盼望着,盼望着
单招和综评考试进入倒计时
尽管时间已悄然来到五月
但考生们依然翘首以盼
愿考生们努力拼搏
我们期待与你们相见
请广大师生将此条微信
转发给您的亲朋好友
欢迎大家报考威职
威海职业学院,一个校内有海的高校
1 招生对象
单独考试招生面向我省中等职业学校毕业生和往届高中阶段学校毕业生(含退役军人、下岗失业人员、农民工、农民、在岗职工等)开展。
综合评价招生面向我省应届普通高中毕业生开展。
考生须通过山东省2020年普通高校考试招生(含春季高考和夏季高考)报名后,方可参加单独招生或综合评价招生。
2 报名时间
2020年5月21日至24日,考生采用网上报名的方式,通过登陆山东省教育招生考试院报名平台或者威海职业学院官网,进入指定的报名平台进行报名(选择“12326威海职业学院”填报专业志愿)。
山东省教育招生考试院报名平台:
http://wsbm.sdzk.cn/gzdz/
威海职业学院官网:
http://www.weihaicollege.com
3 缴费和下载准考证
报名考试费:120元(参照鲁价费函〔2016〕95号文件规定标准)。报名成功的考生,请于2020年5月22日至25日登陆威海职业学院官网,进行网上缴费,具体缴费方式详见威海职业学院官网的通知。
通过网上报名并缴费成功的考生,请于2020年5月27日至31日登陆威海职业学院官网,查看线上考试信息、下载打印准考证。
4 考试安排
考试时间:
模拟测试:2020年5月27日至30日
正式考试:2020年6月2日上午9点开始
模拟测试和正式考试具体时间以威海职业学院官网、官微通知为准。
考试形式:
所有考试均为网络线上测试。威海职业学院将于2020年5月26日前在威海职业学院官网及官微公众号同步发布在线模拟测试及正式考试的有关通知(具体考试日程、操作规范以学院官网、官微通知为准)。
考生应注意随时关注学院官方媒体,按要求准备好网络、终端设备和通知要求的其他材料,及时参加模拟测试,模拟测试不计成绩。
考试科目、命题范围及分值:
一、考试科目
分为综合知识测试和专业素质(技能)测试,所有考生只参加一个科目的考试。
单独考试招生中报考服装与服饰设计(迪尚专班)、服装与服饰设计(联桥专班)、服装设计与工艺、服装设计与工艺(迪尚专班)、数字媒体应用技术、动漫设计、动漫设计(校企合作)、广告设计与制作、数字媒体艺术设计(校企合作)、空中乘务(校企合作)、健康管理、音乐表演、学前教育等专业的考生需参加专业素质(技能)测试,其他专业均需参加综合知识测试。
综合评价招生中报考空中乘务(校企合作)、健康管理、音乐表演和学前教育的考生需参加专业素质(技能)测试,其他专业的考生均需参加综合知识测试。
二、命题范围
1. 综合知识测试
主要测试基础教育阶段文化知识、专业认知、语言表达及职业发展潜力。
2. 专业素质(技能)测试
a. 服装与服饰设计(迪尚专班)、服装与服饰设计(联桥专班)、服装设计与工艺和服装设计与工艺(迪尚专班)专业的考生测试内容为“服装款式设计与结构制图”;
b. 数字媒体应用技术、动漫设计、动漫设计(校企合作)、广告设计与制作和数字媒体艺术设计(校企合作)专业的考生测试内容为“素描”或“photoshop”二选一;
c. 空中乘务(校企合作)和健康管理专业的考生参加专业素质面试;
d. 音乐表演专业测试内容为“声乐”“舞蹈”“键盘”或“器乐”,考生可任选其中一项;
e. 学前教育专业测试内容为“幼儿故事讲述”“儿歌弹唱”“幼儿舞蹈表演”,考生可任选其中一项。
三、考试分值
综合知识测试和专业素质(技能)测试总分均为300分。
1. 单独考试招生
最终成绩以综合知识测试或专业素质(技能)测试实际得分为准。
2. 综合评价招生
两部分成绩:一是“考生高中学业水平考试分数”(从山东省教育招生阳光数据管理平台下载报考本校考生的高中学业水平合格考试成绩)占总成绩40%;二是综合知识测试成绩或专业素质(技能)测试占总成绩60%。
四、免试政策
根据山东省教育招生考试院2020年相关文件精神,今年继续对参加单独考试招生中符合条件的考生实行免试政策。其免试条件为:在校期间参加全国及全省职业院校技能大赛获得三等奖及以上的中等职业学校应届毕业生,或具有高级工及以上职业资格,且获得县级以上劳动模范(含同等荣誉)称号并具有中等职业教育学历在职在岗人员。具体申请流程详见威海职业学院招生信息网(网址:http://zhaosheng.weihaicollege.com)。
五、考试的组织,实施及监管
