
华中师范大学2022年招生简章已出!
小编
第一时间为大家带来最新资讯
希望对大家有多帮助
考研加油!!

华中师范大学位于九省通衢的湖北省武汉市,坐落在武昌南湖之滨的桂子山上,占地面积120余万平方米,是教育部直属重点综合性师范大学,国家“211工程”重点建设大学,国家教师教育“985优势学科创新平台”建设高校,首批列入国家“双一流”建设高校,是国家培养中、高等学校师资和其他高级专门人才的重要基地。学校办学历史悠久,是在1903年创办的文华书院大学部(始于1871年创办的文华书院,1924年改名为华中大学)、1912年创办的中华大学、1949年创办的中原大学教育学院的基础上,1951年组建公立华中大学,1952年改制为华中高等师范学校,1953年定名为华中师范学院,1985年更名为华中师范大学。

美术学院前身为1952年组建的华中高等师范学校图画制图系,1985年学校重新恢复美术系,2004年4月成立美术学院。美术学院现有教职工80人,专业教师70人,其中教授和副教授31人,讲师 36人,助教3人。具有博士学位者18人,硕士及以上学位的教师占教师总人数比例为90%以上,在岗教师中有硕士生导师33人。学院作为华中地区美术教育与研究的重要基地,为国家培养了大量优秀的师资和专门人才。师生作品多次参加国内外展览并获奖,教师出版专著、译著、画册多本,公开发表CSSCI论文7篇;在省级以上展览中,教师作品获奖8项,论文获奖5项;研究生获奖16项,论文获奖10项。毕业生就业率近年来都保持在95%以上。
华中师范大学135107美术专硕分为以下几个方向:
1.油画
2.版画
3.国画
4·美术教育
5·新媒体艺术
全日制和非全日制一样的,初试和复试考试科目都是一样的。
初试
▲2022华中师范大学135107美术专硕招生目录
① 101 思想政治理论② 203 日语或204 英语(二)③ 726 中外美术史④ 857 艺术创作理论
复试:
1·本专业复试科目:
复试一般应包括笔试、面试、外语听说能力测试等考核形式,考核内容包括专业素质和能力、综合素质和能力的考察,具体可包含专业素养、创新能力、外语水平、实践能力等方面或其它招生单位认为需要考核的内容。
①笔试:
笔试主要是专业课考试,以测试学生专业素质和专业能力,考试时间一般为1-3小时。
②综合面试。
面试考核时间一般为每名考生20分钟。
③外语听说能力测试。
④本专业同等学力考生复试时加试:
暂未更新
2·录取规则:
总成绩应为初试成绩与复试成绩按相应权重相加之和,计算公式为:考生初试总分÷初试总分满分×100×初试权重+复试成绩(百分制)×复试权重=总成绩。
复试成绩一律采用百分制,保留两位小数。复试权重原则上控制在30%—50%,由校内各招生单位自行确定并提前公布。
对接收调剂生源的专业,复试权重可适当提高,由校内各招生单位确定后报学校审批。复试不合格者(复试成绩60分以下)不予录取。
考试形式与试卷结构(全日制和非全日制)
1. 试卷总分及考试时长:本试卷满分为150分,考试时长为180分钟。
2. 答题方式:答题方式为闭卷、笔试。
试卷题型结构:试卷题型包括简答题、论述题
初试参考书目(全日制和非全日制)

