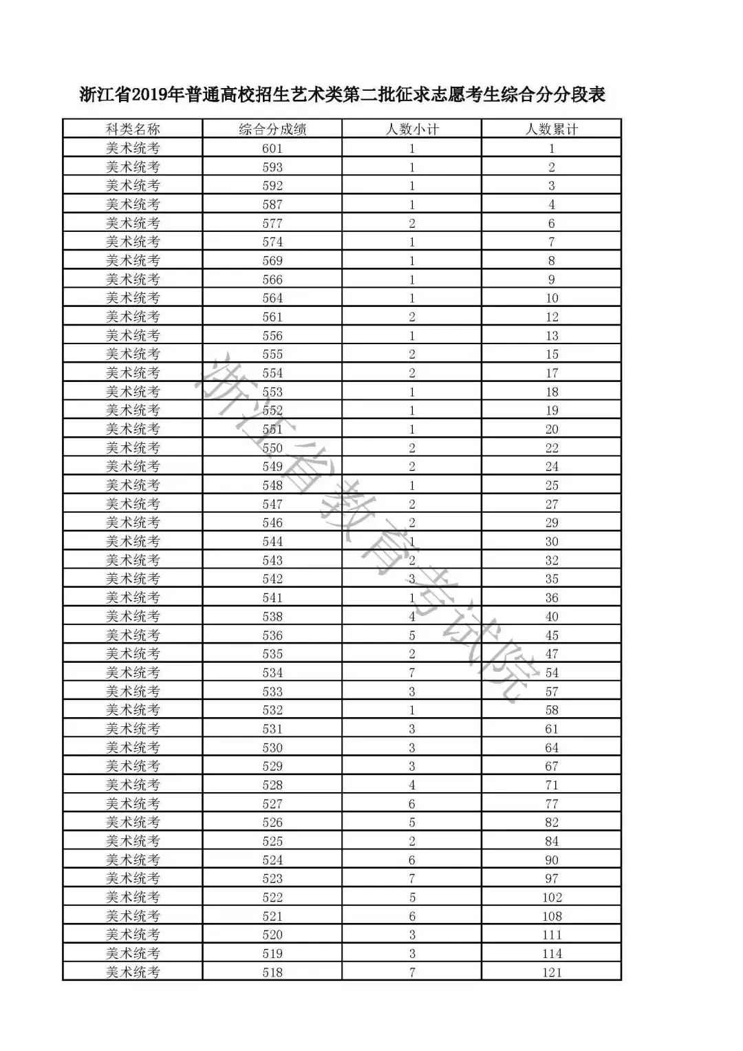
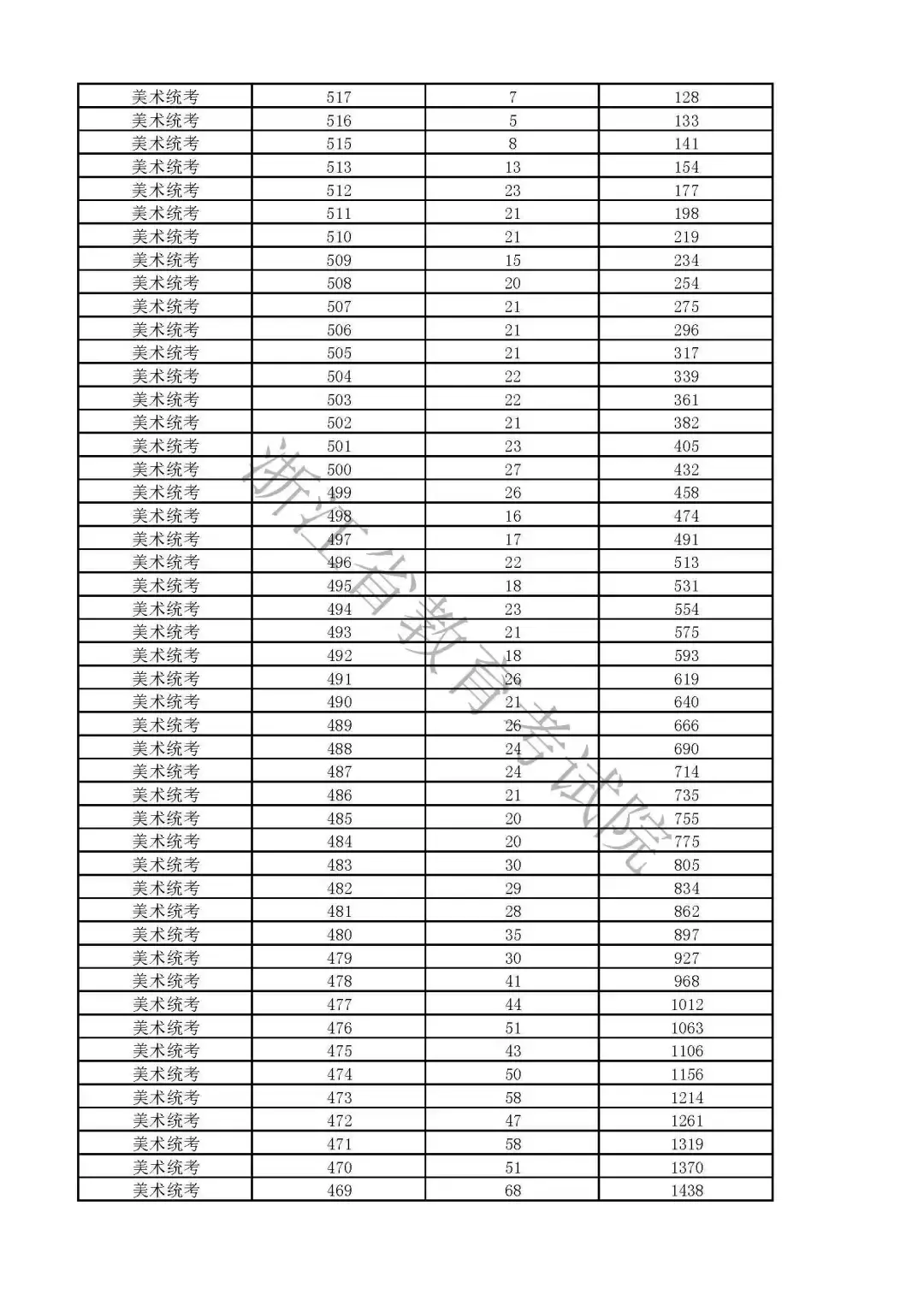
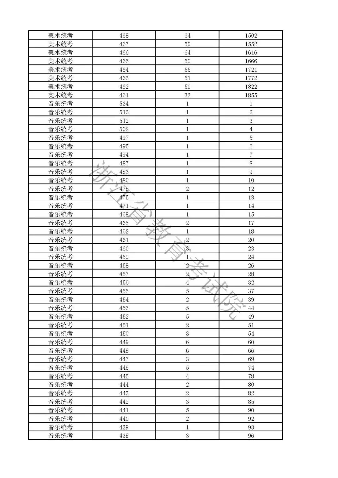
