四川师范大学是四川最好的师范高校,近些年学校的公费师范生相当热门,每年都有大量的学生报考。那么,四川师范大学的公费师范生怎么样?川师公费师范生的分数情况如何?
一、四川师范大学的公费师范生怎么样?
答:比较不错。
主要有如下特点。
特点1:提前录取
四川师范大学的公费师范生录取时间是安排在本科第一批次录取结束和本科第二批次录取之前的。
此外,公费师范生的第一志愿填报应为生源所在地(市州),第二志愿(平行志愿)可以填报其他市州。
学校一般会优先录取报考本县(市、区)公费师范生的考生。
特点2:优惠政策
四川师范大学的公费师范生在校就读期间,可以免缴学费(4000元)、住宿费(1000元),并且每个月都能享受生活补助(600元/生·月,10个月)。
特点3:精心培养
四川师范大学公费师范生的录取分数线一般相对较高,均为十分优秀的学生。对于这些学生,学校一般都会精心培养,帮助她们早日成为一名“好老师”。
特点4:就业保障
学校公费事师范生毕业后,由签约市(州)所属实施范围县(市、区)为其落实教师编制和岗位。且从事教育教学工作时间不低于6年,其中在县(市、区)以下农村学校或农村幼儿园工作时间不低于5年。
报考条件1:分数
据四川师范大学公布的公费师范生政策规定,高考成绩在普通本科二本线上均可报考。而从每年的实际录取情况来看,学校公费师范生的录取分数线一般都比较高。
报考条件2:地区
分为“在哪报考”和“报考哪儿”两种情况。
1)在哪报考:仅限于生源地在四川的考生报考(生源地就是指参加高考时的户籍所在地)。
2)报考哪儿:四川师范大学可报考的公费师范生地区有两种,分别为非深度贫困地区、深度贫困地区。且一般来说,报自己所在县(市、区)公费师范生的考生最容易被录取,而报其他县公费师范生的考生不容易(但有可能)被录取。
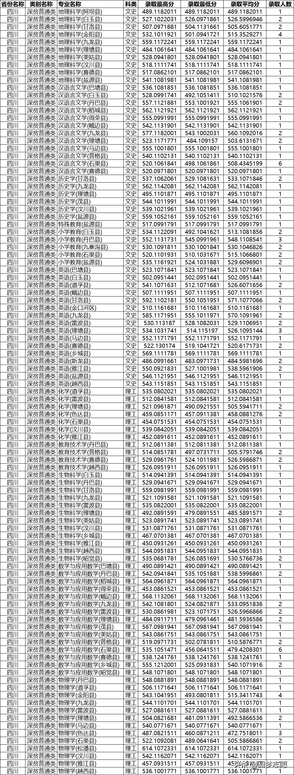
二、川师公费师范生的分数
四川师范大学2019年深度和非深度贫困地区的公费师范生普通类专业录取分数详情如下,可供参考。
1、深度贫困地区公费师范生
2、非深度贫困地区公费师范生
点赞+关注,你我都能考上好大学!
版权声明:我们致力于保护作者版权,注重分享,被刊用文章【四川师范大学2017艺术录取分数线(四川师范大学)】因无法核实真实出处,未能及时与作者取得联系,或有版权异议的,请联系管理员,我们会立即处理! 部分文章是来自自研大数据AI进行生成,内容摘自(百度百科,百度知道,头条百科,中国民法典,刑法,牛津词典,新华词典,汉语词典,国家院校,科普平台)等数据,内容仅供学习参考,不准确地方联系删除处理!;
工作时间:8:00-18:00
客服电话
电子邮件
beimuxi@protonmail.com
扫码二维码
获取最新动态
