一、系统在各种运行方式下发电机的电磁功率
1、正常运行方式
运行正常时,如果发电机用暂态电抗xd’后的电动势E’作为其等值电动势,由等值电路可得,电动势E’与无穷大系统母线U之间的电抗为:
相应地,发电机发出的电磁功率为:
2、故障运行方式
如果突然在一回路输电线路始端发生了不对称短路,根据假设,只计算不对称短路时的正序电流分量及正序功率,可在正序网的故障点上,接一附加电抗构成正序增广网络,此时发电机E’与无穷大系统U之间联系电抗由网络变换(星型网络变换成三角形网络)得到
式中 X为附加电抗,当故障是单相接地时,
当故障是两相接地时
当故障是三相短路时
发电机输出的电磁功率为
3、故障切除后的运行方式
在短路故障发生后,线路的继电保护装置将迅速断开故障线路两端的断路器,此时发电机E’与无穷大系统U之间的电抗为XIII=X’d+XT1+XL+XT2
相应的发电机输出的电磁功率为:
一般情况下,以上三种运行方式下电抗之间有如下关系
相应三种运行方式下,发电机输出的电磁功率之间的关系为
二、系统受大扰动后的物理过程分析
下图所示为发电机在系统正常运行、故障时和故障切除后三种运行方式下的功角特性曲线。当处于正常运行状态下时,发电机向系统输送的有功功率为PEq,对应的功角为δa,如图中a点,忽略各种损耗,则发电机发出的电磁功率也为Peq。
在发生短路故障时,工作特性曲线从PI变为PII,转子由于惯性功角δ不能跃变,仍为δa,此时运行点将由PI曲线上的a点跃变为PII曲线上的b点,此时输入机械功率大于输出电磁功率,转轴上出现过剩转矩,转子将加速,功角δ开始增大,运行点从b向c运动。
在运行到c点时,若继电器保护装置动作,断路器断开,故障线路被切除,发电机的功角特性曲线由PII变为PIII,由于δ不能跃变,运行点将从c点跃变为PIII上的e点,这时发电机的电磁功率PEq大于原动机输入的机械功率,转轴上出现缺额转矩,转子减速,由于此时转子转速高于同步转速,功角δ将继续增大,沿着PIII曲线从e点运行到f点时,转速回复到同步转速,Δw=0(w=w0,及w=wN),此时功角δ为最大值,记为δcm(δmax),虽然此时发电机恢复了同步,但在f点转轴上的原动机机械功率小于发电机输出的电磁功率,使转子减速,运行点将沿着PIII曲线从f点向e、k点运动,功角δ减小,到达k点后,作用在转轴上的功率达到平衡。
由于转子转速低于同步转速,功角δ将继续减小,超过k点之后,机械功率PT大于电磁功率PEq,转子被加速,直到转子转速达到同步转速后,功角δ才不再减小,并取得最小值δmin=δk。
根据以上分析,发电机在故障切除后的运行点将沿着曲线PIII在δmin和δmax之间振荡,如果振荡过程中无阻尼作用,振荡将一直持续下去。实际上,由于有阻尼作用,因此,振荡将会衰减,最后运行点将稳定在k点。功角δ随时间的变化如(a)所示。
在这种情况下,该系统在受到此种扰动后是暂态稳定的。假如故障是在大于δc角度后才被切除,则系统将可能失去稳定性。设功角在θe’时故障被切除,切除故障后,运行点将由e’点沿着PIII曲线开始减速进入制动过程,但一直到达k’点时,这个过程还未结束,运行点就要越过K’点,在k’点之后,转子又被加速,功角δ进一步增大,发电机与系统间将失去同步,这时的功角与时间变化曲线如(b)所示。
由以上分析可见,线路故障切除的快慢,对系统的暂态稳定性有较大影响。因此,快速切除故障是提高电力系统暂态稳定的一项非常有效的措施。
三、等面积定则
发电机在加速期间,功角由
时过剩转矩对转子所做的功为
转子在加速期间所储藏的动能增量等于面积Sabcd,这块面积称为加速面积。
在减速期间,有
过程中,转子克服制动转矩消耗的有功力
转子在减速期间所消耗的动能等于面积Sdefg,这块面积称为减速面积。
以上分析结果表明:一个暂态稳定的系统,发电机转子在加速过程中所获得的动能必须在减速过程中全部释放完,它的功角达到最大值θcm,这就是等面积定则。
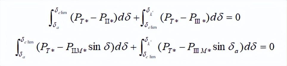
四、极限切除角
求出上式的积分并经整理后可得
式中所有的角度都是用弧度表示的。临界角
结论
Ø 在电力系统暂态稳定计算时必须对一些条件进行假设,这样可以简化计算。
Ø 等面积定则是简单电力系统暂态稳定分析计算的主要方法,要使电力系统保持暂态稳定,必须使功角在(极限切除角)前切除短路故障,即加速面积小于减速面积。
版权声明:我们致力于保护作者版权,注重分享,被刊用文章【国网考试(国网考试)】因无法核实真实出处,未能及时与作者取得联系,或有版权异议的,请联系管理员,我们会立即处理! 部分文章是来自自研大数据AI进行生成,内容摘自(百度百科,百度知道,头条百科,中国民法典,刑法,牛津词典,新华词典,汉语词典,国家院校,科普平台)等数据,内容仅供学习参考,不准确地方联系删除处理!;
工作时间:8:00-18:00
客服电话
电子邮件
beimuxi@protonmail.com
扫码二维码
获取最新动态
