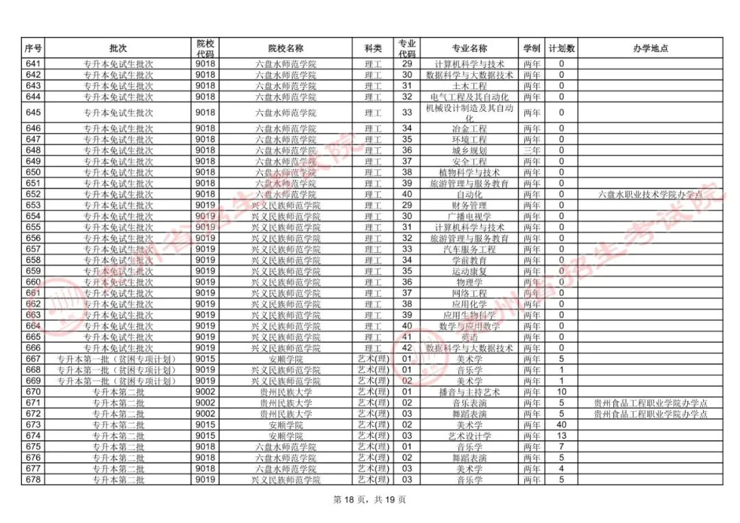
贵州省2022年普通高校
专升本招生计划表
贵州省2022年普通高校专升本
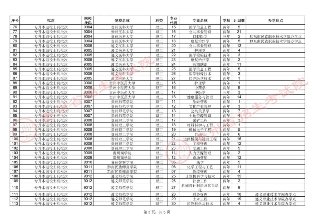
招生计划表(退役士兵专项计划)
一
填报志愿网址及填报志愿时间安排
1.填报志愿系统网址:http://gkzy.eaagz.org.cn/
2.填报志愿时间:5月14日00:00至17日18:00
二
志愿设置及考生志愿报考资格
今年我省专升本设置四个批次志愿,每个批次设置1个院校志愿1个专业志愿。
注:1.如果一个考生同时具有多种资格,可同时填报多个具有报考资格的批次志愿;
2.文化上线的原贵州省户籍的建档立卡贫困家庭的考生,同时填报专升本第一批(贫困专项计划)和专升本第二批(普通批次)两个批次志愿时,两个批次志愿所填报的学校必须是同一所学校,且所填报的是专业相同或专业考试科目相同的两个专业(以招生院校公布的招生章程为准)。若考生两个批次志愿所填报的学校不是同一所学校,或虽为同一所学校但所填报的两个专业的专业考试科目不同,则考生只能参加专升本第二批(普通批次)的专业考试,所填报的专升本第一批(贫困专项计划)志愿无效。
3.考生(含退役士兵、技能大赛免试生)填报志愿时请仔细查阅《2022年贵州省普通高校“专升本”高职(专科)专业与对应本科专业类统计表》和《2022年贵州省普通高校“专升本”本科专业类和本科专业名称统计表》,填报专业应符合招生专业的报考要求,如填报专业不符合招生专业的报考要求,不得参加招生院校组织的专业考试(退役士兵不得参加院校组织的职业适应性或职业技能综合考查),所填报专业志愿无效。
三
录取批次顺序
专升本提前批(退役士兵专项计划)→专升本第一批(贫困专项计划)→专升本第二批(普通批次)→专升本免试生批次
四
退役士兵专项计划录取规则
退役士兵专项计划录取时优先录取免试文化课的退役士兵,如免试文化课的退役士兵生源不足,将从享受80%文化课合格分数线和80%专业课合格分数线照顾政策的退役士兵中择优录取。
退役士兵专项计划投档录取后缺额院校及专业将进行征集志愿,未被录取退役士兵考生(免试文化课的退役士兵和参加院校专业考试且成绩达到80%专业课合格分数线的退役士兵)可上网补报志愿。
五
考生网上填报志愿须知
1.请考生务必保管好本人的准考证密码,如果发现密码泄露请及时向当地招办报告,否则造成志愿信息被他人填报或修改由考生本人负责。
2.考生必须在电脑上使用Windows自带的IE或Edge浏览器进行网上填报志愿,不得使用其它浏览器或手机等移动终端填报。
3.考生应仔细阅读填报志愿说明,认真填报志愿,核对准确后提交。系统未关闭前,考生可修改两次志愿。系统以考生最后一次提交的志愿为准。
4.考生志愿提交后,可在“志愿查询”栏中查阅志愿是否提交成功。
贵州省2022年普通高校专升本
网上填报志愿系统考生操作指南
一、网上填报重要提示
(一)2022年专升本网上正式填报志愿时间:5月14日00:00时至5月17日18:00时,5月17日18:00时网上填报志愿系统将自动关闭。
(二)准考证上的密码是进入网上填报志愿系统的唯一凭证,请务必安全保管好密码,如果发现密码泄露请及时向县级招办报告,否则可能造成志愿信息被他人填报或修改。
(三)考生必须使用电脑和IE8或更高版本IE浏览器进行网上填报志愿,不得使用手机等移动终端和其它浏览器填报。
(四)考生填报志愿必须在规定时间内进行网上填报。填报志愿时间截止后,没有参加网上填报志愿的考生视为自动放弃志愿填报。
(五)考生可提交三次志愿,考生第一次填报提交志愿后可有两次机会对志愿进行修改提交。系统以考生最后一次提交的志愿为准,考生提交三次志愿后不能再修改志愿。
(六)考生志愿提交后,可在“志愿查询”栏查看志愿是否提交成功。
二、志愿填报系统操作流程
我省专升本网上填报志愿网址为:http://gkzy.eaagz.org.cn。考生在登录网上填报志愿系统后,可查看上次登录的历史信息、查询院校招生计划、查看各科考试成绩和志愿填报。
志愿填报操作流程如下:(以下图例中内容仅作示范说明使用,最终以正式网上填报志愿期间公布的为准!)