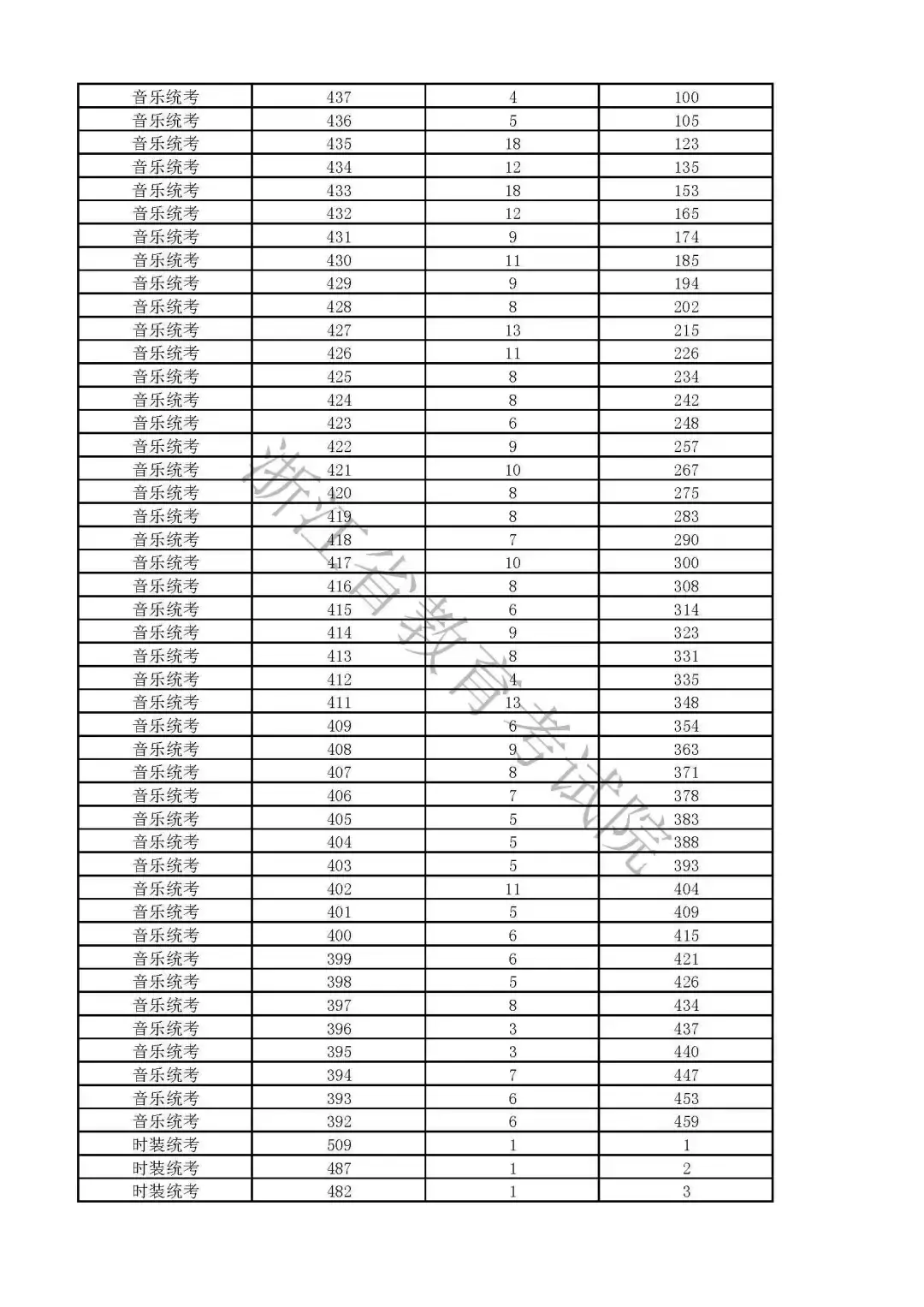
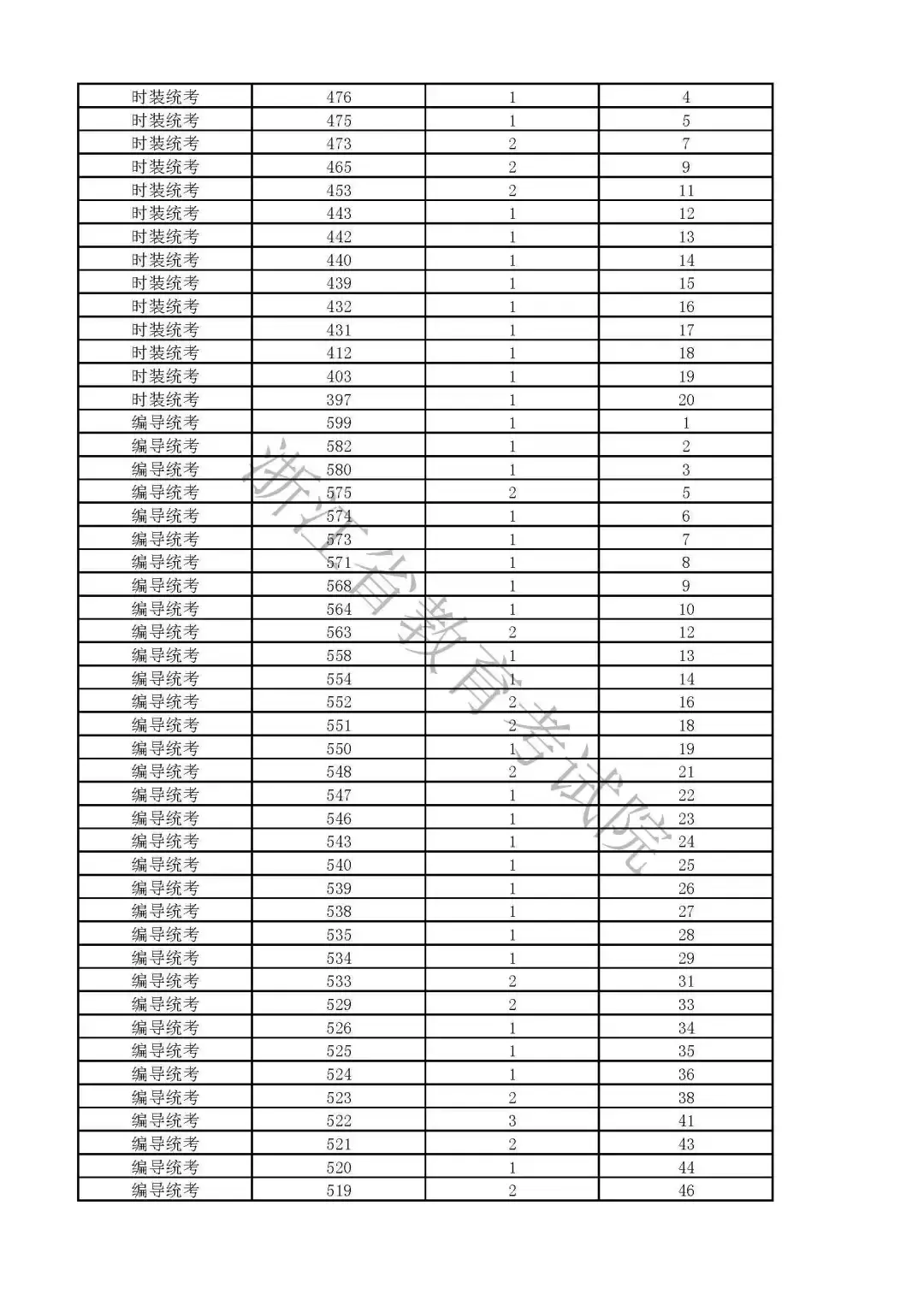
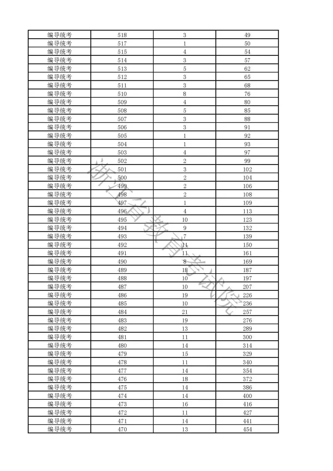
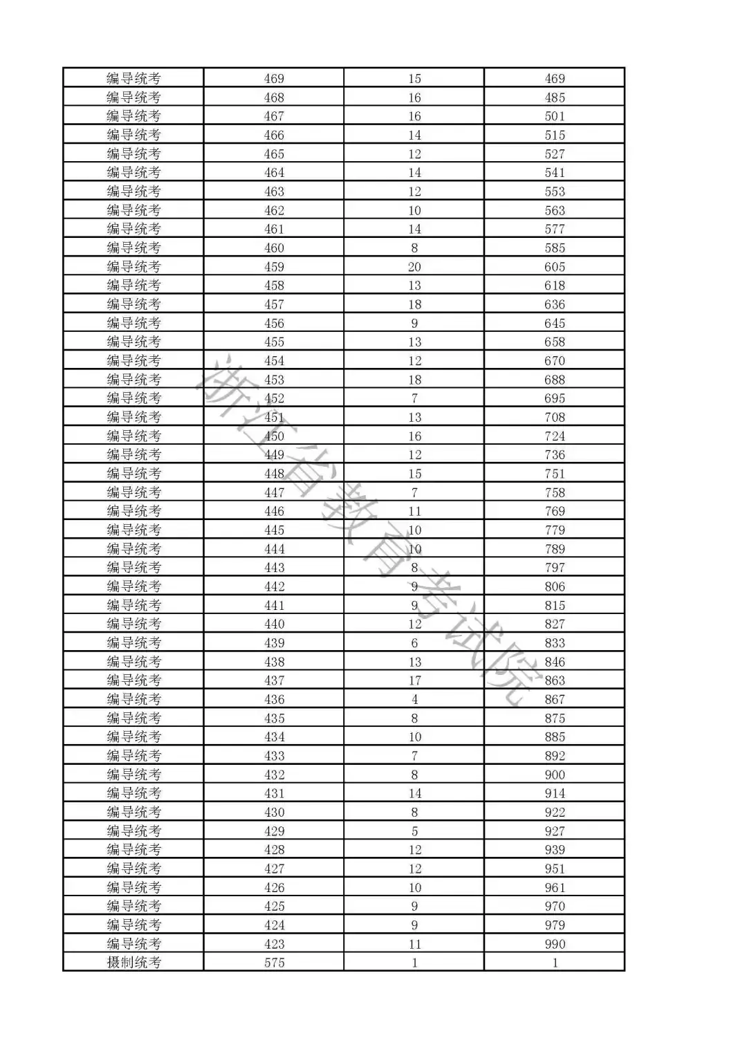
