在考生疯狂调剂之际,不少大学的拟录取名单已然公布出来了,看着别人的名字,心理总难免有一丝丝嫉妒,看看别人考研分数也是一种参考。
大概27个学院的名单出了,包括机械工程学院、精密仪器与光电子工程学院、建筑工程学院、建筑学院、化工学院、材料科学与工程学院、管理与经济学部、MBA、理学院、外国语言与文学学院、教育学院等等。
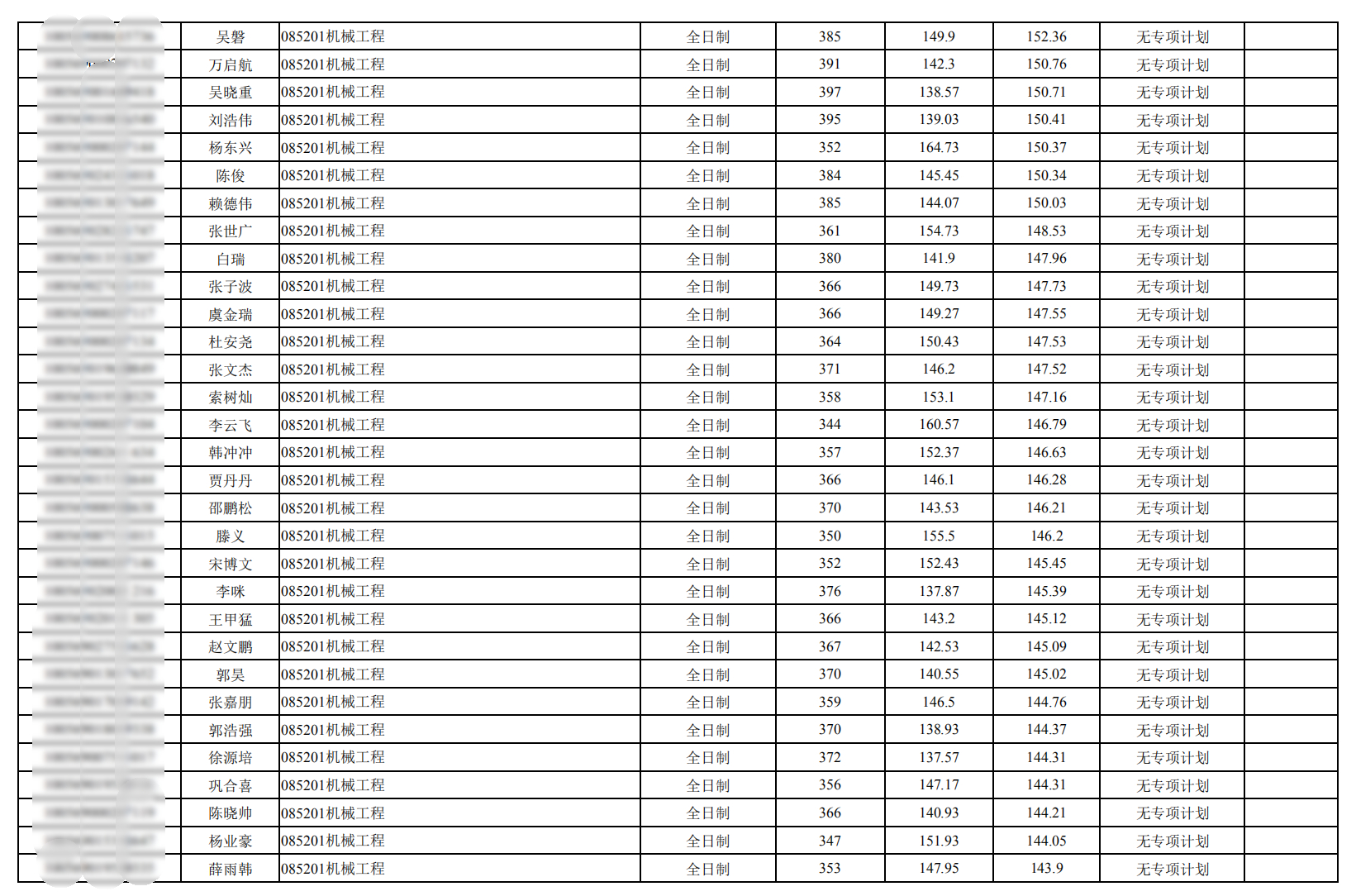
机械学院:
建筑工程学院:
电气自动化与信息工程学院调剂录取:
材料科学与工程学院调剂录取:
还有更多就不一一列举了,大家可以关注下自己调剂复试的大学动态,万一你被录取了呢~
1、私信回复“何凯文语法课”就可在今日头条学习最新何凯文2020考研英语语法解析,共18节小课,一顿饭钱,一小时网吧钱19.9元,可试看。
2、私信回复“参加”填报名表可以免费参加2020考研第四期体验营。
3、私信回复“内部资料”可限时拼团低价购买考研书籍礼包。
版权声明:我们致力于保护作者版权,注重分享,被刊用文章【天津大学理学院(天津大学27个学院考研拟录取名单公示)】因无法核实真实出处,未能及时与作者取得联系,或有版权异议的,请联系管理员,我们会立即处理! 部分文章是来自自研大数据AI进行生成,内容摘自(百度百科,百度知道,头条百科,中国民法典,刑法,牛津词典,新华词典,汉语词典,国家院校,科普平台)等数据,内容仅供学习参考,不准确地方联系删除处理!;
工作时间:8:00-18:00
客服电话
电子邮件
beimuxi@protonmail.com
扫码二维码
获取最新动态
