2021年是广东实行新高考的第一年。为了让我们的高三学生可以更好地备考,同时加强新高一高二同学对新高考政策的了解,小状元在接下来会陆续就新高考的政策内容给学生/家长做解读。
今天,小状元先从新高考的计分说起。毕竟,分数是大家最关心的部分。其中,等级赋分是今年新高考的一大特点。
首先,我们来了解一下广东2021年新高考的总成绩是怎么计算的。从2021年起,广东省新高考考生的总成绩的构成是:新高考总成绩(满分750分)=统一高考科目成绩+学业水平考试选考科目成绩,具体如下:

统一高考科目语文、数学、外语使用原始成绩计入考生总成绩,每门满分150分;选考科目中,物理/历史使用原始成绩计入考生总成绩,每门满分100分;考生在思想政治、地理、化学、生物学中自主选择的两门科目按等级赋分后计入考生总成绩,每门满分100分。
看到以上的成绩构成,我们会发现,按【等级赋分】来计入总成绩的科目,是2门再选科(即政治、地理、化学、生物)。这也意味着,再选科目卷面上的分数,未必是最终计入高考总成绩的分数。
那么,等级赋分怎么计算?为什么再选科目要实行等级赋分算法?从等级赋分中又是否能给到新高一学生选科上的提醒?这些问题,小状元带你一一了解!
等级赋分的计算方法,大致是这样的流程:
具体的计算方法说明如下:
01卷面分转换等级把每门选考科目的考生群体依据卷面分从高到低进行排序,按照考生群体卷面分的统计分布所确定人数比例(见下表)将该选考科目考生群体划分为5个群体,每个群体考生赋予1个等级,整个考生群体的卷面分被转换为从高到低ABCDE共5个等级。每个考生的等级由其在该选考科目群体的排位确定。
02将等级转换为等级分具体说明:
等级分的满分值为100分、起点分值为30分,从A至E每个等级按照1分1档的分数间隔对各个等级进行连续赋分,各个等级的等级分赋分区间从17到10分不等(见上方等级分换算对应表)。
依此,把每个选考科目考生群体的等级成绩从高到低(从A到E)转换为100至30分的等级分数,每个等级分数都在一定的等级分区间内。根据每个考生的卷面分数及其所在等级的等级赋分区间,运用等比例转换法则将其卷面分换算成等级分。
在A、B、C、D、E的每个等级内卷面分不同的考生,根据等比例转换法则可计算得出不同的等级分,从而确保卷面分较高的考生换算得到较高的等级分。
也就是说,假如考生考了0分,排到E等级,等级赋分之后,最少也有30分!
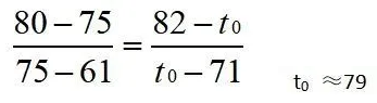
上图当中的重点是换算公式。如果看懂了这个换算公式,那么等级赋分的重点就算是掌握了。假如看不懂,别着急,我们一起来举个例子:
已知:
1、某同学地理科目卷面分为75分;
2、按照其在该科目考生群体中的卷面分排位确定的等级为B等级;
3、当次考试该科目B等级所对应的卷面分区间为80~61(该数数值是以当次考试对应等级的具体情况有所变化);
4、查等级分换算对应表,可知B等级的等级分赋分区间为82~71;
那么根据公式,可以计算出该同学地理科目的等级分:
即该同学的地理等级分为79分。
看完上面这个例子,同学/家长应该就能理解等级赋分的算法了吧。相信不少同学/家长也发现,最终等级赋分的分值,会受该科目在当次考试中的整体情况和考生排位影响。
考生从4门科目中选择的2门再选科目,会产生6个不同的选择组合。这样一来,会出现报考同一高校同一专业的考生,其2门再选科目很可能有所不同的情况。如果直接按原始卷面成绩来算,会出现不同的科目选考不同,不能比较的问题。如果直接使用卷面成绩,不够科学和公平。
我们来看一个通俗易懂的例子:甲同学选考化学,乙同学选考地理,两人卷面成绩都是75分,但是甲学生在所有选考化学的学生中排名第1000位,乙学生在所有选考地理的学生中排名第3000位,两个科目的难度稍有差异。若只是按照卷面成绩来算,既不公平也不科学。
而等级赋分的换算中,等级区间比例可以保持考试每门学科成绩排名顺序不变,确保成绩转换公平公正,解决了上面我们所说的问题。同时,它充分体现学习的能力,以能力为导向来选拔学生;除此之外,也充分满足了所有学生能够有更高分值的要求。
面对2021年新高考政策,学生们不敢怠慢,家长更心急如焚。在最关键的一年里,高考生会有哪些心理发展阶段?家长又应该做些什么?我们一起来来听听专家的经验分享。
第一阶段,激情期
9月至11月是孩子准备高考过程的“激情期”,这时孩子的表现为积极、勤奋,努力,投入,充满信心。
在这一时期,家长要做的工作就是保障后勤供给,不要多说话。
第二阶段,疲劳烦躁期
12月至明年1月是孩子准备高考的“疲劳烦躁期”,孩子表现为:身心疲惫,情绪低落,心情烦躁。
