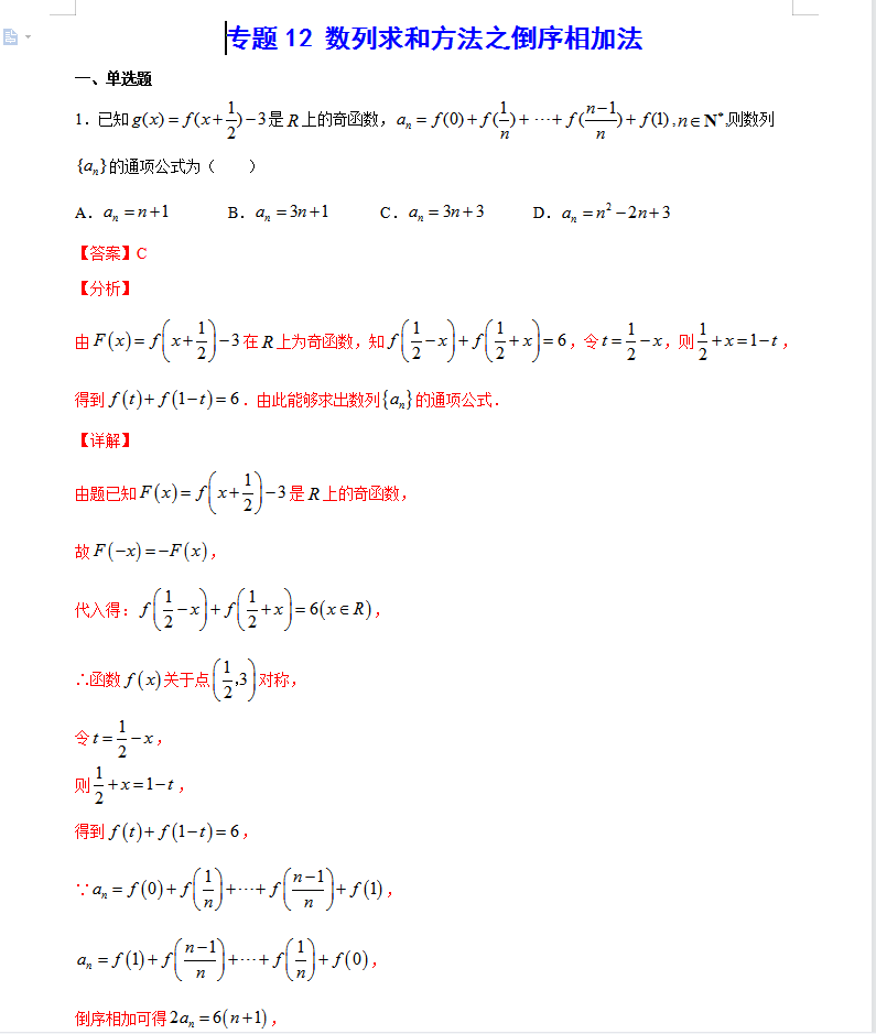
为什么高中数学这么难?!
为什么数学的这些逻辑感觉都没有学过?!
为什么这道题明明课堂上懂了,课后这样的题型做题起来就不会了?!
……
不少学生都会问这样的问题!
其实,就一个字,欠练!噢,不,两个字!!!
字很简单,但是实际操作起来的时候,大部分学生就是犯困,要么就是懒得动,要么就是随便弄个考点糊弄一下,做了个假努力!所以,课后的基础一差再差,导致数学的成绩一直提升不上去!
数学学霸,往往都是练出来的!
这些年来,洪老师也跟过很多学霸的数学学习习惯!其实无疑就是多练为关键!当然,他们的练是有惯性的,会由始至终的有计划性的进行题型啃透!
比如说,数列求和的这样的基础题型,方法就是那么几种,但是题型归纳起来会稍有变化,但是都没关系,逐个逐个把这些考点所遇到过的题型进行通篇的归纳,然后看看自己对这些的题型掌握程度是怎么样的!反复操作一篇后,就会发现自己对这些点真的吃透了!
所以,缺的是有计划的练!
特别是高三的数学复习!
其实,高中数学基础点所有人都一样,而最难点的题型,细分下来也不过才60,逐个题型进行多练,熟能生巧是最关键的了!
下面是洪老师高考必备资料,名师指点大提分系列:高考数学60个热点难点吃透大全,如有需要完整版的,可关注下后呢然后点下我头像后会有个私信,那里回下:043
版权声明:我们致力于保护作者版权,注重分享,被刊用文章【高考数学你真的掌握了吗(为什么数学总是课堂上懂了)】因无法核实真实出处,未能及时与作者取得联系,或有版权异议的,请联系管理员,我们会立即处理! 部分文章是来自自研大数据AI进行生成,内容摘自(百度百科,百度知道,头条百科,中国民法典,刑法,牛津词典,新华词典,汉语词典,国家院校,科普平台)等数据,内容仅供学习参考,不准确地方联系删除处理!;
工作时间:8:00-18:00
客服电话
电子邮件
beimuxi@protonmail.com
扫码二维码
获取最新动态