(一)登录
考生填报志愿应使用IE浏览器,输入网址:
http://gkzy.eaagz.org.cn, 打开高考网上填报志愿系统首页,仔细阅读《网上填报志愿说明》后,点击“我已认真阅读并理解右方填报志愿说明”方框,输入准考证号、密码,在验证码输入框内输入右边显示的4位彩色数字,点击“登录”按钮进入志愿填报页面(图-1中有圆圈标记处)。
图-1(点击查看大图)
(二)进入系统
登录成功后,出现系统提示信息,并在屏幕上方显示考生的姓名、考生号、准考证号等信息。(见图-2)
图-2(点击查看大图)
(三)查看上次登录的历史信息
考生点击页面左上方的姓名处(图-3),系统显示该账号总共登录次数、上次登录IP和上次登录时间。
图-3(点击查看大图)
(四)浏览院校招生计划
“浏览院校计划”列表将根据考生高考报名的科类,显示出文史、理工、艺术、体育(文)、体育(理)等选项(图-4)。点击相应的科类名称,就可浏览该科类院校的计划。右边上方为该科类本次可以填报的所有批次选项,考生可以选择按批次查看,通过点击下方页码翻页。
图-4(点击查看大图)
(五)查询院校招生计划
考生点击“查询院校计划”列表下的科类名称,进入院校计划查询页面。考生可以输入院校代号、或者院校名称和专业名称查找要报考的院校和专业。系统支持模糊查询,例如在专业名称中输入“法学”,可显示所有专业名称中含“法学”的院校信息。(图-5)
图-5(点击查看大图)
(六)查看各科考试成绩
考生点击成绩查询,可查看各科考试成绩。(图-6)
图-6(点击查看大图)
(七)填报志愿
1.点击填报志愿菜单,显示志愿填报页面。(图-7)
图-7(点击查看大图)
2.考生按照本人事先预填的志愿,输入院校代号,点击“检查院校代号正确性”按钮,进入下个页面。(图-8)
图-8(点击查看大图)
3.若志愿表没有填写完整,系统将提示漏填的批次和志愿,点击“取消”返回重新填写院校代号,点击确定将放弃没有填报的志愿。(图-9)
图-9(点击查看大图)
4.考生在页面中确认院校名称,选择各院校专业。(图-10)
图-10(点击查看大图)
5.如果发现院校代号填错请点击“返回院校代号输入”按钮。(图-11)
图-11(点击查看大图)
6.在输入院校代号时有某一个志愿没有填写,专业选择页面将以红色醒目的字体提示该志愿“自愿放弃”(图-12),考生应当仔细确认是否放弃该志愿,如果是漏填,请点击“返回院校代号输入”按钮进行修改。
图-12(点击查看大图)
7.文化上线的原贵州省户籍的建档立卡贫困家庭的考生,同时填报专升本第一批(贫困专项计划)和专升本第二批(普通批次)两个批次志愿时,两个批次志愿所填报的学校必须是同一所学校,且所填报的是专业相同或专业考试科目相同的两个专业(以招生院校公布的招生章程为准)。若考生两个批次志愿所填报的学校不是同一所学校,或虽为同一所学校但所填报的两个专业的专业考试科目不同,则考生只能参加专升本第二批(普通批次)的专业考试,所填报的专升本第一批(贫困专项计划)志愿无效。
8.院校和专业填写确定无误后,请点击下图中“专业选择完成”按钮(图-13),进入志愿确认页面。
图-13(点击查看大图)
9.考生在志愿确认页面中再次核对所填志愿,确保正确无误(图-14)。
图-14(点击查看大图)
在检查过程中如果发现错误,请点击页面下方的“返回专业选择”按钮进行修改。(图-15)
图-15(点击查看大图)
10.所填志愿经确认无误后,请点击页面下方的“志愿提交”按钮(图-16)。
图-16(点击查看大图)
11.在志愿提交确认对话框中再次输入登录密码,点击提交按钮,完成志愿提交(图-17)。
图-17(点击查看大图)
12.提交完成后出现下图填报完成的提示,表示考生志愿填报成功。(图-18)
图-18(点击查看大图)
13.如考生需修改后重新提交,请点击“填报志愿”菜单,再次进入填报页面,系统将提示剩余修改后提交志愿的次数。考生最多可以修改2次志愿,系统以最后一次提交的志愿为准。(图-19)
图-19(点击查看大图)
14.考生填报结束后,可在志愿查询中查看到自己填报的志愿。(图-20)
图-20(点击查看大图)
来源:贵州省招生考试院
版权声明:我们致力于保护作者版权,注重分享,被刊用文章【贵阳专科学校招生(贵州2022年专升本招生计划公布)】因无法核实真实出处,未能及时与作者取得联系,或有版权异议的,请联系管理员,我们会立即处理! 部分文章是来自自研大数据AI进行生成,内容摘自(百度百科,百度知道,头条百科,中国民法典,刑法,牛津词典,新华词典,汉语词典,国家院校,科普平台)等数据,内容仅供学习参考,不准确地方联系删除处理!;
工作时间:8:00-18:00
客服电话
电子邮件
beimuxi@protonmail.com
扫码二维码
获取最新动态
