答案:
一、选择题
1、C
2、C
3、B
4、B
5、D
6、A
7、B
8、A
9、A
10、B
11、C
12、D
二、填空题
13、y=3x
14、
15、0.18
16、2
三、简答题
17、
18、
19、
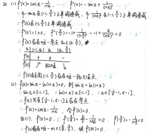
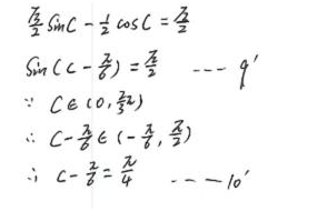
20、
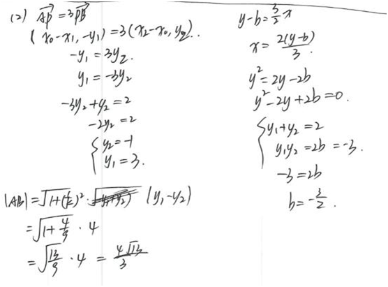
21、
22、
23、
版权声明:我们致力于保护作者版权,注重分享,被刊用文章【2019高考数学全国一卷答案(2019年高考理科数学真题及答案)】因无法核实真实出处,未能及时与作者取得联系,或有版权异议的,请联系管理员,我们会立即处理! 部分文章是来自自研大数据AI进行生成,内容摘自(百度百科,百度知道,头条百科,中国民法典,刑法,牛津词典,新华词典,汉语词典,国家院校,科普平台)等数据,内容仅供学习参考,不准确地方联系删除处理!;
工作时间:8:00-18:00
客服电话
电子邮件
beimuxi@protonmail.com
扫码二维码
获取最新动态
