湖南今年实行“3+1+2”的新高考模式,分数线、填报志愿、高校招生计划分别按物理类和历史类编制和公布。
2021年,湖南高考报名总人数为57.49万,减去高职单招、保送、体育单招的人数,实际约37.22万普通高考考生参加六月份的高考,其中,历史类16.58万人,物理类考生20.64万人。
2020年,高考报名人数总共53.7万,实际高考人数约37万,其中文科考生15.34万,理科考生21.76万。
基本上,今年的历史类相当于去年的文科类。
2021年,普通本科分数线历史类为466分,物理类为434分。一本线没有明确,应该就是和重庆一样,只有特殊类型招生控制线,那么大概就是历史类521分,物理类504分。
可以参考一下去年的分数线和上线人数。2020年,湖南高考理科本一批分数线507分,累计上线人数74168(含全国性、地方性加分);文科本一批分数线550分,上线19890人。
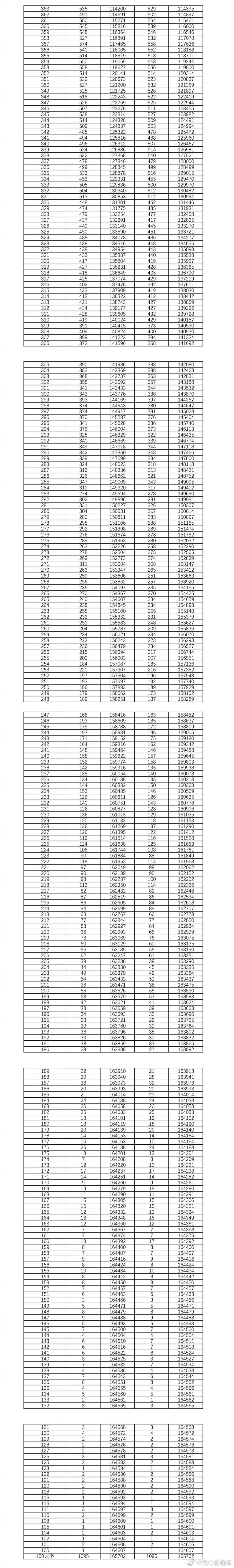
今年高考总分600分以上的考生有13862人。其中,历史类1697人,物理类12165人。
历史类,一本上线22757人,本科上线53076人。
物理类,一本上线78372人,本科上线138869人。
湖南虽然实行了新高考模式,但通过对比可以发现,今年的历史类、物理类,在总人数比例和各批次上线人数上,和去年的文科、理科比较接近,所以,高校近三年在湖南的录取数据还是很有参考价值的。
近几年文理科一本、二本的录取数据都有,有需要的可以留言。需要的人多的话,本账号后续会发出。录取数据包括900多所高校的录取计划数、最低分数线和对应位次。
版权声明:我们致力于保护作者版权,注重分享,被刊用文章【2017湖南高考一本录取时间(2021湖南高考分数线)】因无法核实真实出处,未能及时与作者取得联系,或有版权异议的,请联系管理员,我们会立即处理! 部分文章是来自自研大数据AI进行生成,内容摘自(百度百科,百度知道,头条百科,中国民法典,刑法,牛津词典,新华词典,汉语词典,国家院校,科普平台)等数据,内容仅供学习参考,不准确地方联系删除处理!;
工作时间:8:00-18:00
客服电话
电子邮件
beimuxi@protonmail.com
扫码二维码
获取最新动态
