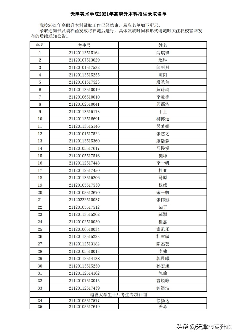
天津美术学院2021年高职升本科录取工作已经结束。录取名单如下所示。
2021年天津美术学院录取通知书及调档函发放将在随后进行,具体发放时间和形式请随时关注天津美术学院官网发布的后续通知公告。
考生号 姓名
21120113515164闫琪琪
21120107513029赵琳
21120101517532闫明月
21120113515255陈阳
21120101517523袁圣兰
21120113510019黄诗琦
21120106510010李凌宇
21120102510041郭葆济
21120113515173丁上
21120113516691柳博逸
21120113515146吴梦娜
21120101517522张艺之
21120113515360廖浩淼
21120105517617马慢慢
21120105517516樊坤
21120112517448李一帆
21120112517450杜亚
21120113515206马原
21120105517530权威
21120105512670宋一帆
21120222510037张伟娜
21120105517512柴子
21120113515262郝颖
21120102510030崔嘉
21120106510034索凯乐
21120113515223杜雪敏
21120112513182陈丕芸
21120105510013李啸
21120112514138郭晨曦
21120113515250孙宏旭
21120112514162陈瑜
21120107513015曹锐峥
21120112517439钟澳洁
退役大学生士兵考生专项计划
21120105517577徐扬达
21120105517619姜淼
版权声明:我们致力于保护作者版权,注重分享,被刊用文章【中国美术学院专升本(2021年天津美术学院专升本科考试招生录取名单及录取通知书发放)】因无法核实真实出处,未能及时与作者取得联系,或有版权异议的,请联系管理员,我们会立即处理! 部分文章是来自自研大数据AI进行生成,内容摘自(百度百科,百度知道,头条百科,中国民法典,刑法,牛津词典,新华词典,汉语词典,国家院校,科普平台)等数据,内容仅供学习参考,不准确地方联系删除处理!;
工作时间:8:00-18:00
客服电话
电子邮件
beimuxi@protonmail.com
扫码二维码
获取最新动态
