南京师范大学(简称南京师大,Nanjing Normal University),于1902年始建,坐落于江苏省南京市,由江苏省人民政府和中华人民共和国教育部共建的师范(综合类)大学,是中国高等师范教育的发祥地之一,首批国家“211工程”、世界一流学科建设高校。
在全国第四轮学科评估中,2个学科获得A,4个学科获得A-,5个学科获得B+。8个学科进入ESI全球前1%(包含化学、工程学、植物与动物学、农业科学、材料科学、数学等学科)。
目前拥有世界一流学科建设学科地理学,国家重点学科马克思主义基本原理、教育学原理、学前教育学、中国现当代文学、地图学与地理信息系统、动物学,以及国家级特色专业汉语言文学、新闻学、地理信息系统、动画、生物科学、法学、小学教育、数学与应用数学。
南师大也是“九大师范校”之一,全国师范类大学排名前五,整体难度小于华东师范大学,和华中师范、华南师范在一个难度水平,基本上属于师范类院校难度梯队第二档。
1、国际贸易学
南师大的应用经济学目前仅开设区域经济学、金融学、产业经济学、国际贸易学这四个二级学科,且统考计划招生都比较少。另外在第四轮学科评估中,其应用经济学评估结果为B-,处于中间水平。
此次分析的二级学科之一国际贸易学,目前是开设在商学院,统考计划招生很少,仅有5个以内。2021年其含推免拟招生是7人,参考研招网的数据,统考拟招名额仅有3个。
下面是其国际贸易学专业近两年的考研情况汇总:
招生人数方面,近两年其国贸专业的计划招生一直都很少,5-7人左右,实际录取统考生就更少了,保持在5人以内,19年仅录取了3名统考生。
录取分数方面,因为录取人数本身比较少,这样一来平均分参考价值不太大,反而是复试分数线和录取最低分参考性更强一些。近两年其国际贸易学专业的复试线和录取最低分都是345分,倒不算特别高,也就保持在国家线附近。
南师大的国际贸易学这个专业,哪儿都好,就是招生人数实在太少,容错率太低,还是建议大家慎重选择报考。
2、出版专硕
出版专硕目前开设在文学院,其下有出版经营管理、新媒体与数字出版、阅读文化学这三个研究方向。初试考试科目为(335)出版综合素质与能力和(441)出版专业基础。
南师大的出版专硕统考招生人数较多,目前公布的2021年招生专业目录显示,其统考招生计划是33人。
下面是近两年其考研情况汇总:
招生人数方面,近两年计划招生都是35人,实际录取33人,录取人数不算少,另外复试刷人在正常占比范围内,刷人不算多。
真正让人对这个专业望而却步的是它的复试分数线和录取平均分。19年复试分数线还相对比较低,但是平均分还是达到了380+,2020年复试线上涨到372分,平均分更是接近390。
对于出版这类偏冷门的专硕来说,380+、接近390分的平均录取分数水平,还是比较高。
3、摄影测量与遥感(地理科学学院)
南京师范大学地理科学学院摄影测量与遥感历年的招生目录显示,18年未招摄影测量与遥感专业,总体拟招人数很稳定,一直是5人,专业课历年考的都是853测量学,详情见下文。
南京师范大学地理科学学院摄影测量与遥感2021年拟招生>>
南京师范大学地理科学学院摄影测量与遥感参考书目>>
2019年南京师范大学地理科学学院摄影测量与遥感复试线317分,一志愿进复试人数为7人,调剂复试1人。最终统考拟录取了4人,复录比1.75:1,拟录取最高分393,最低分333,平均分357.5。
南京师范大学地理科学学院摄影测量与遥感2019年一志愿复试名单>>
南京师范大学地理科学学院摄影测量与遥感2019年拟录取名单>>
2020年南京师范大学地理科学学院摄影测量与遥感一志愿进复试人数为6人,复试线283分,最终统考拟录取了5人,复录比1.2:1,拟录取最高分362,最低分286,平均分326左右。
南京师范大学地理科学学院摄影测量与遥感2020年一志愿复试名单>>
南京师范大学地理科学学院摄影测量与遥感2020年拟录取名单>>
