦。
等级赋分的影响
1.赋分制将会影响到同一科目同一分数段的竞争激烈程度。
举例:物理科目89-90分数段的人数较多,非常集中,按照本次测试成绩进行等级比例划分,90分属于A5等级,89分属于B1等级,根据原分值可能只相差一分,赋分后在不同等级,相差3分,因此每一分都变的很重要。
2.可能出现中分段成绩>赋分值,低分段成绩<赋分值。
例如:A考了80分,竞争多,赋分后等级低,B4等级赋分为76分;B考了20分,属于最后一个等级E,赋分40分。
3.弃物理现象,物理选考比例低
原因:物理科目难,选择物理的考生多为优秀学生,竞争大。形成恶性循环,物理高分段人群减少。
例如:
生物选考10000人,前1%为满分,会出现100个满分。
物理选考1000人,前1%为满分,会出现10个满分。
因此,物理选考人数越少,得高分的比例越低,会引发更多的人弃选物理,形成恶性循环。
针对物理情况,学校和其他省市教育考试院也做了相关要求,如部分专业科目要求必须选考物理,选考物理报考的专业较多等等,部分教育考试院也出台了相关规定,保证最低选考物理人数,如不足,也按照最低规定人数进行等级赋分。
总体来说,等级赋分转换过程由系统自动完成,每科选考人数、考生整体成绩水平都会影响到最终赋分后的成绩。
政治、地理、化学、生物这4门以等级赋分成绩计入总成绩的科目,从0到100分的卷面原始分区间压缩到30-100分的赋分区间,整体成绩的区分度实际上降低了。
目前学生选科存在哪些盲目行为?
1、一窍不通抓阄选
我们这一级其实就存在这个问题,很多学生根本不知道怎么选课,父母更不懂,所以用一窍不通来形容一些同学一点不为过。啥也不懂就上战场拼刺刀,结局早已注定。无论是孩子还是父母都应该提前打听打听,不能到最后抓阄来选课,命运不能教给小纸团,要自己把握。
2、跟风式胡乱选择
这种情况是最多的,为什么我校扎堆选择理化生,尤其是物理,一方面选物理确实重要,因为这样大学专业几乎没有限制,但是如果物理成绩很不好呢?也还得选吗?实际情况就是有些物理成绩不好的学生也跟风选了,好像不学物理让人感觉不够聪明,属于智商低行列似的。强求的后果就是任人宰割。
3、靠感觉感性选择
也有不少学生完全跟着感觉走,自己感觉哪门学科学的还可以,成绩还不错就选了,其实人家这一门成绩好的更多,大部分都比你强。
也有的同学自己比较自己的各科情况,认为其中某几科成绩相对其它科较好,于是就选了,而不是和别人比较。自己相对弱的学科比如政治,虽然平时考不过物理,但是由于政治本身就不容易考高分,大部分同学都是这种情况,所以自己的政治也许不如物理,但是在所有学生当中还是靠前的,绝对分值不高,但是最后赋分会很高。
4、靠兴趣爱好选择
有的学生是因为喜欢某个学科,或者喜欢某个老师,最终选了这门学科,上课喜欢听这个老师的课,但是就是考不了高分。这种情况也有,我把这样的孩子成为傻学生,喜欢老师和你最终能考多少分是两码事,不能感情用事,老师不能最后帮你考大学。
高一学生选科,怎么避免各种坑?
