转自建筑结构《某多层外倾钢框架结构隔震设计与分析》作者:闫琪, 包联进, 朱晓东
[摘要] 某多层钢框架结构高度约21m,结构抗侧刚度由建筑外围的框架提供。建筑体型向外倾斜,受限于建筑效果的要求,周边框架不能设置支撑。经过方案比选,选择采用基础隔震形式,以减小上部结构的地震响应,从而降低上部结构抗侧刚度的需求,实现建筑结构一体化设计。隔震层采用铅芯橡胶支座和弹性滑板支座混合布置的形式,得到的水平向减震系数约0. 5,且在风荷载作用下隔震层保持弹性工作状态。设计采取增大柱距等措施,保证隔震支座在罕遇地震作用下不致出现拔力。本工程结构自振周期较长,合理的隔震设计取得了理想的隔震效果,对同类工程有借鉴意义。
[关键词] 钢框架结构; 基础隔震; 抗侧刚度; 铅芯橡胶支座; 弹性滑板支座
上海董家渡D 地块新建项目位于上海市黄浦区董家渡社区322,323 街坊,地上包含景观大平台和文化中心两个结构单元,两者设防震缝脱开。本文主要介绍文化中心的结构设计,建筑效果图见图1。文化中心建筑面积约2 000m2,主要建筑功能为公共配套、展览、餐饮等。为实现建筑效果的需求,结构设计创新地引入隔震设计。
2. 1 结构特点
文化中心共4 层,1 ~ 3 层层高5. 1m,4 层层高5. 7m,大屋面结构标高21m,结构整体支承在景观大平台地下室顶板。
本工程整体呈上大下小的筒状,首层平面为椭圆,平面长轴方向长度自下而上由31. 8m 渐变至43. 8m,平面短轴方向长度自下而上由12. 3m 渐变至21. 5m( 图2) ; 沿高度方向,平面形状向外渐变延展。
图2 文化中心立面示意图
从平面尺寸而言,屋面层椭圆长轴方向长度约为首层的1. 5 倍,短轴方向长度约为首层的1. 7 倍。从平面形状而言,椭圆短轴方向保持对称,椭圆长轴方向的一端弧度不断变大、另一端弧度不断缩小,最终在屋面层呈现为一头大、一头小的近似椭圆形平面。
本工程平面中心设置采光中庭,中庭左侧为竖向交通核,其余为大开间,仅在平面周边设置框架柱。框架柱沿平面长轴方向对称布置,中心线的水平投影交于首层平面的形心点。框架柱均为向外倾斜的斜柱,倾斜角度( 斜柱与竖直面的夹角) 为13. 7° ~22. 8°,详见图3。
图3 外框柱倾斜角度( 与竖直面夹角)
本工程建筑外立面为通透的玻璃幕墙,建筑效果要求结构构件顺应外立面幕墙分割,不能设置立面支撑,同时尽可能减小结构框架柱的截面尺寸至直径500mm 以内。上海地区的抗震设防烈度为7度,且本工程临近开阔的黄浦江,地震作用及风荷载作用较大。建筑形体带来的框架柱向外倾斜、平面框架梁不能拉通等限制条件,均为对结构水平抗侧极为不利的因素。在满足结构受力需求和建筑外观效果需求的前提下,选取合适的结构体系,成为本工程结构设计的关键。基于上述条件,本文比选了两种结构布置方案。两种方案分别为: 1) 方案1 为非隔震方案,采用钢框架-支撑结构; 2) 方案2 为隔震方案,采用钢框架结构。
2. 2 非隔震方案
方案1 为非隔震方案,典型结构平面布置和立面布置示意如图4,5 所示。利用建筑竖向交通核,布置框架-支撑,从而与外框架柱形成钢框架-支撑结构体系。钢框架-支撑结构方案的出发点是提高结构抗侧刚度,以满足7 度抗震设防的要求。
图4 方案1 典型结构平面布置示意图
图5 方案1 结构剖面示意图
由于结构刚度中心与平面形心偏置,该方案结构特点表现为: 1) 若钢框架-支撑抗侧刚度不足,则结构整体刚度不满足7 度抗震要求; 2) 若钢框架-支撑抗侧刚度太大,则结构整体扭转效应严重,结构体系不能成立。
为减小结构刚心偏置的不利影响,适当削弱框架-支撑的刚度,仅在交通核局部设置三道钢框架-支撑,同时在结构另一端补充两根框架柱( 图4) ,以平衡框架-支撑的刚度。框架柱采用圆钢管柱,直径600mm,壁厚25mm,钢材强度等级为Q345GJB。