1. 中央美术学院美术史系中国美术史教研室编著《中国美术简史》;
2. 中央美术学院人文学院美术史系外国美术史教研室编著《外国美术简史》。
《中国美术史》部分考查目标
系统掌握中国美术史的基础知识、基本理论、基本概念,全面了解和掌握中国美术发展的基本线索和基本概貌,了解中国美术发生、发展的成因和规律,从而了解和掌握美术的本质。本课程的重点以绘画、雕塑史为主,要求学生对各历史时期的美术倾向、重要流派、代表性美术家、作品、画论,以及现实主义和浪漫主义的传统,作较系统地了解和掌握。美术史是以美术作品作为第一性资料,同时又伴随着情感判断和审美判断的艺术学科,应从具体作品在历史潮流中的发展和具有的超越历史的审美价值的“构造”两方面,明确美术史的发展和成就。《中国美术史》部分考查内容
史前彩陶艺术重点掌握:(一)中国美术的起源;(二)新石器时代的绘画艺术;(三)新石器时代的雕塑艺术。并能说明原始美术的艺术手法和表现特点及原始美术最明显的特征即艺术与生活的密切关系。青铜时代与青铜艺术重点掌握:(一)青铜器的种类和用途;(二)青铜器装饰纹样;(三)青铜雕塑;(四)青铜铭文;(五)甲骨文。明确我国奴隶制社会对造型艺术发展的影响及青铜艺术的辉煌成就。承前启后的战国美术重点掌握:(一)战国帛画;(二)青铜工艺;(三)工艺装饰性绘画(青铜工艺装饰性绘画、漆器装饰性绘画);(四)工艺装饰性雕塑(青铜工艺装饰性雕塑、漆器装饰性雕塑);(五)陶俑;(六)木俑;(七)石俑等。明确封建社会形成时期美术的发展与变化和承前启后的作用,特别是绘画的代表作品和艺术特色。秦汉时期的美术重点掌握:(一)秦俑艺术;(二)西汉大型石刻造像艺术;(三)西汉帛画;(四)两汉墓室壁画;(五)画像石、砖艺术。明确秦汉美术的繁荣与发展,秦汉在雕塑艺术上的成就(特别是大气磅礴的陵墓雕刻艺术);汉代绘画在种类、题材、内容上的丰富和艺术上的新风格。石窟艺术重点掌握: (一)敦煌莫高窟壁画;(二)克孜尔石窟壁画;(三)四大著名石窟造像艺术。明确外来文化的输入和各民族文化艺术相互融合的关系,以及石窟壁画和石窟造像的艺术成就和艺术特色。魏晋南北朝时期的美术重点掌握:(一)顾恺之的绘画成就及理论贡献;(二)谢赫的“六法论”;(三)宗炳、王微的山水画论;(四)墓室壁画及画像石、砖等。明确这一时期绘画及画论的长足进步及主要画家的艺术风格和理论成就。隋唐时期的美术重点掌握:(一)陵墓雕刻;(二)唐代人物画及代表画家;(三)山水画及代表画家;(四)花鸟画及代表画家;(五)重要理论家及著述。明确隋唐美术已进入我国封建艺术的隆盛时期,并对后世美术的发展具有深远的影响。五代十国的美术重点掌握:(一)人物画家及代表作品;(二)“荆、关、董、巨”的山水画、花鸟画及“徐黄异体”。明确五代绘画承前启后的作用。两宋时期的美术重点掌握:(一)“院体画”与“文人画”之争;(二)武宗元的道释人物;(三)张择端的《清明上河图》及南宋风俗画;(四)两宋山水画及代表人物;(五)两宋花鸟画及代表人物。明确这一时期在绘画技法上的成熟,以及题材广泛,风格多样的特点。元代美术重点掌握:(一)赵孟頫的绘画成就及理论主张;(二)元四家。明确这一时期文人画的成熟和盛行以及对后世绘画的影响。