几个世纪以来,人类最优秀的头脑已经解决了一个又一个数学问题,但到目前为止,还有几个问题没有向任何人屈服。为了找到解决方案的算法,一些基金和公司准备支付大量资金。
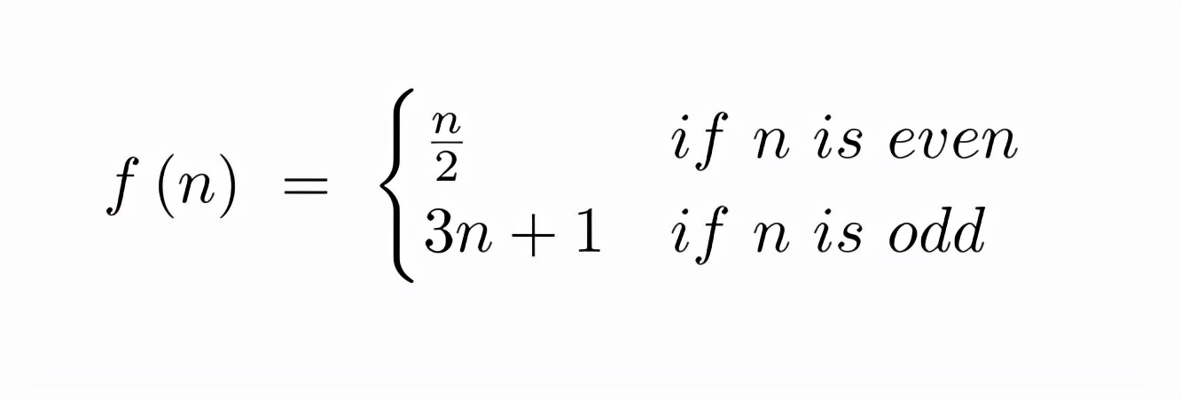
其他名称:3n + 1 猜想、雪城问题、冰雹数。如果你取任何自然数 n 并用它进行以下变换,迟早你总会得到一个。偶数 n 必须一分为二,奇数 n 必须乘以 3 并加 1。对于数字 3,序列将是这样的:3 × 3 + 1 = 10, 10: 2 = 5, 5 × 3 + 1 = 16, 16: 2 = 8, 8: 2 = 4, 4: 2 = 2 , 2: 2 = 1。显然,如果从 1 继续转换,则循环 1、4、2 将开始。很快,计算中的步数开始超过一百,并且需要越来越多的资源来解决每个新序列。
近一个世纪前,在解决这个问题方面几乎没有进展,上个月才从字面上概述了这一点。然而,美国著名数学家陶哲轩只是离他最近,却始终没有找到答案。Collatz 假设是动力系统等数学学科的基础,而动力系统又对许多其他应用科学(如化学和生物学)很重要。Syracuse 问题看起来是一个简单、无害的问题,但这正是它的特别之处。为什么这么难解决?
另一个问题,其措辞看起来比蒸萝卜简单——任何偶数(大于 2)都可以表示为两个素数的和。而这正是现代数学的基石。对于小值,这个陈述很容易在心理上得到验证:18 = 13 + 5, 42 = 23 + 19。而且,考虑到后者,我们可以很快理解问题的全部深度,因为 42 既可以表示为 37 + 5 和 11 + 31,也可以表示为 13 + 29 和 19 + 23。对于超过一千的数字,术语对的数量变得非常庞大。这在密码学中非常重要,但即使是最强大的超级计算机也无法无限地迭代所有值,因此需要对所有自然数进行一些明确的证明。
这个问题是由克里斯蒂安·哥德巴赫在 1742 年与另一位伟大的数学家伦纳德·欧拉的通信中提出的。克里斯蒂安本人以更简单的方式提出了这个问题:“每个大于 5 的奇数都可以表示为三个质数的和。” 2013 年,秘鲁数学家 Harald Helfgott 找到了这个选项的最终解决方案。然而,欧拉提出的这个说法的后果,被称为“二元哥德巴赫问题”,仍然无人能及。
双子座就是这样的素数,只相差 2。例如,11 和 13,以及 5 和 3 或 599 和 601。如果自古以来已经多次证明了一系列素数的无穷大,那么孪生数的无穷大值得怀疑。从 2 开始,素数中没有偶数,从 3 开始,没有人可以被 3 整除的素数。因此,如果从系列中减去所有符合“除法规则”的值,则可能的双胞胎数量会越来越少。求此类数的公式的唯一模块是 6,公式如下所示:6n ± 1。
在数学中,如果问题没有“正面”解决,就会从另一端解决。例如,2013年证明相差7000万的素数是无限的。同时,相差不到一个月,差值就提高到了59 470 640,然后又提高了一个数量级——到了4 982 086。 目前,无穷大是有理论依据的一对质数相差 12 和 6,但相差仅 246。与其他此类问题一样,孪生数假设对于密码学尤其重要。
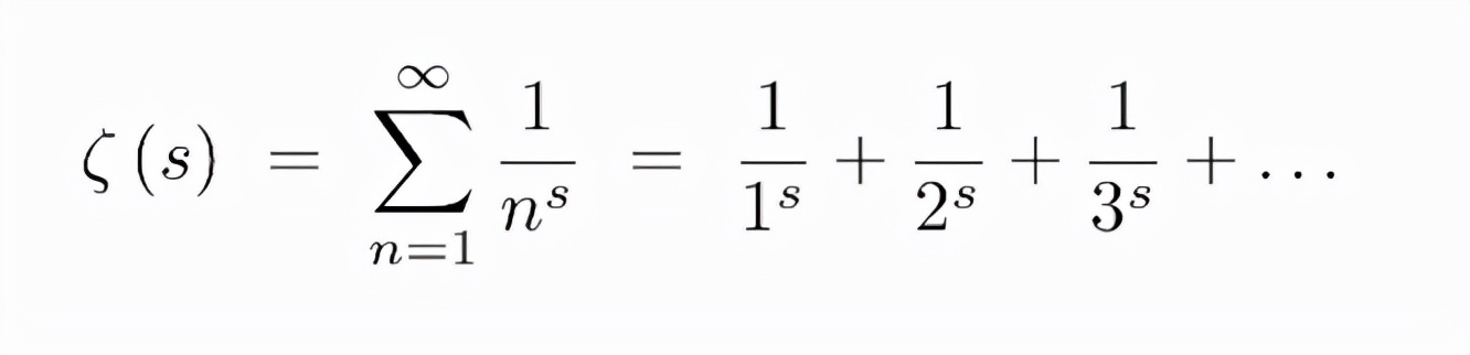
简而言之,伯恩哈德·黎曼 (Bernhard Riemann) 提出质数在所有自然数集上的分布不遵守任何规律。但是它们在数值级数的给定区域中的数量与某些值在 zeta 函数图上的分布相关。它位于更高的位置,并且对于每个人 s 给出无限数量的项目。例如,当 2 代替 s 时,结果是一个已经解决的“巴塞尔问题”——一系列平方反比 (1 + 1/4 + 1/9 + 1/16 +…)。
