本文介绍柯西不等式,并分享柯西不等式一般形式的 11 种常见的证明方法。本文适合高中学历的读者。
在数学中,柯西不等式(Cauchy-Schwarz inequality)在线性代数、数学分析、概率论等领域中都是非常有用的不等式,它被认为是数学中最重要的不等式之一。柯西不等式的一般形式如下陈述:
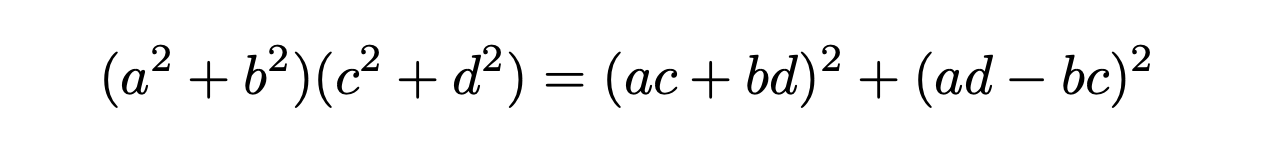
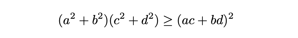
特别地,当 n = 2 时,我们可以得到柯西不等式的二维形式:
等号成立条件为 ad = bc. 不难看出它其实可由下面恒等式得到:
柯西不等式的积分形式如下陈述:
下面分享柯西不等式一般形式的 11 种常见证明方法。
证法 1:(判别式)
证法 2:(作差比较)
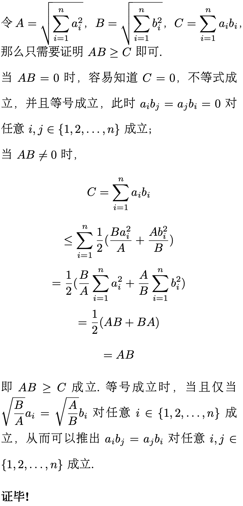
证法 3:(均值不等式)
证法 4:(均值不等式)
证法 5:(均值不等式)
证法 6:(向量)
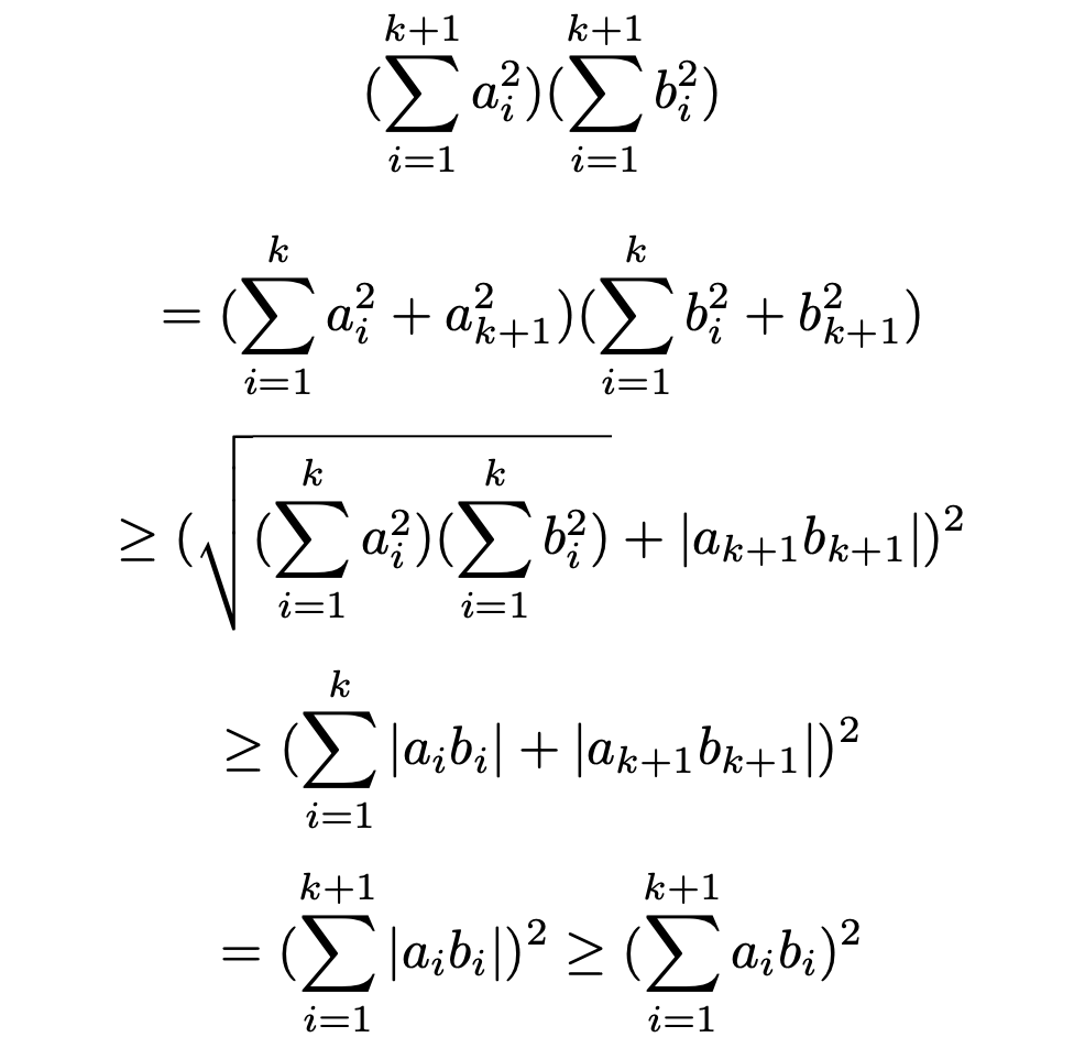
证法 7:(数学归纳法)
证法 8:(数学期望)
证法 9:(排序不等式)
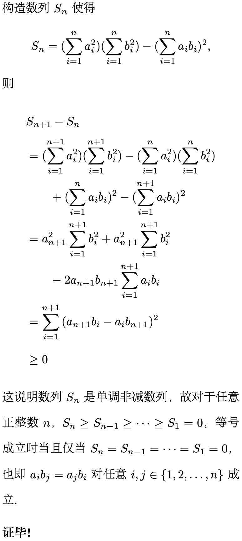