明代美术重点掌握:(一)“浙派”与“吴派”之争;(二)“明四家”;(三)董其昌及“南北宗论”;(四)明代花鸟画及代表人物;(五)“南陈北崔”及“波臣派”人物画;(六)明代版画及壁画。明确这一时期美术发展的复杂性和艺术特色。清代美术重点掌握:(一)清初四王;(二)清初四僧;(三)金陵八家;(四)扬州八怪;(五)石涛画论《苦瓜和尚画语录》。明确清代画坛不同流派的形成与发展,以及各画派的不同风格和特点。近现代美术重点掌握:(一)海派;(二)岭南画派;(三)“西学东渐”及代表人物。明确近现代美术史、美术理论研究的发展。《外国美术史》部分考查目标
考试内容包括外国美术史的基本知识;读图和识图的能力;美术史学科的基础理论和基本方法。知识层面要求考生掌握各历史阶段的重要美术成就、艺术现象和艺术思潮,重要美术流派以及重要艺术家;识图层面要求考生能够通过直观把握作品的形式和风格,进行图像识别和分析,并运用背景知识和理智分析判读作品的年代、地区、流派等信息;理论和方法层面要求考生能够了解美术史学科的基础理论和研究方法,并能运用相关理论和方法分析、解决美术史研究中的实际问题:
系统掌握外国美术的发展历程、重要艺术流派、艺术风格、艺术家和艺术思潮。能够通过直观把握作品的形式和风格,进行图像识别和分析,并运用背景知识和理智分析判读作品的年代、地区、流派等信息。了解美术史学科的基本理论和研究方法。能够运用美术史基本方法分析具体的艺术作品。《外国美术史》部分考查内容
古代美术(一)了解古代两河流域苏美尔-阿卡德时期、巴比伦时期、亚述时期、新巴比伦时期这四个阶段主要的美术成就;(二)了解古代埃及古王国时期、中王国时期和新王国时期的主要美术成就。古典时期美术(一)掌握古希腊建筑柱式特征,古希腊瓶画风格特征,以及古风至希腊化时期古希腊雕塑的风格发展变化与主要雕塑作品;(二)掌握古罗马在建筑、雕刻、绘画方面的成就;(三)掌握古罗马美术对古希腊美术的继承与发展。中世纪美术(一)了解拜占庭帝国建筑与绘画方面的成就;(二)掌握加洛林文艺复兴的涵义;(三)罗马式美术与哥特式美术的技术、风格、样式,代表性作品以及其所处的历史文化背景。文艺复兴美术(一)认识文艺复兴的定义以及社会、文化、经济背景;(二)了解意大利文艺复兴的成就,掌握重要的艺术家和美术作品、美术流派;(三)了解北方文艺复兴的概念,重要的尼德兰和德国艺术家、美术作品、美术流派;(四)把握西班牙和法国文艺复兴时期的重要艺术家和美术作品。17、18世纪美术(一)了解17、18世纪的意大利美术,掌握学院派、卡拉瓦乔主义与意大利巴洛克风格各自的特征、样式、风格;代表性的艺术家和重要作品;(二)掌握17、18世纪佛兰德斯、荷兰的重要美术作品和艺术家;(三)掌握17、18世纪西班牙、法国和英国的重要美术作品和艺术家。19世纪美术(一)掌握法国新古典主义、浪漫主义、现实主义的风格特征,主要艺术家及代表作品;(二)掌握法国印象主义、新印象主义、后印象主义的风格特征,艺术理念,主要艺术家及代表作品;(三)掌握19世纪英国美术的成就,包括英国风景画、浪漫主义历史画、拉斐尔前派、唯美主义运动等内容。20世纪美术(一)了解20世纪现代主义美术的发展,掌握各现代主义流派的艺术主张、艺术特色、重要艺术家、重要作品。(二)了解在后现代主义思潮的影响下,艺术的新趋势、新媒介、新形态。历年真题
