沉迷数学的史蒂文又来啦!欢迎和我一块学习。
AMC考试是什么?
AMC 的全称是American Mathematics Competitions,美国数学竞赛。有三种等级: AMC8 / AMC10 / AMC12,分别对应不超过8/10 /12年级的学生参加,美国及其他地区均可参加,中国的中学生都可以参加。
「AMC系列」将连载12期,根据 AMC 10/12 体系,来讲解会涉及到的各个知识点,并为公立学校和国际学校的学生提供中英文对照。
推荐阅读人群:国际学校中学阶段,有意向考AMC的学生、公立学校初中学生、数学爱好者。
全文1500字,预计阅读时间:5分钟
比如,平行四边形的面积公式是底乘高,可以看作是由矩形割补来的,而矩形面积为什么就是长乘宽?可以看作是由边长为 1 的正方形长宽分别变为一定倍数来的。至于边长为 1 的正方形面积为什么是 1 ?长和宽作乘法运算为什么就能表示面积?
绝大多数中学范围内教材把它看作“定义”,默认正确,不作证明。
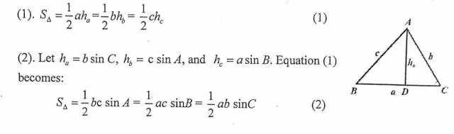
知道了平行四边形面积是底乘高,因为三角形的面积是对应的平行四边形面积的一半,所以有了三角形面积公式,二分之一底乘高(如下图公式 1 )。
在一些题中往往知道两个边长及其夹角,并不知道高,我们就需要把高和夹角的正弦(sin)值结合起来,推得的面积公式是二分之一两边乘积乘夹角的正弦值。
如果一个角度都不知道,只知道三边长,由海伦公式(Heron's formula)也可算出面积,海伦公式的证明,可用设未知数解出高度的做法(如下图公式3),还可用高中的余弦定理(cosine rule)已知三边算出夹角来证明。
三角形中,如果同底等高/同高等底,可推出面积相等;在底不变的情况下,面积比等于高之比;高不变的情况下,面积比等于底之比。
特别的,如果两个三角形夹在两条平行线之间,构成一个“蝴蝶”的形状(如下图定理4),那么它们面积相等,逆定理同样成立。
如果大家在分式运算中学过合分比定理(componendo and dividend),可知道一个面积比例关系(如下图定理6),此比例关系进一步能用来证明塞瓦定理(Ceva's Theorem)。
可以看作圆周上各个点向圆心连线,把圆形拆分成若干个小的扇形(sector),每个扇形可以近似的看作三角形,把这些三角形面积相加起来,就是底(即周长2πR)乘高(R)再乘二分之一,得到面积公式πR方,以上过程可用极坐标下的积分(integration)的方法严谨证明。
扇形看作圆的一部分,按比例分得弧长(arc length)和面积(如下图公式1)。
讲完了三角形和圆,就不得不提一下它俩之间的关系,三角形可以是圆的外接三角形(如下图公式2),也可以是圆的内接三角形(如下图公式3)
外接三角形三边与圆相切,圆心和切点的连线垂直于直线,这样半径就成了高,将整个三角形以三个顶点与圆心的连线分成三个三角形即可求出面积。
三角形外接圆半径R和某个角的正弦值的关系是a=2RsinA,即正弦定理。在用正弦表示的面积公式中,把sinA代换即可得到此公式。
好,学到这里,让我们来复习一下今天的知识点:
图解数学|第一讲:从欧氏几何到平面中的线与角
版权声明:我们致力于保护作者版权,注重分享,被刊用文章【塞瓦定理证明(AMC系列)】因无法核实真实出处,未能及时与作者取得联系,或有版权异议的,请联系管理员,我们会立即处理! 部分文章是来自自研大数据AI进行生成,内容摘自(百度百科,百度知道,头条百科,中国民法典,刑法,牛津词典,新华词典,汉语词典,国家院校,科普平台)等数据,内容仅供学习参考,不准确地方联系删除处理!;
工作时间:8:00-18:00
客服电话
电子邮件
beimuxi@protonmail.com
扫码二维码
获取最新动态