南京师范大学地理科学学院的摄影测量与遥感专业从19年才开始招生,再加上这个专业偏小众、招生也比较少,所以目前整体趋势还不是很明显,所以还是要多多关注21年考研情况。
4、食品科学与工程
南京师范大学食品科学与工程历年的招生目录显示,19年前食品科学与工程在金陵女子学院招生,19年后统一在食品与制药工程学院招生,但专业课历年考的都是810微机原理及应用和812自动控制原理二选一(19年前还含803信号与系统),详情见下文。
南京师范大学食品科学与工程2021年拟招生>>
南京师范大学食品科学与工程2020年拟招生>>
南京师范大学食品科学与工程2019年拟招生>>
2018年南京师范大学食品科学与工程,一志愿进复试人数为22人,拟录取10人,最高分353,最低分316,平均分331,复录比2.2:1。
2018年一志愿复试名单>>
2018年拟录取名单>>
2019年南京师范大学食品科学与工程,一志愿进上线15人,最终拟录取了12人,另有录取1名推免和1名调剂,拟录取最高分388,最低分342,平均分359。
一志愿复试名单>>
2019年拟录取名单>>
2020年南京师范大学食品科学与工程,一志愿进复试人数有32人,复试线277分,最终拟录取了21人,另录取2名推免,复录比1.5:1,拟录取最高分378,最低分310,平均分332。
2020年复试分数线>>
2020年一志愿复试名单>>
2020年拟录取名单>>
从招生情况来看,每年的实际录取人数都在增长,招生目录的计划招生人数也在增长,每年有个小幅度的扩招情况。
从复录情况看,南京师范大学食品科学与工程,专业课分数120、130的偏多,专业课普遍不压分;南京师范大学作为九大师范类院校之一,食品专业的学科实力并不是很强,前两年还在金陵女子学院招生,20年才划分独立才有了自己的食品与制药工程学院。同学们想要报考211院校,又想去一个地理位置比较好的地区,可以考虑南京师范大学,该专业复录比偏低,目前整体难度不大。
5、国际商务(商学院)
南京师范大学商学院国际商务历年的招生目录显示,国际商务专硕是从20年才开始招生,总体拟招人数比较稳定(20年拟招12人,21年拟招15人),专业课历年考的都是434国际商务专业基础,详情见下文。
南京师范大学商学院国际商务2021年拟招生>>
南京师范大学商学院国际商务2020年拟招生>>
南京师范大学商学院国际商务参考书目>>
2020年南京师范大学商学院国际商务一志愿进复试人数为2人,复试线362分。最终统考拟录取了2人,推免8人,复录比1:1,拟录取最高分384,最低分362,平均分333。
2020年一志愿复试名单>>
2020年拟录取名单>>
国际商务专硕是南京师范大学商学院在20年新招生的一个专业,20年最后拟录取的人数少于拟招生人数,学校根据实际的考研情况,进行了相应的人数调整。这里建议要多多关注21年的考研情况。
6、人文地理学
南京师范大学地理科学学院人文地理学历年的招生目录显示,总体拟招人数一直处于增加的状态(18年拟招19人,19年拟招20人,20年拟招23人,21年拟招27人),专业课历年考的都是603高等数学和848人文地理学。
南京师范大学地理科学学院人文地理学2021年拟招生>>
南京师范大学地理科学学院人文地理学2020年拟招生>>
南京师范大学地理科学学院人文地理学2019年拟招生>>
南京师范大学地理科学学院人文地理学参考书目>>
2018年南京师范大学地理科学学院复试线329分,复试名单未找到,最终统考拟录取了11人,调剂2人,推免10人。
南京师范大学地理科学学院人文地理学2018年拟录取名单>>
2019年南京师范大学地理科学学院一志愿进复试人数为8人,调剂复试5人,复试线343分。最终统考拟录取了6人,其中调剂录取2人,复录比1.3:1,拟录取最高分375,最低分345,平均分356。
南京师范大学地理科学学院人文地理学2019年一志愿复试名单>>
