重庆
黑龙江
江苏
安徽
江西
贵州
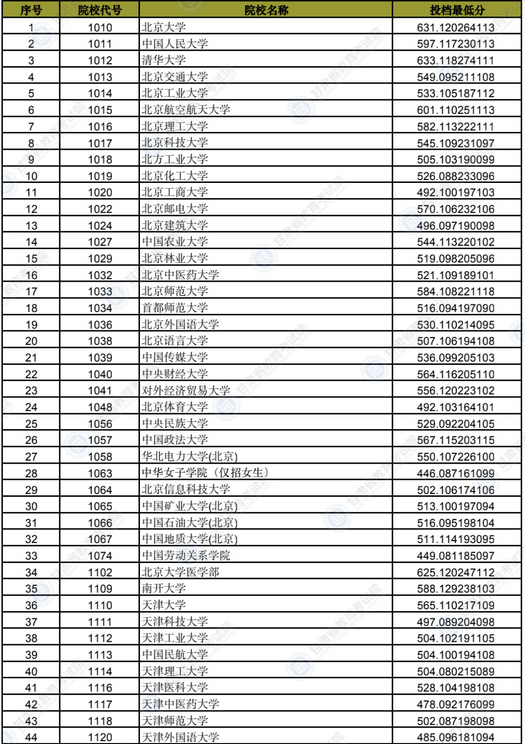
本科提前批(B段)理工类、文史类院校投档最低分
理工类
文史类
体育类
艺术类
四川
甘肃
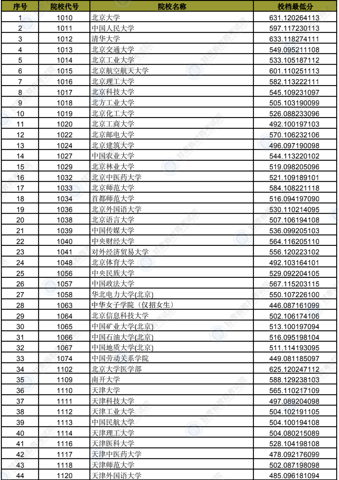
本科提前批(B段)理工类、文史类院校投档最低分
U段艺术体育类专业投档最低分
广西
声明:本文内容来源于公众号:掌上高考APP官方(zsgkapp),善利名师排版整理发布。版权归原作者所有!如有侵权请联系删除。
版权声明:我们致力于保护作者版权,注重分享,被刊用文章【本科提前批B有哪些学校(提前批录取结果已出)】因无法核实真实出处,未能及时与作者取得联系,或有版权异议的,请联系管理员,我们会立即处理! 部分文章是来自自研大数据AI进行生成,内容摘自(百度百科,百度知道,头条百科,中国民法典,刑法,牛津词典,新华词典,汉语词典,国家院校,科普平台)等数据,内容仅供学习参考,不准确地方联系删除处理!;
工作时间:8:00-18:00
客服电话
电子邮件
beimuxi@protonmail.com
扫码二维码
获取最新动态