证法 10:(数列)
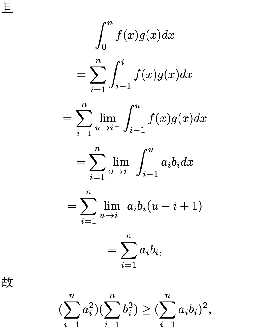
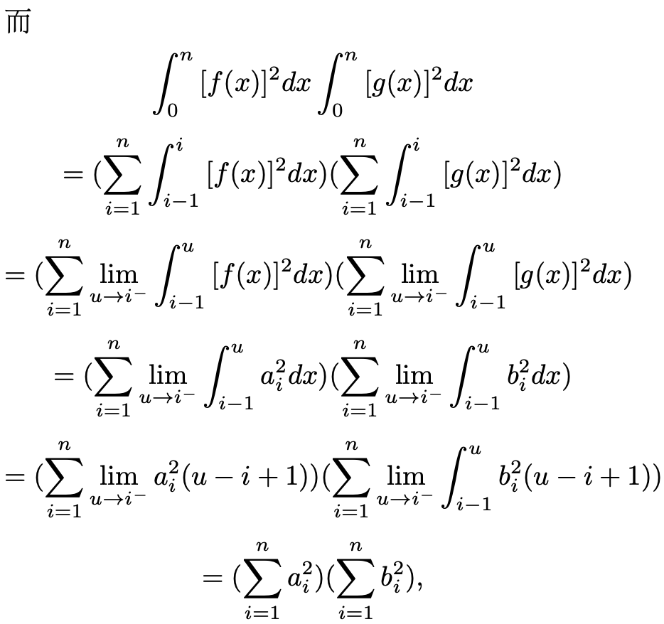
证法 11:(积分形式推一般形式)
本文实际上是对柯西不等式各种常见证明的汇总,供读者参考。作者发现许多资料或参考书上给出的柯西不等式等号成立条件都存在漏洞,漏洞主要来源于分母不能等于 0,并且很多资料给出的证明都回避了对等号成立条件的讨论,事实上对于有些项是 0 的情况的讨论是很麻烦的。本文给出的证明很详细地讨论了各种等号成立条件,其中包含对有些项是 0 的情况的讨论,并且对各种证明进行了论述上的少量修改,希望对大家有帮助。
版权声明:我们致力于保护作者版权,注重分享,被刊用文章【不等式的证明方法(柯西不等式一般形式的)】因无法核实真实出处,未能及时与作者取得联系,或有版权异议的,请联系管理员,我们会立即处理! 部分文章是来自自研大数据AI进行生成,内容摘自(百度百科,百度知道,头条百科,中国民法典,刑法,牛津词典,新华词典,汉语词典,国家院校,科普平台)等数据,内容仅供学习参考,不准确地方联系删除处理!;
工作时间:8:00-18:00
客服电话
电子邮件
beimuxi@protonmail.com
扫码二维码
获取最新动态