“千禧年难题”之一,为解决该问题分配了100万美元的奖金,以及进入现代数学“众神”的万神殿。事实上,这一假设的证明将大力推动数论向前发展,以至于这一事件将理所当然地被称为历史事件。数学中的许多计算和陈述都是建立在“黎曼假设”成立的假设之上的,至今没有让任何人失望。这位德国数学家在 160 年前就提出了这个著名的问题,从那时起,它已经被解决了无数次,但进展非常缓慢。
另一个“千年挑战”,克莱研究所将为此提供一百万美元的解决方案。对于数学家来说,至少在一般意义上很难表述和理解假设的本质是什么。Birch 和 Swinnerton-Dyer 假设了椭圆曲线的某些特性。这个想法是可以通过知道的 zeta 函数的零阶来确定曲线的等级。正如他们所说,没有什么是清楚的,但非常有趣。
椭圆曲线是图形上看似无害的 y² = x³ + ax + b 形式的方程描述的那些线。它们的一些性质对代数和数论极为重要,解决这个问题可以极大地推动科学向前发展。最大的进展是在 1977 年由来自英国和美国的一组数学家取得的,他们能够找到一个特殊情况下 Birch 和 Swinnerton-Dyer 猜想的证明。
这甚至不是一个,而是一整类类似的问题。此外,我们每天都会遇到它们,例如,当我们想在冰箱的架子上排列水果或将瓶子尽可能紧地排列在架子上时。从数学的角度来看,您需要找到每个球体与其余球体的平均接触次数(“亲吻”,也称为接触次数)。目前有维度 1-4 和 8 的精确解。
尺寸或尺寸是指放置球的线数。在现实生活中,不会出现第三维,但数学也以假设值运行。这个问题的解决不仅可以大大推动数论和几何学的发展,而且对化学、计算机科学和物理学都有帮助。
再说一遍,每天都会遇到一个问题。似乎很难——解开这个结?但是,计算此任务所需的最短时间是数学的另一个基石。困难在于我们知道可以计算解耦算法,但它的复杂性可能使得即使是最强大的超级计算机也需要太长时间。
2011 年,美国数学家格雷格·库珀伯格 (Greg Kuperberg) 迈出了解决这个问题的第一步。在他的工作中,解开 139 个顶点的结构 108 小时缩短到 10 分钟。结果令人印象深刻,但这只是一个特例。目前,有几十种不同效率的算法,但没有一种是通用的。该数学领域的应用包括生物学,特别是蛋白质折叠过程。
最大的无穷大是什么?乍一看,这是一个妄想的问题,但它确实是 - 所有无穷大的大小都不同。或者更确切地说,就幂而言,因为这就是数学中区分数字集的方式。基数被理解为集合中元素的总数。例如,最小的无穷大是自然数 (1, 2, 3, ...) 因为它只包括正整数。这个问题目前还没有答案,数学家们不断地寻找越来越强大的集合。
集合的幂的特征在于它的基数,或简称为基数。有一个完整的在线百科全书,其中包含以乔治·康托 (Georg Cantor) 命名的无穷大和著名的“四肢”。这位德国数学家是第一个发现无数集合可以比彼此更大或更小的人。而且,他能够证明不同无穷大的威力差异。
这两个无理数之和是代数数吗?数百年来,我们一直在使用这些常量,但我们从未了解它们的所有内容。代数数 - 具有整数系数的多项式的根。乍一看,似乎所有实数都是代数的,但不是,恰恰相反。大多数数是超越数,也就是说,它们不是代数数。此外,所有实数超越数都是无理数(例如 π 和 e),但它们的和可以是任意的。
版权声明:我们致力于保护作者版权,注重分享,被刊用文章【大学数学题目(迄今为止)】因无法核实真实出处,未能及时与作者取得联系,或有版权异议的,请联系管理员,我们会立即处理! 部分文章是来自自研大数据AI进行生成,内容摘自(百度百科,百度知道,头条百科,中国民法典,刑法,牛津词典,新华词典,汉语词典,国家院校,科普平台)等数据,内容仅供学习参考,不准确地方联系删除处理!;
工作时间:8:00-18:00
客服电话
电子邮件
beimuxi@protonmail.com
扫码二维码
获取最新动态