1、别只看总分,看单科排名
以后每次考试就得格外注意你的排名情况,尤其是大平台考试参考意义更大。不要沉醉于你考了多少分,不要因为物理96分沾沾自喜,更不要因为政治76分自卑,要知道物理的96分也许就是平均分,而政治76分属于高分。
班级成绩排名,学校年级成绩排名,市级统考排名,各地联考成绩排名都要看,每次都要认真分析,自己对着等级赋分规则表格,自己给自己多估估分。
2、不仅要认识自己,更要认识别人
别再拿着自己那几门学科瞎比较,没有任何意义,相对优势是你和别人来说的,不是你自己各科来说的。
知己知彼才能百战不殆,其实大家可以了解别人的渠道很少,也就是平时各种考试,所以大家一定要珍惜每一次考试,哪怕是平时月考。
学会看成绩分析,学会找到自己的弱点,不要拿自己弱点比别人,不要想着恶补短板,短板要放弃,找到自己长处,拿你的长处和别人比。
3、不要扎堆选,不要盲目跟风
如果你是学霸,尽量不要扎堆选某个学霸组合,除非你是真学霸,当然真要是扎堆选某个学科或者组合,对真学霸是最好的。因为人数越多,对学霸越有利。也就是说如果这个组合里各种学生都有,好的、中等的、差一些的,真学霸优势会非常明显,怕就怕那种全部是学霸扎堆的,稍不留神少考几分就完了。
对学霸来说记住一点:人数如果越多,但学生结构层次越乱那种组合是最好的,如果人数太少反倒是不好的。
4、差异化选择,以优对劣
如果你是个中等学生,平时各科成绩也不是很突出,那么建议你肯定别去学霸区,别指望你能逆袭。可以选择去程度差一点的地区,就当是扶贫了。
一般那些成绩不是很好的学生往往会选择纯文科组合,这种组合现在因为一些同学心理上存在偏见,学霸不会选,再加上成绩不理想从而选的人数不多,但是,如果你感觉成绩还可以,不妨在这里试一试,兴许你就成了“瘸子”里的将军。
温馨提示
从等级赋分的计算中可以看出,新高考改革后,政治、地理、化学、生物这四门选考科目的等级赋分,不仅受到卷面分影响,还与命题难易程度、所选科目人数息息相关。
01
考生成绩进行等级转换后,与原始分(卷面分)相比,可能偏高,可能偏低,也有可能相等,这主要取决于命题的难易。如果题目偏简单,考生原始分数就会整体偏高,转换后的等级分数低于原始分数的可能性就比较大;反之,如果题目偏难,考生原始分数会整体偏低,转换后的等级分数就可能高于原始分数。
02
当排名固定时,选考同一类型科目的人数越多,该科目赋高分机会越多。假设小明同学选考化学科目,原始分94分。如果全省共有5万人选考化学,小明排3000名,按照等级比例,他的等级为A(约17%);如果1万人选考,那么同样考3000名,就成为B(约35%)等级,最后的赋分也会差一个等级。新高考改革后,我们要更重视班级、学校、全市、全省排名。
03
选考科目成绩主要取决于你的排名情况,如果你单科是全省第一,那么不管你卷面考了多少分,最终的赋分成绩都会是100分;而如果你是全省倒数第一名,那么也是不管你考了多少,最终的赋分就是“起点分”(如30分)。
政治、地理、化学、生物这4门以等级赋分成绩计入总成绩的科目,从0到100分的卷面原始分区间压缩到30-100分的赋分区间,整体成绩的区分度实际上降低了。
所以,考生之间若要拉开差距,重点仍在语、数、外及物理/历史,这些按照原始分计入高考成绩的科目上。明白了等级赋分制度的特点,你就需要关注排名,关注位次,而不仅仅是你的学习成绩。当然,最终还是要靠自己奋斗的,不努力肯定不行,但是在讲究策略的前提下,你的努力才会有更好的回报。
版权声明:我们致力于保护作者版权,注重分享,被刊用文章【高考赋分公式(新高考等级赋分制全解密)】因无法核实真实出处,未能及时与作者取得联系,或有版权异议的,请联系管理员,我们会立即处理! 部分文章是来自自研大数据AI进行生成,内容摘自(百度百科,百度知道,头条百科,中国民法典,刑法,牛津词典,新华词典,汉语词典,国家院校,科普平台)等数据,内容仅供学习参考,不准确地方联系删除处理!;
工作时间:8:00-18:00
客服电话
电子邮件
beimuxi@protonmail.com
扫码二维码
获取最新动态
