自20世纪90年代,在经济全球化浪潮下,一些国家之间签订自由贸易协定,降低甚至取消彼此间部分商品的贸易关税,促进商品的自由贸易。图1示意汽车企业在已签订自由贸易协定的甲、乙两国的产业布局调整。据此完成1—3题。
1.汽车企业将组装厂由甲国转移至乙国的主要目的是
A.创新技术 B.拓展市场
C.扩大规模 D.降低成本
2.该产业布局模式宜发生在邻国之间,主要原因是邻国之间
A.消费习惯相近
B.经济发展水平相近
C.运输费用较低
D.研发成本差异较小
3.该产业布局调整导致甲国汽车的
A.进口量增多
B.出口量增多
C.销售量增多
D.生产量增多
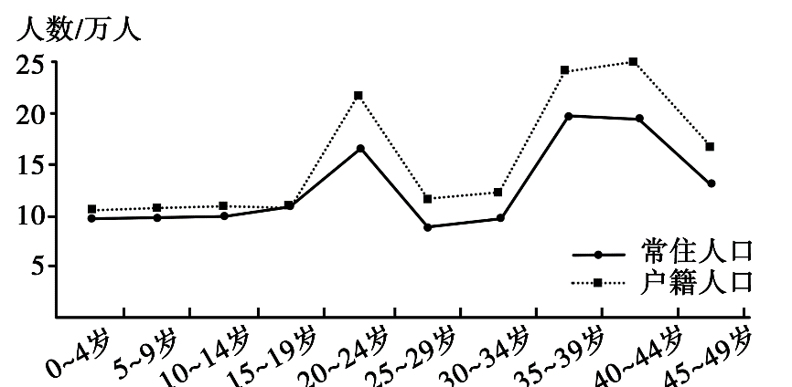
户籍人口与常住人口的差值可以表示当地人口常年(半年以上)外出的数量。图2显示2010年我国西部某市50岁以下各年龄组女性人数。调查表明,该市妇女生育峰值在21—29岁。据此完成4—6题。
4.以下时间段中,该市人口出生率最高的为
A.2001~2005年
B.1991~1995年
C.1981~1985年
D.1971~1975年
5.造成该市20~24岁年龄组人数明显偏多的原因可能是,该组人口出生期间
A.生育政策放宽
B.经济发展提速
C.育龄妇女较多
D.生育观念转变
6.推测2010~ 2030年该市人口发展的变化是
A.人口出生率逐渐提高
B.人口增长较为缓慢
C.2025年迎来生育高峰
D.人口总量逐渐减少
图3示意某地质剖面,其中①指断层。据此完成7~8题。
7.①②③④中最先形成的是
A.①
B.②
C.③
D.④
8.砂砾石层的下界为相对平坦而广阔的面。该面形成时期,所在区域可能
A.地壳持续抬升,遭受侵蚀
B.地壳持续下降,接受沉积
C.地壳运动稳定,遭受侵蚀
D.地壳运动稳定,接受沉积
勘察加火山群位于环太平洋火山带的北端,气候冷湿,火山锥各坡的降水差异小,近几十年来受全球气候变化的影响,火山锥的林线(森林分布上限)升高、雪线(终年积雪下限)有所降低。此外,其他干扰也影响林线和雪线高度。例如,火山喷发彻底做坏原有景观,若干年内该火山锥的林线与雪线高度往往发生显著变化。据此完成9~11题。
9.一般情况下,与阴坡相比,该地火山锥阳坡的
A.林线与雪线更高
B.林线与雪线更低
C.林线更高、雪线更低
D.林线更低、雪线更高
10.林线升高,雪线有所降低,表明火山群所在区域气候变化趋势为
A.暖湿
B.暖干
C.冷湿
D.冷干
11.火山喷发后若干年内,该火山锥
A.林线升高,雪线升高
B.林线升高,雪线降低
C.林线降低,雪线升高
D.林线降低,雪线降低
一卷:CBCBA DBDACD
二卷:ADBCD CACDAB
三卷:DCADC BDCAAB
这三卷选择题你能拿下几题?你觉得难度系数怎么样?快来分享你的经验吧!
版权声明:我们致力于保护作者版权,注重分享,被刊用文章【高考地理选择题(2020年全国高考文综地理1)】因无法核实真实出处,未能及时与作者取得联系,或有版权异议的,请联系管理员,我们会立即处理! 部分文章是来自自研大数据AI进行生成,内容摘自(百度百科,百度知道,头条百科,中国民法典,刑法,牛津词典,新华词典,汉语词典,国家院校,科普平台)等数据,内容仅供学习参考,不准确地方联系删除处理!;
工作时间:8:00-18:00
客服电话
电子邮件
beimuxi@protonmail.com
扫码二维码
获取最新动态
