窗函数可以加在时域,也可以加在频域上。下面就以线性调频脉冲信号的时域和频域加窗为实例来分析加窗的过程和影响,以及简单介绍如何选择一个合适的窗函数。
通常时域上加窗更为普遍,时域截断效应带来了频谱的泄漏,窗函数是为了减小这个截断效应,被设计成一组加权系数w(n)。
时域加窗在时域上表现的是点乘,因此在频域上则表现为卷积。卷积可以被看成是一个平滑的过程,相当于一组具有特定函数形状的滤波器,因此,原始信号中在某一频率点上的能量会结合滤波器的形状表现出来,从而减小泄漏。
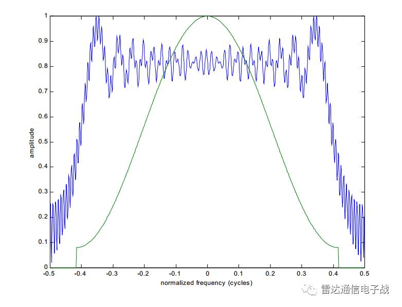
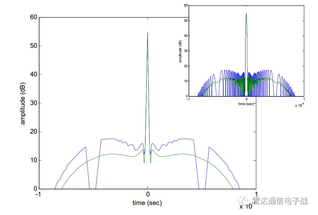
从上图可以看出时域加窗会导致主瓣变宽而旁瓣得到明显降低,并且最大幅值也有所降低。
频域加窗在频域上表现为点乘,这是为了减小脉冲压缩后时域的距离向旁瓣,而对匹配滤波器的频率响应加窗。我们知道线性调频脉冲的频率响应近似为矩形,对其乘以窗函数可得到修正后的频率响应。
修正后的频率响应不再与发射的LFM信号匹配,因此输出峰值和信噪比都会有一定减小。
从下图可以看出频域加窗对脉冲压缩结果的影响
从下图可以对比发现时域加窗和频域加窗有一些共同的效果,也有一些不同的区别,例如旁瓣大小不同,旁瓣结构也有所不同等。其中蓝色是频域加窗后脉冲压缩后的结果,绿色是时域加窗后的结果。
雷达通信电子战的铁杆会员可以发送“VIP”获取《LFM信号的时域加窗与频域加窗》参考资料。
傅里叶变换后主要的特征有频率、幅值和相位,而加窗对相位的影响是线性的,所以一般不用考虑,下面主要讨论加窗对频率和幅值的影响。
加窗对频率和幅值的影响是关联的,对于时域的单个频率信号,加窗之后的频谱就是将窗谱的谱峰位置平移到信号的频率处,然后进行垂直缩放。说明加窗的影响取决于窗的功率谱,也就容易理解为什么总常看到对窗特征主瓣、旁瓣等的描述。
主瓣变宽就可能与附近的频率的谱相叠加,意味着更难找到叠加后功率谱中最大的频率点,即降低了频率分辨率,较难定位中心频率。旁瓣多意味着信号功率泄露多,主瓣被削弱了,即幅值精度降低了。
由于加窗计算中衰减了原始信号的部分能量,因此对于最后的结果还需要加上修正系数。
如何选择“窗函数”?
对于一次过程时间小于窗口的暂态信号或冲击波形,信号开始和结束处本身就是零,不存在截断引起的泄露,不需要加窗抑制,因此只需要用矩形窗即可。
在需要频率分辨率高时,使用旁瓣少的窗口,如汉宁窗,而矩形窗旁瓣太高,泄漏太大;在需要幅值准确时,还可以使用平顶窗。
对于连续的周期性波形,可以结合不同的窗口获得所关注的结果。
雷达通信电子战的铁杆会员可以发送“VIP”获取《LFM信号的时域加窗与频域加窗》参考资料。
版权声明:我们致力于保护作者版权,注重分享,被刊用文章【频域卷积定理证明(时域加窗)】因无法核实真实出处,未能及时与作者取得联系,或有版权异议的,请联系管理员,我们会立即处理! 部分文章是来自自研大数据AI进行生成,内容摘自(百度百科,百度知道,头条百科,中国民法典,刑法,牛津词典,新华词典,汉语词典,国家院校,科普平台)等数据,内容仅供学习参考,不准确地方联系删除处理!;
工作时间:8:00-18:00
客服电话
电子邮件
beimuxi@protonmail.com
扫码二维码
获取最新动态