【2019年真题】

【2020年真题】
726美术综合理论
一、简答(15*6)
1.以青铜器《四羊方尊》和《莲鹤方壶》为例试比较商代和春秋时期青铜器的时代特色。
2.比较魏晋敦煌莫高窟与隋唐敦煌莫高窟在形式样貌和造型特点。
3.试答从唐代至明代白描人物画的演变。
4.简答希腊化时期不同地域的雕塑艺术多样性。
5.俄罗斯巡回展览画派主题性,社会性与美学原则。
6.法国古典主义与新古典主义的异同。
二.论述(30*2)
1.列举画论文献证明作画主客观的优良传统。
2.比较立体主义,构成主义,未来主义的联系与区别。
专业二统考科目为857艺术创作理论。考试时间为3小时,考试分值150分。
参考书目(全日制和非全日制)
《艺术学概论》编写组编《艺术学概论》高等教育出版社2019。
历年真题
【135107国画、油画、版画2019年真题】
①报考国画、油画、版画的研究生,要考素描(含速写);近3年素描考试内容为半身带手,速写(时间为25分钟)、考试内容为全身站姿或坐姿速写1幅;考场提供模特(青年人)、画板画架、对开素描纸、8开速写纸等。
②素描考试时间为12月23日上午8:30—11:20、下午1:30—4:00;
③速写考试时间为11:35—12点,去年考试内容为着衣青年站姿或坐姿全身速写1幅。
【135107国画、油画、版画2018年真题】
①素描(含速写)考试具体安排:素描、速写专业课考试时间是12月24日一天,具体安排是:素描考试时间为上午8:30—11:20、下午1:30—4:00。去年考试内容为着衣青年半身像(坐姿带手)。
②速写考试时间为11:35—12点,去年考试内容为着衣青年站姿或坐姿全身速写1幅;
③请考生自备绘画工具,考生可自带速写板考速写。④考场提供画板、画架;素描纸(对开)、速写纸(8开)各一张。
【135107新媒体艺术真题】
分环艺、视传和数字媒体三个方向
(892)快题设计
1·考快题设计(手绘)的考生,应带铅笔、签字笔、彩色铅笔、橡皮、30cm三角板、马克笔、水彩、水粉、4开画板等绘画工具和颜料(考场只提供4开水彩纸)。考场内提供1张4开水彩纸以及4张草图纸。
另外,视觉传达设计的考生还需带曲线板及圆规;环境艺术设计的考生还需带一把60cm丁字尺。
2·考试时间3小时
环境艺术设计考题:
2021 “文化与科技”展厅
2020 二层书吧空间设计
2019 售楼部设计
2018 装饰设计公司
2017 酒水吧餐饮空间设计
2016 主题餐厅空间设计
要求:快题设计中包含效果图/平面图/立面图/设计说明/分析图/天花图等。
视觉传达设计考题:
2019年 “关爱残疾人”为题进行海报设计
2018年 “塑料海洋”为题进行海报设计
2017年 《湖北省非物质文化遗产展览》为题进行海报设计
2022年135107专业课二改为857 艺术创作理论。初试两门理论,复试考等专业考手绘等。具体复试内容还没有出来,但是可以参考往年的。
【2021年135107考试科目】
【2020年135107考试科目】
【2019年135107考试科目】