南京师范大学地理科学学院人文地理学2019年拟录取名单>>
2020年南京师范大学地理科学学院一志愿进复试人数为18人,复试线321分。最终统考拟录取了12人,复录比1.5:1,拟录取最高分361,最低分321,平均分341。
南京师范大学地理科学学院人文地理学2020年一志愿复试名单>>
南京师范大学地理科学学院人文地理学2020年拟录取名单>>
南京师范大学的地理位置优越,并且人文地理学也是实力非常强的专业,在全国来说认可度是很高的,所以报考热度还是有的,其中很多考生的本身的学习能力和实力都是很好的,在这种综合的环境下,有一定的竞争压力。
从以上信息看,19年最终拟录取人数未达到招生目录上的拟招生人数,第一有可能是19年一志愿生源不足,第二有可能是根据地理科学学院的具体情况进行了人文地理学专业的招生人数的调整。
初试总分在高分段(历年最高分基本在370-380左右及以上)的同学基本上认真准备复试,最后录取的几率会很大,总体来说整体的考研难度算得上是中上水平,想考南师大的人文地理学的同学们,认真复习,初试尽力拿高分,然后好好准备复试。
7、金融专硕
南京师范大学商学院金融专硕历年的招生目录显示,历年拟计划招生人数都在20人左右,招生人数稳定,但实际统考录取名额有差距;专业课历年考的都是432金融学综合,该专业从19年开始不招同等学力。详情见下文。
南京师范大学金融专硕2021年拟招生>>
南京师范大学 金融专硕2020年拟招生>>
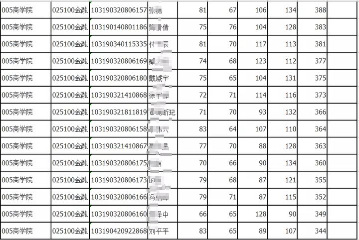
2018年南京师范大学金融专硕复试分数线330,一志愿进复试人数为16人,统考拟录取10人,不包含11名推免生,2名调剂;一志愿最高分389,最低分330,平均分360,复录比1.6:1。
2018年复试名单>>
2018年拟录取名单>>
2019年南京师范大学金融专硕复试分数线380,一志愿进复试人数为15人,最终拟录取了10人,复录比1.5:1,拟录取最高分416,最低分382,平均分397。
2019年一志愿复试名单>>
2019年拟录取名单>>
2020年南京师范大学金融专硕一志愿进复试人数有14人,复试线344分,最终统考拟录取了14人,不含11名推免生,复录比1:1,拟录取最高分388,最低分344,平均分366。
2020年一志愿复试名单>>
2020年拟录取名单>>
从具体录取情况来看,南京师范大学的金融专硕实际统考招生人数不多,18、19年稳定统考招生10人,20年录取了14人,该专业推免生和实际录取名额差不多。
19年复试分数线有所上涨,可以从具体分数看出来数学普遍在110-120,专业课分数也较高;20年的复试线344分,数学分数在100左右的居多。南京师范大学的金融专硕普遍招生人数少,且考生生源质量较好,同学们要是想要报考该校的金融专硕还是观望一下21年的最新情况。
8、社会工作
南师大的社会工作专硕开设在社会发展学院,其下有社会政策与社会福利、青少年社会工作与老年社会工作、社区工作与社区矫正、精神健康社会工作这几个研究方向。2021年专业目录显示其统考拟招生27人,计划招生不算少。
下面是其社会工作专业近两年的考研情况汇总:
南师大的该专业近两年复试人数都在30人左右,实际统考录取25人,录取人数是比较稳定的,也不算特别少。
不过就单从2019年和2020年的考研情况来看,南师大的社会工作录取分数波动确实是蛮大的,19年复试线竟然高达376分,2020年分数线回落了不少。这也恰好说明一点,那就是南师大的社会工作似乎并不那么好考,我们不能再以“冷门专业”的角度来看待这个专业的考研难度了。
从复录情况看,20年同学们的政治英语成绩总分在140左右的偏多,说明考生生源实力水平比较好。但具体专业课分数110左右的偏多,上120的同学较少,南京师范大学社工专业课还是存在一定难度的,大家的竞争重心还是要在专业课上。同学们想要上岸,建议多收集南师大的历年社会工作的真题和参考书籍。