2. 3 隔震方案
方案2 为隔震方案,典型结构平面布置和立面布置示意如图6,7所示。钢框架结构方案则采用基础隔震设计,减小地震作用响应,从而降低结构抗侧刚度需求,为建筑结构设计提供更大的自由度。
在首层和地下室顶板之间设置高度2m 的隔震层,布置隔震支座。上部结构采用钢框架结构体系。取消平面长轴方向两端的框架柱,以削弱扭转效应,同时为建筑提供更好的室内景观效果。同时,在平面长轴方向两端各拉通两道框架梁,以提高短轴方向的抗侧刚度。框架柱采用圆钢管柱,直径450mm,壁厚25mm,楼面结构为钢梁-组合楼板体
系,典型外框钢梁截面为H1 000×400×18×25。钢材强度等级均为Q345GJB。
2. 4 方案比选
两种方案的主要整体指标对比如表1,2 和图8所示,由图表可知,两种方案的整体指标均满足《钢结构设计标准》( GB 50017—2017) [1]的设计要求。与非隔震方案相比,隔震方案的周边框架柱直径可由600mm 减小至450mm,框架柱柱距更大,且拔除了平面长边方向两端的柱子,建筑美观效果更好。此外,与非隔震方案相比,隔震方案的外框架结构用钢量由约435t 减小至约323t,节约的成本可用于隔震层建造。综合建筑效果、工程造价等因素,最终选定隔震方案,即采用钢框架结构。
3. 1 隔震设计关键及对策
随着技术水平的提高,隔震技术在周期较长的高层建筑中运用越来越多[2-3]。高层建筑通常具有周期较长、高宽比较大、易出现基底受拉等特点。本工程为多层结构,然而上部结构为向外倾斜的钢结构框架体系,平面长宽比约2. 4,高宽比约1. 3,一阶平动周期约2. 7s。结构倾覆效应明显,且平动周期较长,设计中必须对上部结构和隔震层布置采取合理的措施,以实现较好的隔震效果。
3. 1. 1 隔震支座拉力的处理
本工程形体上大下小,与形体上下一致或上小下大的结构相比,基底倾覆力矩力臂小,结构倾覆效应明显,在罕遇地震作用组合下,隔震支座可能出现拉力,从而危害结构安全。设计从上部结构布置和计算模拟两个方面来分析应对支座拉力问题。
( 1) 上部结构布置
设计调整了上部结构柱距,同时取消部分框架柱,以增大隔震支座的重力作用受荷面积,避免在罕遇地震作用下隔震支座受拉。
( 2) 隔震支座模拟
叠层橡胶支座在受拉时,处于拉剪工作状态[4]。研究表明,叠层橡胶支座在拉应力不超过1MPa 时表现为弹性受力状态,应力-应变曲线表现为双线性,受拉刚度约为受压刚度的1 /7。在线弹性计算分析中,如果采用拉压刚度相同的模拟假定,将会导致支座的拉力计算偏大,与实际不符。
本工程采用ETABS 软件中的Rubber Isolator 单元和GAP 单元共同来模拟叠层橡胶支座,采用如图9 所示的拉压刚度二线性假定[5],将支座的受压刚度的7 /8 指定给仅受压的GAP 单元,将支座的受压刚度的1 /8 和水平刚度指定给Rubber Isolator 单元,能较准确地反映支座受力状态。图9 中,Nt为支座拉力,Nc为支座压力,kt为支座受拉刚度,kc为支座受压刚度,δ 为支座竖向变形。
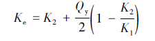
3. 1. 2 隔震层刚度选取
隔震层的水平恢复力特性表现为二线性[6],如图10 所示。其中,K1为隔震层屈服前刚度; K2为
图9 隔震支座竖向刚度简化模型
隔震层屈服后刚度; Q2为隔震层屈服后屈服力; Qy为隔震层屈服力; δ 为支座水平变形; δy为铅芯橡胶隔震支座屈服变形; δ为隔震层屈服变形。
隔震层等效刚度
本工程风荷载对隔震层屈服力起控制作用,Y 向风荷载较大,约700kN,设计在平面两个中轴线的端部布置了铅芯橡胶支座,支座屈服剪力合计约1 085kN,保证在风荷载作用下隔震层不会屈服。