在这一时期,家长要做的工作是营造轻松愉悦的环境,改善孩子的情绪,不要因生活小事与孩子发生争吵,以免影响孩子的情绪,不要着急,相信孩子在老师的帮助下,很快会调整好的。
第三阶段,否定怀疑期
明年的3月份随着二轮复习的到来,有些同学成绩有较大提高,他们会更有信心地投入到学习中去。但是也有不少同学经过几番努力,排名依然没有进步,或者说自己的排名没有达到自己的预期,他们对自己产生了怀疑,不敢肯定自己今年还能否考得上大学,脑海里一片茫然。
这时孩子最需要家长给予切实的鼓励,自己努力,排名没有进步不代表自己的成绩没有进步,因为别人也在努力,别人没有坐在那儿等着你,实际上是大家都在进步,排名不进步不代表考不上大学。
第四阶段,不自信放弃期
明年的4月份随着三轮复习的开始,一部分孩子因为对自己自信不足,产生了放弃的想法。
这些孩子之所以产生放弃的想法是因为他们只跟自己周围的同学比,只跟同年级的同学比,其实他们忘了他们应该比的是全省的学生,跟他们比自己还是很有优势的。
第五阶段,恐惧焦虑期
到了明年5月份,随着高考的临近,所有的孩子都会或多或少产生恐惧心理和焦虑心理。
这时家长千万不要用“不要紧张,不要害怕,考不上不算什么,明年再考”之类的话语去安慰孩子,因为这样的话只能使孩子更加紧张,可以找较为专业的人给孩子一些建议,要不然就是保持沉默,等待学校给孩子做工作。
家长调整好心态控制情绪
家长应努力营造一个温馨轻松和谐的家庭氛围,不要刻意制造一个一切为了学生的高考紧张沉闷压抑的氛围,少谈高考反而有利于高考;家长之间要和谐,减少矛盾,“高考无战争”;“看透不说透”:一种心照不宣的沟通和提醒;不过度关爱。
家长要调整好自己的心态:平常心、平静心、理解心、爱抚心、激励心、信任心;高考快乐,快乐高考;尊重学生的人格、尊重学生的复习方式、尊重学生的应对策略,只要学生是对的就可以。
家长要注意控制自己的情绪,安慰学生应对各种烦恼,如:记忆力下降;水平不升反降;考场紧张;压力和焦虑等。
家长要降低期望接受现实
家长要降低期望值,宁愿低些也不要太高,压力宁愿小些也不要过大。过高的期望会造成家长心态的失衡,会给学生施加不当压力。怒其不争,可能会造成学生的退缩逃避;责怪埋怨,可能会造成学生的心理逆反;高分要求,可能会使学生望而生畏;学习施压,可能会使学生无所适从。
特别提醒家长,要保持正常的期望心理,接受学生现实表现和现有能力,合理施教:变怒其不争为激励促进;变责怪埋怨为冷静劝导;变高分要求为适当指标;变学习施压为放松调节。
鼓舞孩子的士气,给孩子积极的暗示
只要稍加注意,就会经常听到周围的人在聊起自己的孩子时常会说:“我的孩子怎能和你的孩子比呢?脑子不好用”等等。
没有比这更伤孩子的心了,特别是这种话是从他的亲人口中说出来的,结果可想而知,这样他们就会失去在学习方面的信心,甚至有的会产生一种强烈的叛逆和对环境的仇视情绪。
积极的暗示,特别是这种暗示来自亲人、朋友或老师,几乎肯定会对孩子在心理和心智方面产生良好的作用,但是来自亲人的暗示,常常会有夸大和期望的成分,所以,不要轻易地给孩子下定义。
当孩子确实在某一阶段,某些方面做的不够出色或遭遇挫折时,家长不妨说:“我相信你下次会做的更好”“你一直是最棒的”等。
任何考试,都需要考生有一个必胜的信心,高三年级的孩子们最需要的是家长的鼓励,有进步的孩子,要鼓励他们继续努力;偶有失误的孩子,鼓励他们找到失误的原因和避免再失误的方法,要给孩子一个可望而且可及的目标,不要总拿高考状元作比较,也不要拿自己的孩子和亲戚朋友的孩子作比较。
全力做好孩子的后勤工作但要适度
高考备考是一场持久战,身体是很重要的,作为家长一定要做好后勤工作,保证学生早上来校之前吃上丰盛的早餐。
有条件的话中午可以安排地方让学生午休一个小时,这对孩子很重要,不管您的工作有多忙,这一年,孩子的事是最主要的。
学生迎接考试,家长做好后勤保证,这是每位家长都必须具有的服务意识。
高考是人生阶段中重要的一个转折点,不管是学生还是家长都应该认真对待,但要适度,不要给学生添加太大压力,否则适得其反,影响考生发挥。
版权声明:我们致力于保护作者版权,注重分享,被刊用文章【高考等级赋分(2021新高考交白卷也有30分)】因无法核实真实出处,未能及时与作者取得联系,或有版权异议的,请联系管理员,我们会立即处理! 部分文章是来自自研大数据AI进行生成,内容摘自(百度百科,百度知道,头条百科,中国民法典,刑法,牛津词典,新华词典,汉语词典,国家院校,科普平台)等数据,内容仅供学习参考,不准确地方联系删除处理!;
工作时间:8:00-18:00
客服电话
电子邮件
beimuxi@protonmail.com
扫码二维码
获取最新动态