【2019年美术教育866美术教学论考试大纲】
《美术教学论》考试大纲
一、考查目标
报考美术教育方向硕士学位入学考试科目《美术教学论》的考查目标是,要求考生系统理解和掌握中小学美术教学论的背景知识、中小学美术教学的目标、中小学美术课程的设计与载体、中小学美术教学的方法、中小学美术教学评价、中小学美术课程资源、中小学课外校外美术教学、中小学美术教师的职业素质与能力等内容,获得中小学美术课程与教学的基本认知框架,形成基本的中小学美术课程编制能力,具备基本的中小学美术教学设计、实施与评价能力,并逐步形成中小学美术教育的职业意识和终身学习发展的能力。
二、考试形式与试卷结构
(一)试卷成绩及考试时间
本试卷满分为150分,考试时间为180分钟。
(二)答题方式
答题方式为闭卷、笔试。
(三)试卷题型结构
含简答题及分析论述题。
三、参考教材
《中小学美术教学论》,尹少淳主编,湖南美术出版社,2012年;《普通高中美术课程标准(2017年版)》,中华人民共和国教育部制定,人民教育出版社,2018年;《义务教育美术课程标准(2011年版)》,中华人民共和国教育部制定,北京师范大学出版生,2012年。
四、考查内容
(一)中小学美术教学论的背景知识
在深刻认识美术和教育的基础上理解美术教育的内涵,认识美术观与教育观对美术教育的影响,深入理解不同取向的美术教育的特征;了解中西方美术教育演进的基本脉络,知道中西美术教育中的重要思想和主要事件,以及影响美术教育发展的各种的因素;认识中小学生的身心发展特点和美术能力发展规律,掌握正确的学生观以便有效地进行中小学美术教学。
(二)中小学美术教学的目标
认识美术教育价值所涵括的认知价值体系、情感价值体系和创造价值体系,理解中小学美术教学目标的设定与美术教育价值实现的紧密关系;深入理解中小学美术教学目标的知识与技能、过程与方法、情感态度与价值观等三个维度及其内在联系;深刻认识和理解义务教育美术课程的总目标和各学习领域的课程目标和阶段目标,以及普通高中美术课程总目标和各模块的课程目标,掌握中小学美术教学目标设定的方法;了解世界各国课程改革发展趋势,认识我国中小学美术教育改革新动态,深入理解美术核心素养的涵义,并思考中小学生美术核心素养培养的方法。
(三)中小学美术课程的设计与载体
深入认识中小学美术课程,理解美术学科内容体系;认识文化资源到美术课程的路径与方法,掌握中小学美术课程的设计基础和方法;深入研读中小学课程标准,深刻认识国家美术课程标准与美术课程设计的关系;全面而完整地理解美术教材,认识美术教科书的编写方法和结构特点,培养创造性运用教材的意识以及自觉利用文化资源改编或编写教材和设计课程的意识。
(四)中小学美术教学的方法
深入理解中小学美术教学活动的必要条件和影响因素,认识美术教学的基本问题并能结合具体的教学案例进行分析;能够通过教学案例的分析和评价把握中小学美术教学的基本规律和特点,了解美术教学设计的基本方法,能依据中小学美术课程标准的要求灵活运用大学所学习的中外美术史、艺术概论、绘画、设计等专业知识以及中小学美术教材,依据中小学生身心发展规律及美术年龄特征,进行具体的美术教学设计,编写基于美术课程标准和学生特点的美术教学案例并做好相关的物质准备;深入认识美术教学中教的行为和学的行为,以及两者的紧密关系,了解中小学美术课堂主要教学行为的功能与表现形式,知道如何灵活地选择和运用教学行为;结合具体的美术教学优秀案例了解中小学美术课堂不同门类教学的基本方法,把握中小学美术课堂不同门类教学的要点,根据学生年龄特点实施不同门类的美术教学。