考试将严格按照《山东省普通高校统一考试实施细则》及省教育厅有关工作会议的指示精神组织实施,确保试题命制、保存、上传题库等环节按国家秘密级事项严肃监管,严格封存考试、阅卷和评分的全程录像资料和数据记录。学院将选用有效的在线测试平台,制定科学合理的评分标准,并依据标准评卷,加大信息公开及结果公示力度,确保考试命题、组织和评分等工作公正、透明。
被录取的新生入学后学院将组织入学考试,针对成绩排名与在线考试名次差距较大的考生将启动作弊调查程序,经查明有考试违规行为的考生或工作人员,将按照《国家教育考试违规处理办法》(教育部令第33号)和《普通高等学院招生违规行为处理暂行办法》(教育部令第36号)等有关规定严肃处理。
温馨提示
单独考试招生、综合评价招生和统招只是入学方式不同,入校后单招考生、综合评价考生和统招考生的待遇相同,学籍、毕业证、享受国家奖助学金等方面都是一样的。
单独考试招生和综合评价招生系列工作,按照国家的有关规定,必须于高考前完成录取。按照教育部规定,考生参加单独考试招生和综合评价招生,若被正式录取,无需参加2020年统一高考;未被录取的可继续参加2020年统一高考。所以大家不要担心,不会和高考发生冲突的。
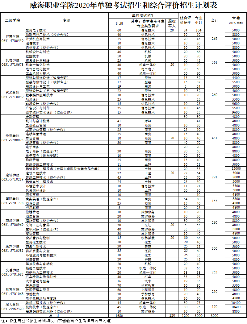
5 招生计划
6 招生专业介绍
威职欢迎你丨 @2020考生:单招和综评招生专业介绍权威发布(具体专业介绍,请点击查看)
部分专业报名提示
为便于退役军人、下岗失业人员、农民工、农民、在岗职工等身份的学生日后学习方便,我院在应用电子技术、机电一体化技术、市场营销、建筑工程技术、烹调工艺与营养、食品营养与检测等6个专业提供集中与分散结合、线上与线下结合的教学方式,但每年集中授课时间不少于400学时。
酒店管理(校企合作)
报名条件:女生:身高158cm-178cm,男生:身高170cm-185cm;体重=(身高cm-110)×0.9至(身高cm-110)×1.1;视力:双眼矫正视力在E形表上不低于4.8;色觉、嗅觉正常;面部、颈部、手部、前臂、女生小腿无明显疤痕,无纹身;口齿清楚、中、英文发音标准,听力正常;无精神病史、无肝炎病史、无传染疾病、无明显内外八字。
空中乘务(校企合作)
报名条件:女生:身高162cm-174cm,男生:身高172cm-184cm;体重=(身高cm-110)×0.9至(身高cm-110)×1.1;视力:双眼矫正视力在E形表上不低于4.8;色觉、嗅觉、听力正常;口齿清楚、中、英文发音标准;面部、颈部、手部、前臂、女生小腿无明显疤痕;无明显内外八字;无精神病史、无肝炎病史、无传染疾病。
轮机工程技术(校企合作)
报名条件:男女生均可报考。身高155cm及以上;体重=(身高cm-110)×0.9至(身高cm-110)×1.1;视力:双眼矫正视力在E形表上不低于4.8;色觉、嗅觉正常;面部、颈部、手部、前臂无明显疤痕;口齿清楚,听力正常;无精神病史、无肝炎病史、无传染疾病、无明显内外八字。
航海技术(校企合作)
报名条件:男女生均可报考。身高165cm及以上;体重=(身高cm-110)×0.9至(身高cm-110)×1.1;视力:双眼矫正视力在E形表上不低于4.8;色觉、嗅觉正常;面部、颈部、手部、前臂无明显疤痕;口齿清楚,听力正常;无精神病史、无肝炎病史、无传染疾病、无明显内外八字。
高速铁路客运乘务(校企合作)
报名条件:女生:身高162cm-178cm,男生:身高170cm-180cm;体重=(身高cm-110)×0.9至(身高cm-110)×1.1;视力:双眼矫正视力在E形表上不低于4.8;色觉、嗅觉正常;面部、颈部、手部、前臂、女生小腿无明显疤痕,无纹身;口齿清楚,听力正常;无犯罪史,无精神病史、无肝炎病史、无传染疾病、无明显内外八字。
7 招生咨询
-5700555 5711688
官方招生QQ群:96669877
学院网址:www.weihaicollege.com
学院地址:山东省威海市科技新城(初村北海)
我们在威职等你呦!
--END--
编辑:李小果
来源:威海职业学院
版权声明:我们致力于保护作者版权,注重分享,被刊用文章【威海职业学院官网(威职欢迎你)】因无法核实真实出处,未能及时与作者取得联系,或有版权异议的,请联系管理员,我们会立即处理! 部分文章是来自自研大数据AI进行生成,内容摘自(百度百科,百度知道,头条百科,中国民法典,刑法,牛津词典,新华词典,汉语词典,国家院校,科普平台)等数据,内容仅供学习参考,不准确地方联系删除处理!;
工作时间:8:00-18:00
客服电话
电子邮件
beimuxi@protonmail.com
扫码二维码
获取最新动态