本工程一阶平动周期较长,隔震设计应采取措施进一步延长结构周期,以实现更好的隔震效果。因此,在保证隔震层在风荷载作用下维持弹性工作的前提下,应尽可能减小隔震层水平刚度。在平面中部设置平板滑移支座,这些位置重力作用较大,在水平力作用下轴力较小。铅芯橡胶支座和平板滑移支座的混合布置,实现了隔震层水平刚度和水平恢复特性的平衡[7]。
3. 2 隔震层布置
在±0. 000 与地下室顶板间设置层高2m 的隔震层,上部结构框架柱到插入隔震层上支墩,假定柱脚为埋入式刚性固定柱脚,每个上支墩下均布置隔震支座,支座与框架柱中对中,如图11 所示。隔震支座下支墩采用厚板转换形式,且厚板延伸至地下室外墙,保证水平力的可靠传递。隔震层顶板可视作上部结构的嵌固端,设计将板厚加大至200mm并加强了楼板配筋。
基于以上结构特点,隔震支座平面布置如图12所示,在隔震层外围端部设置12 个铅芯橡胶支座( LRB700) ,在隔震层外围中部( 图12 虚线框内) 设置4 个弹性滑板支座( ESB900) ,铅芯橡胶支座( 橡胶剪切模量G 为0. 392) 和弹性滑板支座力学性能参数如表3 所示。
图12 文化中心隔震支座布置平面示意图
隔震层的偏心率是控制隔震结构扭转效应的重要指标,隔震层的刚心与质心宜一致。本工程隔震层在X 向和Y 向的偏心率分别为约1. 19%, 0. 17%,满足《建筑抗震设计规范》( GB 50011—2010) [8]( 简称抗规) 的设计要求。
3. 3 地震响应分析
采用ETABS 软件建立包含文化中心上部结构、隔震层、地下室相关范围结构在内的整体模型,选用7 条地震波( 其中2 条人工波为SHW1,SHW2; 5 条天然波为SHW3 ~ SHW7) ,加速度时程最大值为100cm/s2。通过ETABS 软件中的Nonlinear modal history 分析工况,考虑前80 阶振型,得出隔震后水平地震作用计算的水平地震影响系数,并验算隔震支座竖向承载力、隔震支座在罕遇地震作用下的最大位移等[9-11]。
3. 3. 1 弹性时程分析
采用ETABS 软件建立嵌固在地下室顶板的上部结构计算模型,通过计算得到的7 条地震波作用下结构的楼层剪力曲线见图13。由计算结果可知,7条地震波基底剪力的平均值大于规范反应谱计算得到的基底剪力的80%,单条地震波基底剪力大于规范反应谱得到的基底剪力的65%,满足设计要求。
图13 楼层剪力曲线
3. 3. 2 隔震后的水平向减震系数分析
考虑隔震后结构一阶平动周期由2. 66s 延长到3. 90s。对于多层建筑,水平向减震系数应按弹性计算,可通过所得各楼层隔震和非隔震层两种情况下各楼层最大层间剪力的比值( 即楼层剪力系数) 确定[6],楼层剪力系数曲线如图14 所示,其中X 向楼层剪力系数为0. 44 ~ 0. 47,Y 向楼层剪力系数为0.51~0.54。设计取水平向减震系数β 为0. 54。隔震后的水平向减震系数最大值αmaxl = βαmax /ψ =
图14 楼层剪力系数曲线
0. 54×0. 08 /0. 85 = 0. 051。
3. 3. 3 隔震层滞回性能
理想的隔震模型是将上部结构假定为一个质点,楼层地震反应加速度曲线如图15 所示,由图可见,上部结构各个楼层地震反应加速度差异很小,基本符合单质点假定。
图15 楼层地震反应加速度曲线
选取典型铅芯橡胶支座和弹性滑板支座,绘制支座在设防地震和罕遇地震作用下的滞回曲线,如图16,17 所示。由图可知,支座滞回曲线较为饱满,可认为隔震支座充分发挥了其力学性能,处于稳定工作状态。隔震层吸收了大部分的地震能量,从而减小了上部结构本身的黏滞耗能,提高抗震性能[12]。
3. 3. 4 隔震支座分析
本工程隔震支座长期应力和短期应力验算如表4 所示。在罕遇地震作用下,隔震支座并非均匀受力,支座短期压应力限值应留出足够的安全余量,铅芯橡胶支座和弹性滑板支座的短期压应力限值分别为30, 40MPa [13]。
