导数的综合应用题型归类是高考每年必然考察的主要内容,填空题和选择题都出现过相关的考试试题,小题更是每年高考必考。
今天给大家分享的资料里面包含了:知识点、题型、解题方法详细解析!把这些吃透高分不在话下!
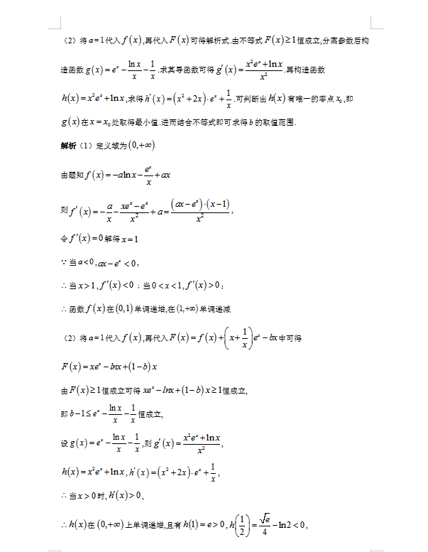
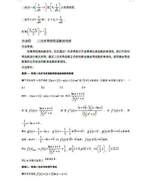
导数压轴题十种构造方法大全以及解题方法导引(详解)
版权声明:我们致力于保护作者版权,注重分享,被刊用文章【高考数学压轴题解题技巧(高考数学)】因无法核实真实出处,未能及时与作者取得联系,或有版权异议的,请联系管理员,我们会立即处理! 部分文章是来自自研大数据AI进行生成,内容摘自(百度百科,百度知道,头条百科,中国民法典,刑法,牛津词典,新华词典,汉语词典,国家院校,科普平台)等数据,内容仅供学习参考,不准确地方联系删除处理!;
工作时间:8:00-18:00
客服电话
电子邮件
beimuxi@protonmail.com
扫码二维码
获取最新动态
