2020年快结束了,回顾这一年,真是太难了。
想必,你也不例外。
未来会是什么样子?
也许极其美好,也许极其悲观。
无论哪种,都要相信知识的力量,坚持良知的方向。
直觉告诉我,又在做自己不擅长的事。
笔记越写越少,却又没完没了……
没有悬念,本题是一道条件最值问题,目标是构造均值不等式的使用结构。
均值不等式的应用主要有两个方面:一是利用均值不等式求最值;二是借助均值不等式放缩证明,尤以前者为盛。
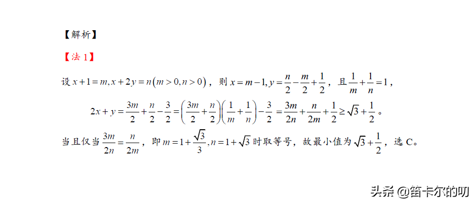
遇见复杂的结构,“换元”是最基本的操作——眼花缭乱瞬间变得一目了然。事实上,绝大多数人都猜到了“1的代换”,只是对如何代换一筹莫展。
均值不等式难就难在构造,有些需要添项,有些需要凑系数,有些需要换元,有些需要多次应用。正是因为其千变万化,才凸显出无穷的魅力。
依旧是换元——三角换元。法2中,三角换元的基础在于同角基本关系式,之后化简又用到了同角基本关系式,就是这么自然,就是这么随心所欲。
三角换元在本题中没有占到便宜,但却很容易想到,尤其是在山穷水尽的时候,不失为救命的稻草。
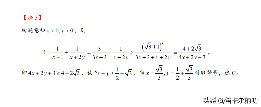
法3用到了“权方和不等式”(可用柯西不等式推导),较之法1更为干脆。权方和不等式是不错的工具,简单、好记、应用性强,我很喜欢。另外,求最值不要忘了检验取等的条件,有些题会故意在此设置陷阱。
本题还有许多其他解法,不一而足。留白处,是你无穷无尽的思源。
2021,再见。
版权声明:我们致力于保护作者版权,注重分享,被刊用文章【证明均值不等式(第二百二十八夜)】因无法核实真实出处,未能及时与作者取得联系,或有版权异议的,请联系管理员,我们会立即处理! 部分文章是来自自研大数据AI进行生成,内容摘自(百度百科,百度知道,头条百科,中国民法典,刑法,牛津词典,新华词典,汉语词典,国家院校,科普平台)等数据,内容仅供学习参考,不准确地方联系删除处理!;
工作时间:8:00-18:00
客服电话
电子邮件
beimuxi@protonmail.com
扫码二维码
获取最新动态