铅芯橡胶支座在受拉屈服后,可能出现内部破
损,再次承受剪压荷载时其性能会大打折扣,因此抗规将支座拉应力限值控制在1MPa 以内,本工程隔震支座在罕遇地震作用组合下未出现拉应力。隔震支座直径700mm,经计算得到的最大变形约236mm,不超过抗规规定的变形限值( [ui]) 260mm的要求。
3. 4 隔震结构构造设计
本工程隔震支座节点构造见图18。隔震支座应与上支墩、下支墩可靠连接,隔震层底转换厚
图18 隔震支座节点详图
板,按照中震弹性和大震抗剪弹性性能目标设计,板厚1 000mm,双层双向配筋16@ 150,在中震作用下,厚板主应力最大值约2. 0MPa,剪应力最大值约1MPa。
( 1) 本工程结构整体向外倾斜,仅靠外围的钢框架提供抗侧刚度,抗侧刚度较弱。文中介绍的两种设计方案均成立,其中隔震方案能实现更好的建筑美观效果,最终设计选择隔震方案。
( 2) 设计通过增大柱距等措施,并采取合理的隔震支座计算模拟单元,有效减小了隔震支座在罕遇地震作用下的拉力。
( 3) 本工程结构自振周期较长,通过合理的设计,仍取得了较理想的隔震效果,可供同类工程参考。
[1] 钢结构设计标准: GB 50017—2017[S]. 北京: 中国建筑工业出版社, 2018.
[2] 王曙光,杜东升,刘伟庆,等. 高层建筑结构隔震设计关键问题[J]. 南京工业大学学报, 2009, 31( 1) : 67-72.
[3] 候宝隆.日本隔震技术的新发展与控震技术的实际应用[J]. 工业建筑, 2000, 30( 11) : 74-78.
[4] 韩强,杜修力,刘文光,等. 橡胶隔震支座拉伸性能试验研究[J]. 北京工业大学学报, 2006, 32( 3) : 208-212.
[5] 程华群,刘伟庆,王曙光.高层隔震建筑设计中隔震支座受拉问题分析[J]. 地震工程与工程震动,2007,27( 4) : 161-166.
[6] 日本免震构造协会.图解隔震结构入门[M].叶列平译.北京: 科学出版社, 1998.
[7] 杜东升,王曙光,刘伟庆,等. 高层建筑组合隔震的设计方法与研究[J]. 东南大学学报,2010,40( 5) : 1039-1046.
[8] 建筑抗震设计规范: GB 50011—2010[S]. 北京: 中国建筑工业出版社, 2010.
[9] 易鸣,姚运生,王秋良,等. 某框架结构基础隔震地震反应对比分析[J]. 地震工程学报,2019,41( 2) :76-82.
[10] 邢珏蕙,閤东东,卜龙瑰,等. 西昌市某高层剪力墙结构隔震设计与分析[J]. 地震工程学报,2019,41( 2) :332-339.
[11] 杜东升,王曙光,刘伟庆,等. 宿迁某高层办公楼基础隔震设计方法[J]. 建筑结构, 2010, 40( 11) : 49-53.
[12] 北村春幸. 基于性能设计的建筑振动解析[M]. 裴星洙,等译.西安: 西安交通大学出版社, 2004.
[13] 丁洁民,吴宏磊. 减隔震建筑结构设计指南与工程应用[M]. 北京: 中国建筑工业出版社, 2018.
注:本文转自建筑结构《某多层外倾钢框架结构隔震设计与分析》作者:闫琪, 包联进, 朱晓东,仅用于学习分享,如涉及侵权,请联系删除!
版权声明:我们致力于保护作者版权,注重分享,被刊用文章【北京工业大学学报(转)】因无法核实真实出处,未能及时与作者取得联系,或有版权异议的,请联系管理员,我们会立即处理! 部分文章是来自自研大数据AI进行生成,内容摘自(百度百科,百度知道,头条百科,中国民法典,刑法,牛津词典,新华词典,汉语词典,国家院校,科普平台)等数据,内容仅供学习参考,不准确地方联系删除处理!;
工作时间:8:00-18:00
客服电话
电子邮件
beimuxi@protonmail.com
扫码二维码
获取最新动态