(五)中小学美术教学评价
掌握中小学美术教学评价的概念及内涵,知道美术教学评价的不同分类及其依据;理解教学评价的目的是促进学生的全面发展,理解中小学美术教学评价的目的及其理论依据与思想来源;深入认识和理解中小学美术教学评价策略和各种评价方法,并能有效地运用于美术教学。
(六)中小学美术课程资源
全面理解美术课程资源的内涵,了解美术课程资源的形态和分类方式;认识中小学美术课程资源开发与利用的原则和步骤,掌握美术课程资源开发与利用的基本策略;对美术课程资源中人力资源和各种物力资源的重要性有深入的认识,对如何开发与利用美术课程的人力资源和物力资源有全面的了解。
(七)中小学课外校外美术教学
明白课外校外美术教育的内涵,知道课外校外美术教育的意义与价值;了解中小学课外校外美术教育的类型,明确中小学课外校外美术教育不同的特点;理解课外校外美术教学的意义和具体的形式。例如,了解我国少年宫美术教育的性质、形式与模式以及美术兴趣活动的特点;了解博物馆美术教学的特点、基本方式和主要组织形式;了解社区美术教育的独特作用、基本目标和内容;了解民间美术教育机构的教育特点、作用及其局限等。
(八)中小学美术教师的职业素质与能力
深入理解中小学美术教师的职业特征,认识美术教师所应具备的基本职业资质、人格特征与魅力,明晰成为一名优秀美术教师所应具备的素质与能力;了解教师专业化的内涵,熟识美术教师专业化发展的途径和方法,明确美术教育研究在美术教师专业化发展过程中的重要作用;理解和掌握美术教育研究的概念、内涵和主要的研究类型及研究方法,学会运用所学到的美术教育研究方法展开具体的中小学美术教育教学研究,解决教学实践中的具体问题。
2021年录取分数线

▲2021录取分数线
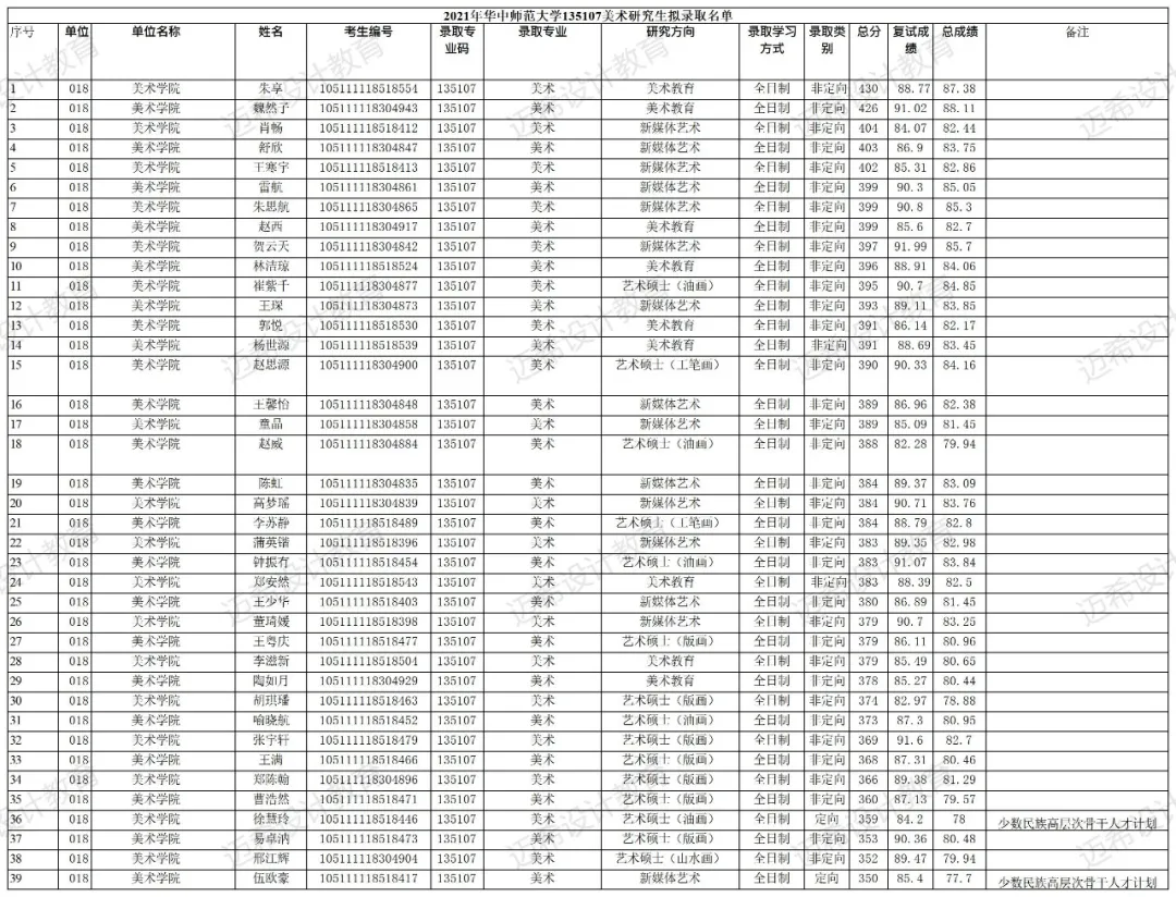
2021年录取情况
2021年华中师范大学美术专硕一共录取39人,初试分数最高分430分、初试分数最低分350分。

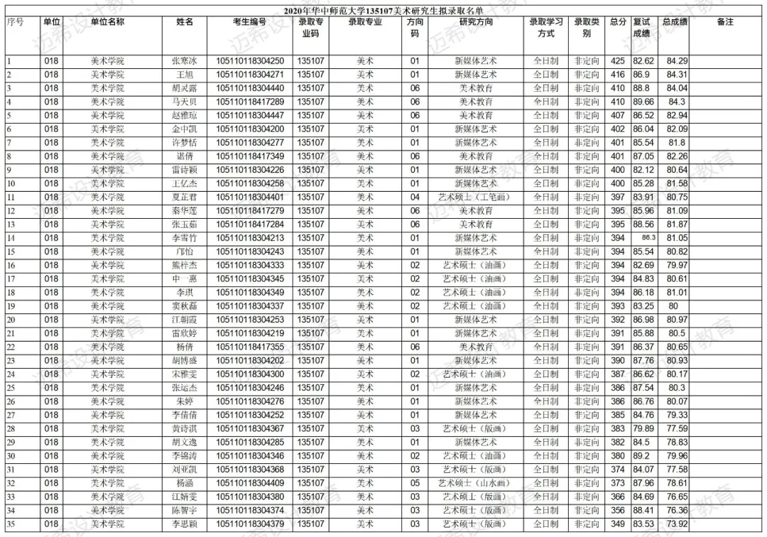
2020年录取情况
2020年华中师范大学美术专硕一共录取35人,初试分数最高分425分、初试分数最低分349分。

版权声明:我们致力于保护作者版权,注重分享,被刊用文章【华中师范大学考研专业目录(2023考研院校解析)】因无法核实真实出处,未能及时与作者取得联系,或有版权异议的,请联系管理员,我们会立即处理! 部分文章是来自自研大数据AI进行生成,内容摘自(百度百科,百度知道,头条百科,中国民法典,刑法,牛津词典,新华词典,汉语词典,国家院校,科普平台)等数据,内容仅供学习参考,不准确地方联系删除处理!;
工作时间:8:00-18:00
客服电话
电子邮件
beimuxi@protonmail.com
扫码二维码
获取最新动态