南师大的社会工作,我目前不是特别推荐,就算是录取分数有所回落的2020年,实际录取分数也是略微偏高的。不过这里也建议大家多多关注一下2021年的考研情况。
9、教育学
南师大的教育学学科实力A,同等级的是华中师大和东北师大,A+级仅有华东师范和北京师范这两所,所以南师大的教育学学科实力是很强的,妥妥的排进前五。
教育学学硕专业开设较多,且学校还有不少自设专业和特设专业,但各专业统考招生普遍较少,基本都在个位数。
专业课有变化
19年和20年考研情况相差较大的一个原因是专业课的改变,19年及之前教育学学硕的专业课考的是自命题620教育学基础综合,而20年换成了311教育学专业基础综合统考。19年上述专业录取考生的专业课平均分在240左右,而今年仅有215左右。
统考录取人数相对比较少,基本都在个位数
招生稍微多一点的有教育学原理、课程与教学论、学前教育学这几个专业,但每年统考录取也仅有十人上下。而像教育史、比较教育学、高等教育学等专业招生都是比较少的,近两年统考录取都在5个以下。
录取分数方面
今年上述大部分专业的录取最低分都在350上下,超过国家线20分左右,算不上很高,但和突然换专业课有一定关系,毕竟19年录取最低分都有达到370+的专业。整体上今年的录取分数参考性不强,估计后面录取分数会回升,参考19年的录取分数水平更可靠一些。
补充:
课程与教学论除了在教育技术学院有开设外,在教师教育学院也有开设。
教师教育学院的课程与教学论19年及之前初试专业课也是考的自命题,但不是620教育学基础综合,而是646教育学专业基础,20年也换成了311教育学教育学专业基础综合统考。同样的,统考招生也比较少,实际录取人数和教育技术学院差不多。
前面我有提到南师大的教育学学硕下面有不少自设或特设专业,这些自设(或特设)专业的专业课也都有更改,前些年也是考自命题,20年也都统一换成了311统考。这其中教师教育专业性价比还相对比较高,招生人数较多且稳定,复试分数线不高,近两年都只在国家线上不到10分,录取分数在南师大众多教育学学硕专业中相对较低。
再次补充:
南师大还有一个和教育学相关的专业--教育技术学,但这个专业没有开设在教育学下,而是划在理学下招生,所以它的研究方向和一般的教育类专业有一定区别,具体研究方向和考试科目如下:
就从研究方向和考试科目来说,这个专业是不适合本科纯教育学专业的同学报考的,更适合理工科专业的小伙伴报考。
这个专业划在理学下招生,遵循的就是理学的国家线,从这两年的复试划线来看,都要高出国家线70分左右,划线相当的高;另外近两年的录取平均分也都在390上下。
专硕中学科教学近年的考研情况如下:
(嗯,学科教学下面的所有专业都展现了真实的“劝退”实力。)
南师大的学科教学下各方向对报考考生的本科专业没有明确要求,不过一些院校对学科教学都是有报考的限制要求的,像之前我们提到过华中师范的学科教学(语文)就仅限本科是汉语言文学(中文)专业的考生报考,陕西师范大学的学科教学(英语)也仅限于本科为英语专业的考生报考。
专硕的专业课没有发生更改,近两年均为333教育综合加一门对应方向的专业课
(1)招生人数不算很多,但20年有小幅扩招
学科教学下各方向统考录取大多在十几人左右,学科教学(历史)招生相对少一些。今年部分专业有小幅扩招,比如学科教学(语文)、学科教学(数学)统考实际录取都在三十人以上,不过明年是否还会保持这种扩招趋势,目前还不太确定。
(2)各专业录取分数很高
近两年学科教学下各方向的录取平均分大多都在370-380上下,录取分数很高。像学科教学(思政)、学科教学(物理)近两年的复试线就高达370分左右;去年学科教学(英语)的复试线更是高达385分,受去年的影响加上今年扩招的原因,今年的复试线有所降低。
整体上学科教学下各方向考研难度都挺大,除了招生人数较少、录取分数很高之外,各方向报考热度也不小、且复试刷人比例也会比学硕类专业高一些。
