中国海洋大学,简称中国海大、海大位于中国山东省青岛市。学校是中华人民共和国教育部直属的综合性重点大学,是国家“双一流”、“985工程”和“211工程”重点建设高校之一,世界大学学术排名内地排名第33位。
1924年创立私立青岛大学
1929年6月筹建国立青岛大学
1932年更名为国立山东大学
1959年3月成立山东海洋学院
1988年1月更名为青岛海洋大学
2002年更名为中国海洋大学
1、强势学科
世界一流学科建设学科:
海洋科学、水产
国家重点一级学科:
海洋科学、水产学、食品科学与工程、坏境科学、水利工程
国家重点二级学科:
物理海洋学、海洋化学、海洋生物学、海洋地质学、水产养殖、捕捞学、渔业资源、水产品加工及贮藏工程、坏境科学、港口海岸及近海工程(培育)
PS:跟水产,海洋,渔业有关的都是她的强势学科!!!比如:水产养殖(第一名)、渔业资源(第一名)
2、其他专业
除了海洋,水产等特色专业之外,其他专业的学科排名都一般般。
虽然是综合性院校,但是很多学科开设的不全面,比如目前没有合并医学院,校内关于医学的专业课程少之又少,另外没有独立的教育学院,历史学、艺术类都是没有开设相关专业的。
3、热门专业
经管学院:推免名额不多,热门的经管类专业招录人数相对于其他985来说较多,报录比较低,推荐报考。
法政学院:法硕的非全招生比全日制还多,报录比也很低,3.5:1,就算是考研大热门的行政管理报录比也才7:1,对这个专业来说算是比较低的了。
文学学院:文学类专业招生不算多,但是报录比算是文学中比较温和的了。一般的985院校会达到20:1以上。
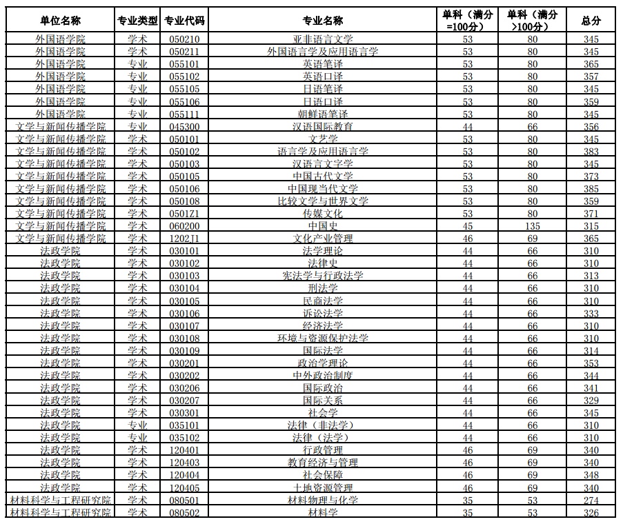
4、复试基本线
5、专业建议
专业实力优秀的考生:海洋、水产、渔业
特别说明一下,海大的强势学科没有想象的那么难考。
1,这些专业相对于其他专业来说冷门。
2,专业性比较强,报考人数比较少,由于是学校的王牌专业,招的人数比较多。
专业实力一般的考生:经管、法政、文学、工科(材料)
推免人数占五分之二,基本复试线适中,招录人数较多,报录比大,考题偏常态,考上的可能性较高。
专业实力较差的考生:教育、工学、理学
推免人数占三分之一,基本复试线不高,招录人数较多,报录比大,考题偏常态,考上的可能性极大。
2017年,学校共有毕业生6106名,其中毕业研究生2426名(含博士毕业生271名),本科毕业生3680名。
学校2017年毕业生初次就业率为91.03%,其中,毕业研究生就业率为92.00%,本科毕业生就业率为90.38%,1305名本科毕业生考取了研究生,占本科毕业人数的35.46%。(以上所有数据统计截止日期为2017年8月31日)
1、关于校园
请说出你考海大的原因:因为你美呀!!!特别呀!!!
海大被誉为“中国十大最美大学”之一,可能是国内大学具有西洋风格的最完美的建筑群,在毁灭性的新建筑风潮中,能保留一份这样的格调本身就是一个奇迹。他还是国内极少数拥有独立小岛研究生中心的学校。
下面美图来袭,流量预警!!!
2、关于被黑
关于认知:海大的自以为是和固地自封,总拿国字号、211、985来说事儿,其实海大在2002年达到了他近几十年的高峰,之后就一直在吃老本,不断发展缓慢。
关于学科实力:海大是一所行业类211、985工程重点大学,除了海洋、水产之外在同级别大学并无优势,文科类尤其。
关于教育:培养的大部分学生缺乏商业思维,缺乏创新力和竞争意识,实践和动手能力较差。
关于经费:欠债很多,沦落到卖地。
那又怎么样,她还是985,双一流,你阻止不了哒。
版权声明:我们致力于保护作者版权,注重分享,被刊用文章【中国海洋大学就业信息网(热门考研院校概览)】因无法核实真实出处,未能及时与作者取得联系,或有版权异议的,请联系管理员,我们会立即处理! 部分文章是来自自研大数据AI进行生成,内容摘自(百度百科,百度知道,头条百科,中国民法典,刑法,牛津词典,新华词典,汉语词典,国家院校,科普平台)等数据,内容仅供学习参考,不准确地方联系删除处理!;
工作时间:8:00-18:00
客服电话
电子邮件
beimuxi@protonmail.com
扫码二维码
获取最新动态