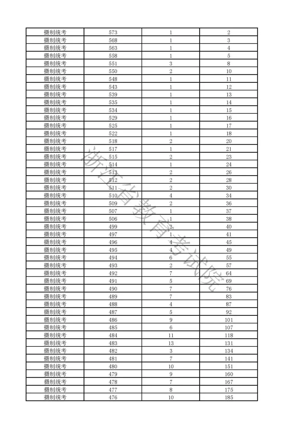
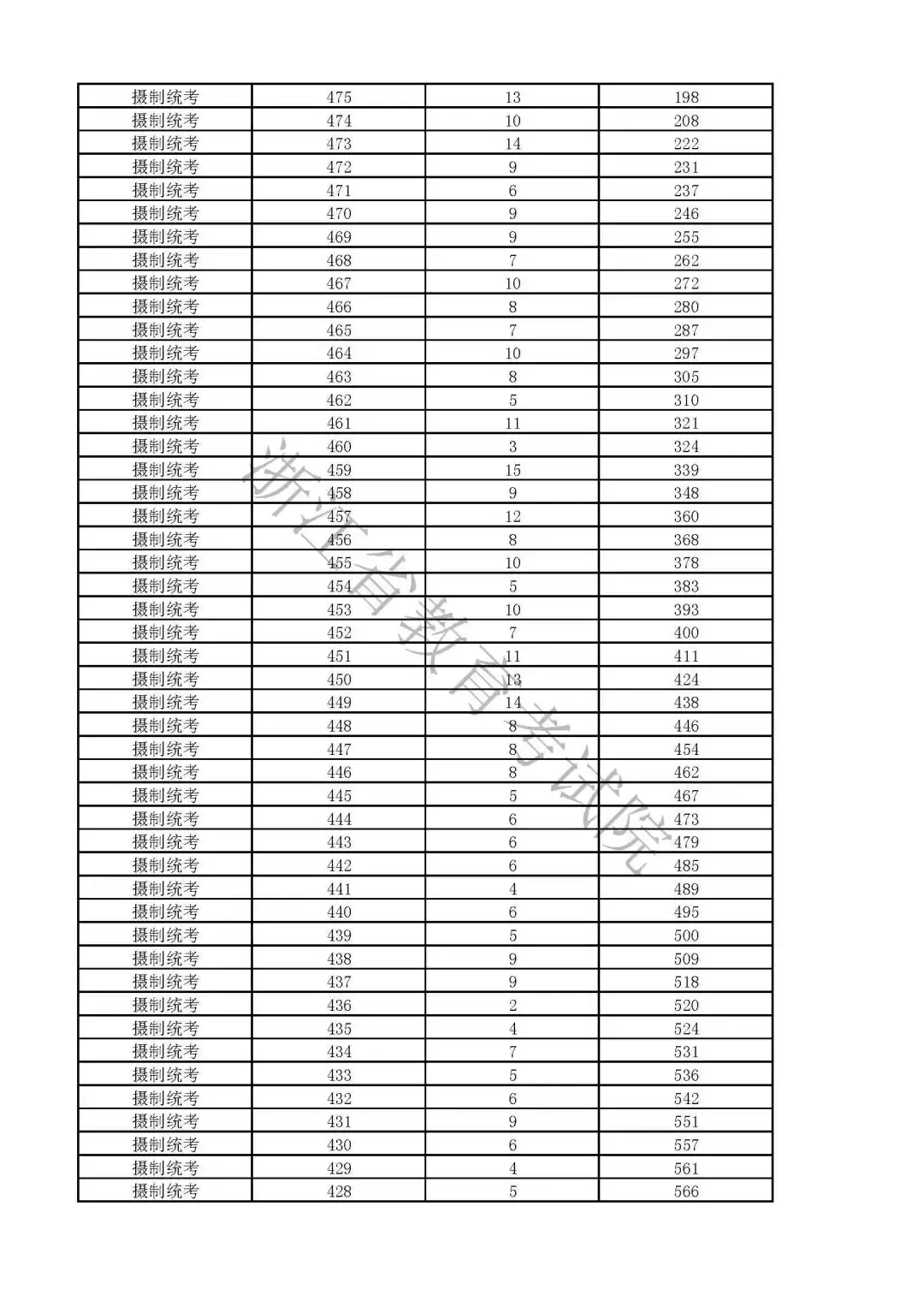
刚刚从浙江省教育考试院获悉,浙江省高考普通类第三段平行志愿填报将于8月3-4日进行。还有少量艺术类招生计划尚未招足,也在上述时间征求志愿。考生可登录浙江省教育考试院网站(www.zjzs.net)“浙江省高校招生考试信息管理系统”,查看可填报的院校专业计划。三段线上考生总分成绩分段表刚刚出炉,赶紧来看看考生分布情况,帮助自身定位吧。














*本文来源自微信公共号:zjsjyksywx,如需转载请标明出处,如有侵权请评论留言删除!
版权声明:我们致力于保护作者版权,注重分享,被刊用文章【浙江高考三段填报时间(浙江)】因无法核实真实出处,未能及时与作者取得联系,或有版权异议的,请联系管理员,我们会立即处理! 部分文章是来自自研大数据AI进行生成,内容摘自(百度百科,百度知道,头条百科,中国民法典,刑法,牛津词典,新华词典,汉语词典,国家院校,科普平台)等数据,内容仅供学习参考,不准确地方联系删除处理!;
工作时间:8:00-18:00
客服电话
电子邮件
beimuxi@protonmail.com
扫码二维码
获取最新动态