除了学科教学外,南师大的教育学下还开设有教育管理、现代教育技术、小学教育、心理健康教育等专硕,这几个专硕在20年也有小幅的扩招,但这两年最开始的计划招生是相对一致的,所以这里的扩招应该是为了响应扩招政策。整体上今年各专业的录取人数都不算少,但在19年的时候,招生稍微多一点的仅有职业技术教育和心理健康教育这两个专业。
多数专业的复试分数线比较低,基本都在国家线上一点;但这里面小学教育专硕的复试分数线相当高。19年小学教育专硕的复试线高达390分,20年有所下降,但也高达380分,这应该是南师大教育类相关专业里面收分最高的一个,建议大家谨慎报考。
就目前来说职业技术教育和心理健康教育的性价比会相对高一些,近两年这两个专业的复试线相对较低,招生人数也较多,尤其是心理健康教育复试几乎不刷人。
南师大教育学下面开设的专业较多,这里先大致总结一下各自的考研特点:
学硕专业:招生少、收分高;今年刚经历专业课大改,录取分数水平有所降低,但估计后面会回升。
学科教学:招生较少、收分极高;今年有小幅扩招,之后是否会延续这一扩招趋势暂不确定。
其余专硕:复试线普遍较低(小学教育是个例外),相比之下统考招生是最多的那一趴。
10、马克思主义理论
南师大的马克思主义理论学科实力A,和教育学在同一档次。目前直接以一级学科招生,其下有马克思主义基本原理、马克思主义发展史、思想政治教育等研究方向。
从今年的复试名单来看,录取考生的初试专业课成绩比较高,专业课一的平均分在110+,而专业课二的平均分高达130+。也正因为如此,整体的录取分数水平也是相当高的,近两年的录取平均分都接近390分,最低分也在370左右。
录取人数上,近两年的计划招生一致,均为53人,但是今年实际录取人数有所增加,接近70人。
南师大马克思主义理论专业的热度不小,近两年在复试划线比较高的情况下,进入复试的考生都还相对较多,每年复试都要淘汰15人左右。
师范类院校的马克思主义理论专业性价比是很高的,如果能把握住专业课的复习侧重点,像南师大这样的院校就是挺不错的选择,但如果把握不住专业课,那就很有可能连复试线都过不了了。
11、中国语言文学
师范类院校里面除了马克思主义理论专业很吃香,文学相关的专业也不例外。就拿南师大的中国语言文学相关专业来说,它的学科实力确实比较好,最新一轮的学科实力评估结果为A-,不过近两年热度也挺高。
20年难度不仅没有降低,反而增加了许多。
首先录取人数上并没有像其他专业一样有小幅的扩招,计划招生相比去年相差不大,但少数专业的实际录取甚至比去年还要少一些。
其次,今年的复试划线和实际录取分数相当的高,复试划线基本都在380上下,比较文学与世界文学的复试线甚至达到了400分;录取平均分基本都在390以上,比较文学与世界文学的录取平均分甚至达到了414。
南师大的中国语言文学下面还有两个自设专业,应用文体学和对外汉语。
其中应用文体学统考招生非常的少,近两年的统考实际录取都只有5人左右;对外汉语目前开设在国际文化教育学院,统考招生相对要多一些,近两年统考实际录取都在15人上下,录取最低分也都仅超过国家线一点。
整体上这两个专业的录取分数相较于中国语言文学下的其他学硕专业会稍微低一些,但毕竟自设专业,肯定会涉及到一个不太容易调剂的问题。
版权声明:我们致力于保护作者版权,注重分享,被刊用文章【南京师范大学地理科学学院(建议收藏)】因无法核实真实出处,未能及时与作者取得联系,或有版权异议的,请联系管理员,我们会立即处理! 部分文章是来自自研大数据AI进行生成,内容摘自(百度百科,百度知道,头条百科,中国民法典,刑法,牛津词典,新华词典,汉语词典,国家院校,科普平台)等数据,内容仅供学习参考,不准确地方联系删除处理!;
工作时间:8:00-18:00
客服电话
电子邮件
beimuxi@protonmail.com
扫码二维码
获取最新动态
