西安财经大学是陕西省人民政府和国家统计局共建的普通高等学校。其前身是1952年创建的西北贸易学校。2018年11月,教育部批准西安财经学院改名为西安财经大学,2019年原二本招生的西安财经大学新晋为一本大学,在本科一批次招生。
它是一所以经济、管理和统计学科为主干,文、法、理、工、艺为支撑,多学科协调发展的普通高等学校。学校现有11个二级学院和3个教学部,有4个一级学科,23个二级学科的硕士学位授予点,3个专业硕士学位授权点;拥有4个省级优势学科、1个省级特色学科;有45个本科专业,2个国家级、8个省级专业综合改革试点项目,3个国家级、6个省级特色专业建设点,3个省级名牌专业和20余门省级精品课程。
国家级特色专业:统计学、财政学、会计学
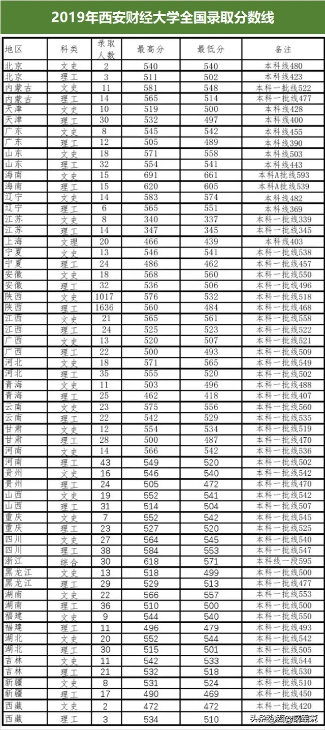
2019年全国录取分数
2019年文史类各专业录取分数
2019年理工类各专业录取分数
欢迎大家积极转发、收藏,也欢迎大家继续关注我的头条号哦!
版权声明:我们致力于保护作者版权,注重分享,被刊用文章【西安财经学院招生信息网(西安财经大学2019年专业录取分数)】因无法核实真实出处,未能及时与作者取得联系,或有版权异议的,请联系管理员,我们会立即处理! 部分文章是来自自研大数据AI进行生成,内容摘自(百度百科,百度知道,头条百科,中国民法典,刑法,牛津词典,新华词典,汉语词典,国家院校,科普平台)等数据,内容仅供学习参考,不准确地方联系删除处理!;
工作时间:8:00-18:00
客服电话
电子邮件
beimuxi@protonmail.com
扫码二维码
获取最新动态
