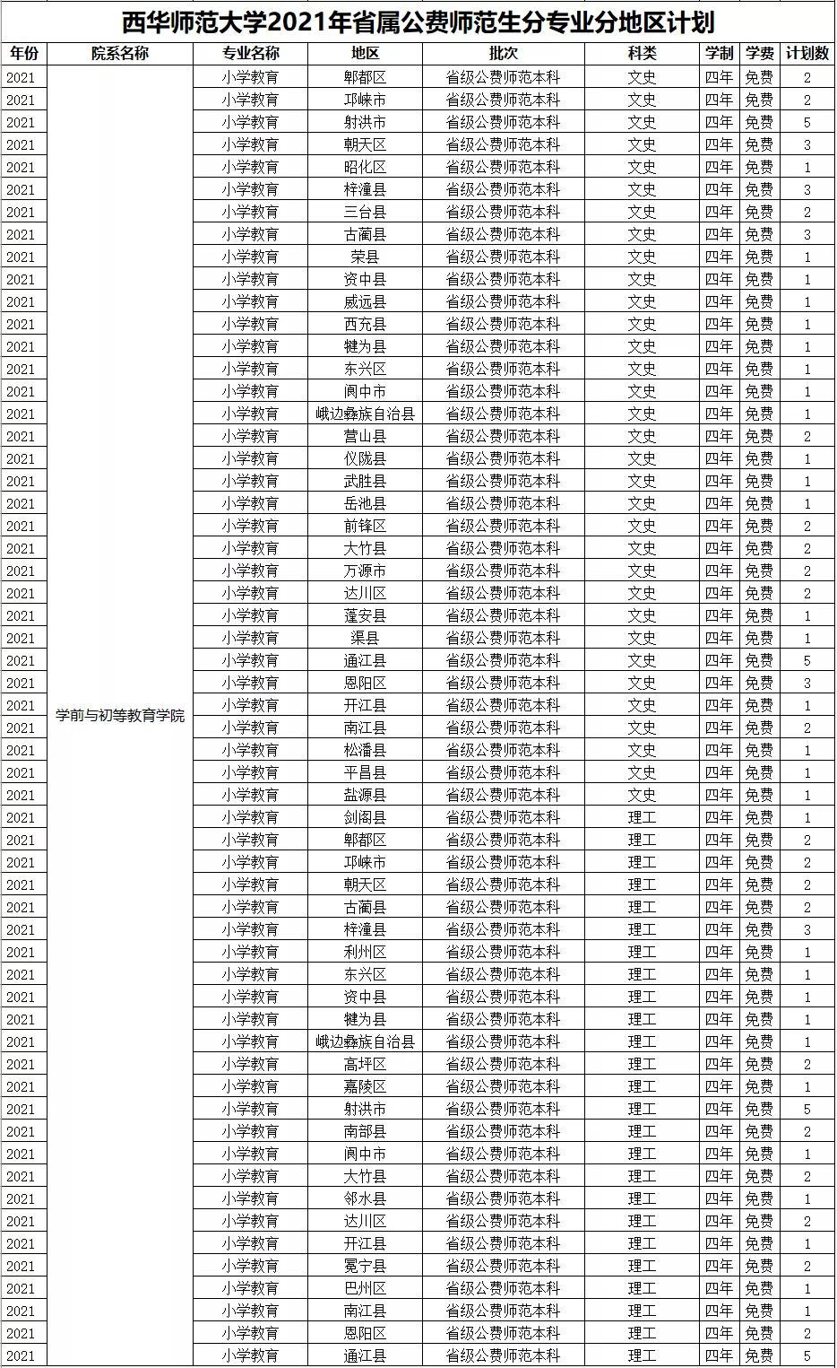
2021年我校将面向四川省招收教育技术学、小学教育、汉语言文学、思想政治教育、历史学、数学与应用数学、物理学、化学、生物科学、地理科学、音乐学、美术学、体育教育13个专业共计1016名省属公费师范生以及文物与博物馆学专业3名乡村振兴专项计划。
备注:原图就模糊
地理科学(40人)
化学(84人)
教育技术学(39人)
历史学(60人)
美术学(55人)
生物科学(49人)
数学与应用数学(100人)
体育教育(50人)
汉语言文学(150人)
物理学(125人)
小学教育(103人)
音乐学(41人)
思想政治教育(120人)
乡村振兴专项计划(3人)
注:以上数据以四川省教育考试院公布为准
版权声明:我们致力于保护作者版权,注重分享,被刊用文章【西华师范大学在哪(西华师范大学2021年招生章程)】因无法核实真实出处,未能及时与作者取得联系,或有版权异议的,请联系管理员,我们会立即处理! 部分文章是来自自研大数据AI进行生成,内容摘自(百度百科,百度知道,头条百科,中国民法典,刑法,牛津词典,新华词典,汉语词典,国家院校,科普平台)等数据,内容仅供学习参考,不准确地方联系删除处理!;
工作时间:8:00-18:00
客服电话
电子邮件
beimuxi@protonmail.com
扫码二维码
获取最新动态
